Skip to main navigation Skip to main content
  • KSCN
  • E-Submission

CNR : Clinical Nutrition Research

OPEN ACCESS
ABOUT
BROWSE ARTICLES
EDITORIAL POLICIES
FOR CONTRIBUTORS

Page Path

  • HOME
  • BROWSE ARTICLES
  • Most cited articles
30
results for

Most cited articles

Article category

Keywords

Publication year

Authors

Most cited articles

Most-cited are based on citations from 2024 ~ 2026.

Review Article

The Effect of Oral Chamomile on Anxiety: A Systematic Review of Clinical Trials
Sogand Saadatmand, Foad Zohroudi, Hadith Tangestani
Clin Nutr Res 2024;13(2):139-147.   Published online April 23, 2024
DOI: https://doi.org/10.7762/cnr.2024.13.2.139

Anxiety disorder is a prevalent psychiatric issue that affects 4.05% of the global population. As complementary and alternative medicine gains popularity, many individuals with anxiety symptoms seek herbal remedies. This systematic review aims to explore the sedative efficacy of chamomile as an herbal medicine for anxiety treatment. Our search was conducted in PubMed, Google Scholar, and Scopus databases until August 2023. Among 389 papers found, after removing duplicates and irrelevant papers, 10 clinical trials investigating the effect of oral consumption of chamomile on anxiety were included. Two researchers independently completed all steps, including the screening process and data extraction. Out of the 10 articles selected, 9 studies have concluded that chamomile is effective in reducing anxiety. Even though, the exact mechanism of chamomile’s anxiolytic action is not well understood, evidence suggests that its active compounds, including apigenin, may modulate the function of the hypothalamic-pituitary-adrenocortical axis by affecting neurotransmitter pathways. This systematic review showed that chamomile potentially has an anxiolytic effect. In addition, due to the side effects of drugs used to treat anxiety disorders, the use of chamomile seems to be effective and less dangerous.

Citations

Citations to this article as recorded by  
  • Evaluation of the protective effect of chamomile oral solution on the incidence of neurotoxicity caused by paclitaxel in breast cancer patients
    Nasim Nikkhah, Hedyieh Karbasforooshan, Soodabeh Shahid Sales, Sare Hosseini, Saeed Akhlaghi, Zeinab Amiri Tehranizadeh, Sepideh Elyasi
    Anti-Cancer Drugs.2026;[Epub]     CrossRef
  • Improving oral comfort in palliative patients: A review of essential oils
    Sara Diogo Gonçalves, Raquel Garcia Diogo, Verónica Esteves, Rita S. Matos, Ana Caramelo
    Médecine Palliative.2026;[Epub]     CrossRef
  • The advantages of chamomile (Matricaria recutita) extract for health: a review
    Steven Suryoprabowo, Chantal Rice, Wenbin Wang, Zhongxing Wang
    Exploration of Foods and Foodomics.2026;[Epub]     CrossRef
  • Efficacy of "Restore Your Peace" Candyceutical on Stress Relief and Mental Well-being: A Human Volunteer Study
    Shefali P. Thakkar, Nikita C. Naterwalla, Kirti S. Laddha
    Research Journal of Pharmacy and Technology.2026; 19(4): 1711.     CrossRef
  • Phytochemicals from edible flowers prevent neurodegenerative diseases via the gut-brain axis
    Fatemeh Abbaszadeh, Sajad Fakhri, Behrang Shiri Varnamkhasti, Seyed Zachariah Moradi, Mohammad Reza Khirehgesh, Javier Echeverría
    Food Bioscience.2025; 63: 105681.     CrossRef
  • Medicinal Plants and Herbal Medicines for Managing Anxiety and Depression via Gut Microbiota Modulation
    Priscilla Magro Reque, Adriano Brandelli, Cristina Mayumi Sasaki Miyazaki, Ana Flávia Marçal Pessoa, Jian. Wu
    Advanced Gut & Microbiome Research.2025;[Epub]     CrossRef
  • Neurocosmetics and Aromatherapy Through Neurocutaneous Receptors and Their Functional Implications in Cosmetics
    María Judith Sánchez-Peña, Odessa Magallón-Chávez, Juan Antonio Rivas-Loaiza
    Cosmetics.2025; 12(5): 179.     CrossRef
  • The Effect of Chamomile on Common Psychological Disorders Including Depression, Anxiety, Stress and Sleep Disorders: A Narrative Review
    Atena Pasban, Motahareh Yadegari, Zahra Rahimi-Nasrabad, Setayesh Saadati-Partan, Fatemeh Jafarzadeh-Sekeh, Sosan Sadeghi, Zohreh Sadat Sangsefidi
    Iranian Journal of Psychiatry and Behavioral Sciences.2025;[Epub]     CrossRef
  • Neuroactive Phytochemicals as Multi-Target Modulators of Mental Health and Cognitive Function: An Integrative Review
    Halina Tkaczenko, Lyudmyla Buyun, Renata Kołodziejska, Piotr Kamiński, Natalia Kurhaluk
    International Journal of Molecular Sciences.2025; 26(18): 8907.     CrossRef
  • Effect of Raha syrup on the motivational effects of morphine and CSF serotonin levels in rats
    Mitra As’habi, Mahdi Zahedi-Khorasani, Freshteh Haerifar, Ali Ghanbari, Ali khaleghian, Hossein Miladi-Gorji
    Learning and Motivation.2024; 88: 102063.     CrossRef
  • 17,139 View
  • 34 Download
  • 10 Crossref

Original Articles

Association Between Dietary Fiber Intake and Low Muscle Strength Among Korean Adults
Sunhye Shin
Clin Nutr Res 2024;13(1):33-41.   Published online January 31, 2024
DOI: https://doi.org/10.7762/cnr.2024.13.1.33

The health benefits of dietary fiber are widely recognized, but its impact on muscle health remains unclear. Therefore, this study aimed to elucidate the relationship between dietary fiber intake and muscle strength through a cross-sectional analysis of data from the Korea National Health and Examination Survey (KNHANES). Data from a single 24-h dietary recall and handgrip strength tests of 10,883 younger adults aged 19 to 64 years and 3,961 older adults aged ≥ 65 years were analyzed. Low muscle strength was defined as handgrip strength < 28 kg for men and < 18 kg for women. Multivariable linear and logistic regression analyses were conducted to determine the association of dietary fiber intake with muscle strength. Approximately 43% of Korean adults met the recommended intake of dietary fiber, and those with higher dietary fiber consumption also had higher total energy and protein intake. After adjusting for confounding variables, dietary fiber intake was found to be positively associated with maximal handgrip strength in younger women aged 19 to 64 years (β = 0.015; standard error [SE] = 0.006) and older men aged ≥ 65 years (β = 0.035; SE = 0.014). For older women aged ≥ 65 years, those in the lowest quartile of dietary fiber intake had a higher risk of low muscle strength than those in the highest quartile after adjustment of confounders (odds ratio 1.709; 95% confidence interval 1.130–2.585). These results suggest that adequate dietary fiber intake may reduce the risk of sarcopenia in older Korean women.

Citations

Citations to this article as recorded by  
  • Beneficial effects of Tteokbokki sauce meeting the functional labeling system claim on dexamethasone-induced C2C12 myotube and hindlimb immobilization-induced C57BL/6J mice
    Geon Oh, Xionggao Han, Xiao Men, Ji-Hyun Im, Xiaolu Fu, June-Seok Lim, Luri Lee, Min Hee Kwon, Ho-Seong Lee, Moon Jin Ra, Sun-Il Choi, Ok-Hwan Lee
    Food Science and Biotechnology.2025; 34(3): 757.     CrossRef
  • The association between eight dietary factors and sarcopenia: evidence from NHANES data
    Xingfu Fan, Yang Luo, Xiaofang Li, Wenqin Tan, Shiping Liu, Jin Zhao
    Journal of Health, Population and Nutrition.2025;[Epub]     CrossRef
  • Sarcopenic obesity in the Asia-Pacific region: Epidemiology, risk factors, and management
    Chun-Feng Huang, Chih-Hsing Wu
    Osteoporosis and Sarcopenia.2025; 11(2): 40.     CrossRef
  • Advanced Understanding of Dietary Fiber With Omics
    Sumin Park, Jiwoo Park, Yang Sueun Lee, Nakyoung Shin, Mihi Yang
    Food Supplements and Biomaterials for Health.2025;[Epub]     CrossRef
  • Temporal Trends in Handgrip Strength and Associated Factors among Korean Adults from 2014 to 2019: Analysis of Korea National Health and Nutrition Examination Survey Data
    Yun Ki Kim, Sukyoung Jung, Seung Hoo Lee, Jaehee Seo
    Clinics in Orthopedic Surgery.2025; 17(5): 891.     CrossRef
  • Time-Restricted Eating and Prebiotic Supplementation Demonstrate Feasibility and Acceptability in Young Adult Pediatric Cancer Survivors: A Randomized Controlled Pilot Trial
    Kate Cares, Manoela Lima Oliveira, Alyssa Bryner, Bernice Man, Zhengjia Chen, Beatriz Peñalver Bernabé, Mary Lou Schmidt, Marian Fitzgibbon, Kelsey Gabel
    Nutrients.2025; 17(20): 3306.     CrossRef
  • Association Between Serum High Sensitivity C-Reactive Protein Levels and Low Muscle Strength Among Korean Adults
    Bo-Hyun Choi, Sunhye Shin
    Nutrients.2025; 17(16): 2698.     CrossRef
  • Low dietary vitamin C intake is associated with low muscle strength among elderly Korean women
    Chan Yoon Park, Sunhye Shin
    Nutrition Research.2024; 127: 75.     CrossRef
  • Plant-Based Diets and Their Associations with Physical Performance in the Baltimore Longitudinal Study of Aging
    Galya Bigman, Marius Emil Rusu, Amber S. Kleckner, John D. Sorkin, Yichen Jin, Sameera A. Talegawkar, Toshiko Tanaka, Luigi Ferrucci, Alice S. Ryan
    Nutrients.2024; 16(23): 4249.     CrossRef
  • 1,338 View
  • 13 Download
  • 9 Crossref

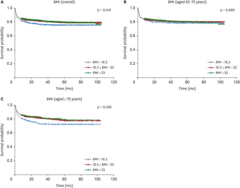
Malnutrition affect clinical outcomes in hospitalized old age patients, but the data on the related outcomes on the basis of different age categories are still limited. We aimed to investigate the interplay of associations among body mass index (BMI), falls risk, and mortality rate in different older adult patient age categories. This retrospective study included hospitalized patients aged ≥ 65 years who received artificial nutrition. Demographic, biochemical, and survival data were collected. BMI was evaluated using the World Health Organization BMI cutoffs for Asians, and patients were classified into high (≥ 23.0 kg/m2), normal (18.5−22.9 kg/m2), and low (< 18.5 kg/m2) BMI groups. The Morse Fall Scale was used to assess falls risk. By age categories, all patients (n = 4,642) were divided into the 65−74 (n = 2,649) and ≥ 75 (n = 1,993) years age groups. We found that the proportion of low-BMI and high risk of falls increased with age. Further, low-BMI was associated with increased falls risk in both age groups. Overall survival rate tended to be lower in the low-BMI and ≥ 75 years group than that in other patient groups, but did not differ significantly compared with the low-BMI and 65–74 years group. Low-BMI was associated with increased falls risk and mortality; however, the association depended on specific patient age groups.

Citations

Citations to this article as recorded by  
  • A multidimensional analysis of fall risk among older adults in India: evidence from the longitudinal ageing study in India (LASI)
    Shreya Biswal, Sakthi Kiruthika, Sudeep M. George, Avinash Chakrawarty, Naveet Wig, Abhijith Rajaram Rao
    European Geriatric Medicine.2026;[Epub]     CrossRef
  • Risk prediction model for malnutrition in older adults: a systematic review
    Ruijuan Liu, Lu Li, Yansheng Peng, Yuan Li
    BMC Geriatrics.2026;[Epub]     CrossRef
  • Association between obesity, physical activity and falls among elderly patients attending the family medicine clinics of a teaching hospital in Southern Nigeria
    Tijani Idris Ahmad Oseni, Abel Onons Ibharokhonre, Abdulgafar Lekan Olawumi, Esiemokhai Samuel Iyalomhe, Caleb Udukhomoshi Adebayo, Bolanle Oluwatoyin Adewuyi, Francis Neba Fuh
    BMC Geriatrics.2025;[Epub]     CrossRef
  • Associations between body mass index categories and geriatric assessment tests among older adults with chronic kidney disease: A prospective study
    Yelda Deligöz Bildaci, Cihan Heybeli, Lee Smith, Masoud Rahmati, Dong Keon Yon, Pinar Soysal
    Nutrition in Clinical Practice.2025;[Epub]     CrossRef
  • Factors Associated with Falls in Older Adults: A Retrospective Hospital-Based Study Using Comprehensive Geriatric Assessment in Thailand (2020–2023)
    Preenapun Saokhieo, Suphawita Pliannuom, Natakorn Vidhayakula, Isares Tavivadhanasubhakij, Thanapat Promprasit, Phattarawit Dissai, Kanokporn Pinyopornpanish
    Journal of Primary Care & Community Health.2025;[Epub]     CrossRef
  • BMI Status, Balance Impairment, and Fear of Falling Among Older Adults in Rural Northern Thailand
    Uratcha Sadjapong, Sakesun Thongtip
    The Open Public Health Journal.2025;[Epub]     CrossRef
  • Nutritional Challenges in Paediatric Oncology: Screening and Managing Malnutrition and Sarcopenia
    Stefano Mastrangelo, Alberto Romano, Palma Maurizi, Daniela Rizzo, Giorgio Attinà, Antonio Ruggiero
    Biomedical and Pharmacology Journal.2024; 17(4): 2203.     CrossRef
  • 1,452 View
  • 3 Download
  • 7 Crossref

Review Articles

Food for Special Medical Purposes: A Global Review of Usage Trends, Regulatory Frameworks, and Key Growth Drivers
Hae Jin Kang, Yoo Kyoung Park
Clin Nutr Res 2025;14(2):146-156.   Published online April 28, 2025
DOI: https://doi.org/10.7762/cnr.2025.14.2.146

This review offers a comprehensive analysis of food for special medical purposes (FSMPs)—specially formulated foods designed to support the dietary management of individuals with specific medical conditions. The regulatory frameworks governing FSMP differ significantly across key regions, including the European Union, North America (with a focus on the United States), and Asia (primarily China and India). FSMP is critical in addressing malnutrition, metabolic disorders (including inborn errors of metabolism), and chronic diseases, such as cancer, diabetes, and neurological conditions. Recent advancements, such as the application of three-dimensional printing technology and the growing emphasis on personalized nutrition, are poised to revolutionize the FSMP industry. The global market for FSMP is experiencing rapid growth, particularly in China, driven by factors like aging populations and the increasing prevalence of chronic diseases. Future trends suggest a shift toward more personalized, technologically advanced FSMP formulations. However, challenges such as high costs, limited accessibility, unclear regulations, and poor palatability must be addressed to maximize the potential of FSMP in enhancing patient care.

Citations

Citations to this article as recorded by  
  • Foods for special medical purposes for the dietary therapy of rare diseases: Current status and future prospects
    Ting Zhang, Yun Wang, Cuiping Shi, Ye Zi, Wei Cai, Jian Zhong
    Intractable & Rare Diseases Research.2026; 15(1): 26.     CrossRef
  • Clinical field survey and multidisciplinary expert in-depth interview study on food for special medical purpose products for patients
    Ju Hee Kang, Hee-Jung Park, Hyo Jeong Lim, Jung Joo Lee, Bo-Eun Kim, Eun Joo Bae, Yeon Hee Lee, Dal Lae Ju, Young Ran Kim, Jin-Hee Yeom, Hee-Sook Lim, Ha-Neul Kim, Seul Bi Lee, Seo-Yeon Park, Hee Joon Baek, Yoo Kyoung Park
    Clinical Nutrition Research.2026; 15(1): 12.     CrossRef
  • Food as Medicine: Integrating Food-Medicine Homology into Foods for Special Medical Purposes for Targeted Symptom Management and Nutritional Support
    Zhengyang Liu, Shengqian Sun, Yue Zhang, Hefei Zhao, Changmou Xu, Yongjun Liu, Huilian Che
    Food Reviews International.2026; : 1.     CrossRef
  • Sensory Acceptability and Sensory Profiles of Flavoured Foods for Special Medical Purposes: A Quantitative Descriptive Analysis
    Agata Kiciak, Wiktoria Staśkiewicz-Bartecka, Natalia Kuczka, Małgorzata Słoma-Krześlak, Kommi Kalpana, Marek Kardas
    Journal of Clinical Medicine.2026; 15(6): 2188.     CrossRef
  • Clinical application and institutional governance of foods for special medical purposes in medical institutions of eastern coastal China: a cross-sectional study
    Qingqing Deng, Wanli Pu, Ting Zhu, Jiayao Yang, Junxuan Chen, Xiaosu Chen, Qing Zhao, Yue Xu, Shu-an Wang, Fangjun Chen, Xiaotian Chen
    Frontiers in Nutrition.2026;[Epub]     CrossRef
  • Food-derived bioactive compounds targeting mitophagy: Emerging nutritional strategies against sarcopenia
    Haozhen Zhang, Laiming Zhang, Donghong Liu, Xingqian Ye, Shiguo Chen
    Trends in Food Science & Technology.2025; 165: 105314.     CrossRef
  • 1,720 View
  • 36 Download
  • 6 Crossref
A Healthy Dietary Pattern May Have a Protective Effect Against Cardiovascular Disease Through Its Interaction With the MC4R Gene Polymorphism
Kimia Mohammadhasani, Mohammad Vahedi Fard, Mehran Yadegari, Mehdi Barati, Hossein Bahari, Elyas Nattagh-Eshtivani, Mohammad Rashidmayvan
Clin Nutr Res 2024;13(3):214-225.   Published online July 26, 2024
DOI: https://doi.org/10.7762/cnr.2024.13.3.214

Polymorphisms in the melanocortin 4 receptor (MC4R) gene with occurrence and progression of chronic diseases such as obesity and cardiovascular disease (CVD) have long been addressed but there is a lack of evidence for complex interrelationships, including direct and indirect effects of these variables. This review specifically focuses on studying the effects of healthy diet interaction and MC4R polymorphisms on the development of CVD. The quantity and quality of carbohydrates and proteins consumed are related to obesity susceptibility and cardiometabolic risk factors. A healthy dietary pattern such as a Mediterranean dietary can modulate the association between MC4R polymorphisms (rs17782313) and the risk of CVDs. Also, the Nordic diet can reduce lipid profiles such as low-density lipoprotein cholesterol (LDL-C) and total cholesterol levels. On the other hand, MC4R interaction with the dietary inflammatory index decreases high-density lipoprotein cholesterol levels and increases LDL-C and triglyceride (TG) levels. Additionally, the DASH diet decreases TG, atherogenic index of plasma, systolic blood pressure, diastolic blood pressure, and serum glucose. The interaction between MC4R genes and diets plays an important role in the development of CVD. Adherence to healthy diets such as the Mediterranean, Nordic, Anti-inflammatory, and Dash diets might be an efficient strategy to prevent CVD. The potential for personalized diets to be developed for the treatment and prevention of CVD and its related comorbidities is expected to expand as this field develops.

Citations

Citations to this article as recorded by  
  • Does the MC4R rs17782313 gene polymorphism affect the rate of exercise-induced fat oxidation?
    Mert Sakar, Çağrı Doğan, Necdet Apaydın, Gökhan İpekoğlu
    Applied Physiology, Nutrition, and Metabolism.2026; 51: 1.     CrossRef
  • The role of micro-ribonucleic acid and small interfering-ribonucleic acid in precision nutrition for obesity management
    Wardina Humayrah, Nindy Sabrina, Megah Stefani, Nurpudji Astuti Taslim, Reggie Surya, Matthew Nathaniel Handoko, Vincent Lau, Hardinsyah Hardinsyah, Trina Ekawati Tallei, Rony Abdi Syahputra, Fahrul Nurkolis
    Clinical Nutrition ESPEN.2025; 67: 463.     CrossRef
  • Assessing the Role of MC4R Gene Variants and Dietary Habits in the Development of Obesity among Adolescents
    Ahmad Faraz, Muhammad Saqib Khan, Tipu Sultan Haider, Hafsa Khalil
    Innovative Research in Applied, Biological and Chemical Sciences.2025; 3(1): 59.     CrossRef
  • The interplay between nutrigenomics and low-carbohydrate ketogenic diets in personalized healthcare
    Yousef M. Almoghrabi, Basmah M. Eldakhakhny, Abdulhadi I. Bima, Hussein Sakr, Ghada M. A. Ajabnoor, Hoda M. Gad, Fatma Azzahraa H. Mohammad, Salma A. Elsamanoudy, Akram Z. Awan, Ayman Z. Elsamanoudy
    Frontiers in Nutrition.2025;[Epub]     CrossRef
  • Glaucoma and dietary links: insights from high-salt intake, the Mediterranean diet, and specific nutrients
    Yuqi Yang, Hongyan Zhou, Zhang Hong
    Frontiers in Nutrition.2024;[Epub]     CrossRef
  • Effect of anthocyanins on metabolic syndrome through interacting with gut microbiota
    Lanlan Du, Xiaoqin Ding, Yuwen Tian, Jian Chen, Weilin Li
    Pharmacological Research.2024; 210: 107511.     CrossRef
  • 1,369 View
  • 0 Download
  • 6 Crossref

Original Article

Effects of Cinnamon Supplementation on Lipid Profile: A Systematic Review and Meta-Analysis of Randomized Controlled Trials
Hawal Lateef Fateh, Saman M. Amin
Clin Nutr Res 2024;13(1):74-87.   Published online January 26, 2024
DOI: https://doi.org/10.7762/cnr.2024.13.1.74

Since the effects of cinnamon supplementation on lipid profiles are still controversial, this study conducted a meta-analysis of randomized controlled trials to assess the effect of cinnamon supplementation on lipid profiles. The study was designed and conducted according to the guidelines of the 2020 preferred reporting items for systematic reviews and meta-analysis (PRISMA) statements. A systematic and comprehensive search was performed in several databases from inception up to 11 November 2023. The meta-analysis on the impact of Cinnamon on lipid profiles indicates a non-significant overall effect on low-density lipoprotein (weighted mean differences [WMD], −2.48; 95% confidence interval [CI], −9.70, 4.72). However, significant reductions are seen with doses < 500 mg/day (−10.26), and non-significant increases with doses ≥ 500 mg/day (1.18). The overall effect on high-density lipoprotein is non-significant (WMD, 3.97; 95% CI, −7.877, 15.831), showing varying responses at different doses. Triglycerides exhibit a significant overall reduction (WMD, −6.88; 95% CI, −12.62, −1.15), particularly in the < 500 mg/day group. The overall effect on cholesterol is non-significant (WMD, −4.314; 95% CI, −15.011, 6.384), with diverse responses at different doses. High heterogeneity underlines the importance of standardized study designs and further exploration of dosage-specific effects. Findings from this study suggest that cinnamon supplements might be beneficial to modulate the blood lipid profile.

Citations

Citations to this article as recorded by  
  • Evidence from randomized trials on lipid-lowering by culinary herbs and spices
    David Goldman, Matthew Nagra
    Academia Nutrition and Dietetics.2026;[Epub]     CrossRef
  • 2026 ACC/AHA/AACVPR/ABC/ACPM/ADA/AGS/APhA/ASPC/NLA/PCNA Guideline on the Management of Dyslipidemia
    Roger S. Blumenthal, Pamela B. Morris, Mario Gaudino, Heather M. Johnson, Timothy S. Anderson, Vera A. Bittner, Ron Blankstein, LaPrincess C. Brewer, Leslie Cho, Sarah D. de Ferranti, Eugenia Gianos, Ty J. Gluckman, Kristen F. Gradney, Ijeoma Isiadinso, D
    JACC.2026;[Epub]     CrossRef
  • 2026 ACC/AHA/AACVPR/ABC/ACPM/ADA/AGS/APhA/ASPC/NLA/PCNA Guideline on the Management of Dyslipidemia: A Report of the American College of Cardiology/American Heart Association Joint Committee on Clinical Practice Guidelines
    Roger S. Blumenthal, Pamela B. Morris, Mario Gaudino, Heather M. Johnson, Timothy S. Anderson, Vera A. Bittner, Ron Blankstein, LaPrincess C. Brewer, Leslie Cho, Sarah D. de Ferranti, Eugenia Gianos, Ty J. Gluckman, Kristen F. Gradney, Ijeoma Isiadinso, D
    Circulation.2026;[Epub]     CrossRef
  • The effect of cinnamon supplementation on cardiovascular risk factors in adults: a GRADE assessed systematic review, dose–response and meta-analysis of randomized controlled trials
    Ali Jafari, Helia Mardani, Amir Hossein Faghfouri, Minoo AhmadianMoghaddam, Vali Musazadeh, Alireza Alaghi
    Journal of Health, Population and Nutrition.2025;[Epub]     CrossRef
  • Development of black garlic beads via spherification: Nutritional, microorganisms, and consumer evaluation
    Orawan Oupathumpanont, Piangthan Chaisingkan, Sunan Parnsakhorn, Sopida Wisansakkul
    Applied Food Research.2025; 5(2): 101524.     CrossRef
  • 2,072 View
  • 4 Download
  • 5 Crossref

Review Article

Dose-Dependent Impacts of Omega-3 Fatty Acids Supplementation on Anthropometric Variables in Patients With Cancer: Results From a Systematic Review and Meta-Analysis of Randomized Clinical Trials
Seyed Mojtaba Ghoreishy, Sheida Zeraattalab-Motlagh, Reza Amiri Khosroshahi, Amirhossein Hemmati, Morvarid Noormohammadi, Hamed Mohammadi
Clin Nutr Res 2024;13(3):186-200.   Published online July 29, 2024
DOI: https://doi.org/10.7762/cnr.2024.13.3.186

Meta-analyses have been conducted with conflicting results on this topic. Due to missing several eligible studies in previous meta-analysis by Lam et al., we conducted an extensive systematic review and dose-response meta-analysis of randomized controlled trials in this regard. A comprehensive search was conducted across various databases, including MEDLINE/PubMed, ISI Web of Knowledge, Scopus, and Google Scholar, until November 2023. Based on the analysis of 33 studies comprising 2,047 individuals, it was found that there was a significant increase in body weight for each 1 g/day increase in omega-3 lipids (standardized MD [SMD], 0.52 kg; 95% confidence interval [CI], 0.31, 0.73; I2 = 95%; Grading of Recommendations Assessment, Development and Evaluation [GRADE] = low). Supplementation of omega-3 fatty acids did not yield a statistically significant impact on body mass index (BMI) (SMD, 0.12 kg/m2; 95% CI, −0.02, 0.27; I2 = 79%; GRADE = very low), lean body mass (LBM) (SMD, −0.02 kg; 95% CI, −0.43, 0.39; I2 = 97%; GRADE = very low), fat mass (SMD, 0.45 kg; 95% CI, −0.25, 1.15; I2 = 96%; GRADE = low), and body fat (SMD, 0.30%; 95% CI, −0.90, 1.51; I2 = 96%; GRADE = very low). After excluding 2 studies, the findings were significant for BMI. Regarding the results of the dose-response analysis, body weight increased proportionally by increasing the dose of omega-3 supplementation up to 4 g/day. Omega-3 fatty acid supplementation can improve body weight, but not BMI, LBM, fat mass, or body fat in cancer patients; large-scale randomized trials needed for more reliable results.

Trial Registration

PROSPERO Identifier: CRD42023395341

Citations

Citations to this article as recorded by  
  • Nutritional impact of eicosapentaenoic acid supplementation (EPA) in patients with locally advanced head and neck cancer: a double-blind placebo-controlled randomized trial
    Lorena Arribas, Laura Hurtós, Anna Esteve, Inmaculada Peiró, Ana Regina González-Tampán, Maryam Choulli, Maite Antonio, Esther Vilajosana, Alicia Lozano Borbalas, Miren Taberna, Ricard Mesía
    Nutrition Journal.2025;[Epub]     CrossRef
  • A Complete Examination of Omega-3 Full of Fat Acids: Their Origin, Activities, Well Being Advantages
    Ashutosh Pathak*1&2
    Journal of Science Innovations and Nature of Earth.2025; 5(1): 05.     CrossRef
  • An Overview of the Importance of Muscle Health in Oncology: Assessment, Preservation, and Nutritional Recovery Strategies
    Larissa Farinha Maffini, Camilla Horn Soares, Amanda Guterres Beuren, Gabriel Tonin Ferrari, Heloisa Jacques Friedrich, Giovana Breitenbach Camargo, Giovanna Strapasson Faccin, Carolina Pagnoncelli Gabrielli, Giovanna Potrick Stefani, Viviani Ruffo de Oli
    Current Nutrition Reports.2025;[Epub]     CrossRef
  • Omega-3 Supplementation and Nutritional Status in Patients with Pancreatic Neoplasms: A Systematic Review
    Luciana Pires, Luciane Salaroli, Olívia Podesta, Fabiano Haraguchi, Luís Lopes-Júnior
    Nutrients.2024; 16(23): 4036.     CrossRef
  • 1,150 View
  • 7 Download
  • 4 Crossref

Original Article

Effects of Melissa officinalis Extracts on Obesity and Anxiety
Jin Gyeom Kim, Jiye Park, Sooyeon Baek, Seunghyun Won, Jin Cho
Clin Nutr Res 2025;14(1):65-77.   Published online January 31, 2025
DOI: https://doi.org/10.7762/cnr.2025.14.1.65

Obesity is a significant global health concern that not only increases metabolic disorders risks but also impacts mental health, particularly affecting women due to hormonal fluctuations and societal pressures. This study investigated anti-obesity and anti-anxiety effects of lemon balm (Melissa officinalis) extracts in female C57BL/6 mouse (n = 16, 17 weeks old) fed a high-fat diet (HFD). We compared 2 extracts method: distilled water (LBD, n = 5) and 80% ethanol (LBE, n = 6), administered via oral gavage (200 mg/kg/day) for 6 weeks alongside HFD. Both extract groups showed lower weight increase ratio compared to the control group in experiment period (n = 5) (LBD: 27.74%, LBE: 29.71% vs. Control: 51.88%, p < 0.05). The extracts significantly decreased mesenteric white adipose tissue (mWAT) among WATs examined (mWAT and parametrial white adipose tissue [pWAT]). While both LBD and LBE reduced fatty acid synthase (FAS) mRNA expression in pWAT, only LBD reduced peroxisome proliferator-activated receptor gamma and FAS mRNA expression in mWAT. In elevated plus maze behavioral experiments, the LBD group displayed reduced anxiety-like behavior, spending significantly more time and travelling greater distances in the open arms compared to other groups (p < 0.05), independent of brain inflammatory markers. Our findings demonstrate lemon balm extracts simultaneously address both obesity and anxiety-like behaviors in female mice, with extraction solvent-dependent variations in efficacy and mechanism of action. These results suggest potential therapeutic applications for lemon balm as a functional food ingredient, particularly for women experiencing concurrent obesity and anxiety symptoms.

Citations

Citations to this article as recorded by  
  • Melissa officinalis L. (Lemon Balm): An Integrative Review of Phytochemistry and Evidence from Preclinical Research to Clinical Studies
    Ioan-Alexandru Cîmpeanu, Casiana Boru, Cristina Adriana Dehelean, Sergio Liga, Raluca Mioara Cosoroabă, Simona Ardelean, Roxana Popescu, Daliborca Vlad
    Plants.2026; 15(4): 650.     CrossRef
  • Plasma and Brain Metabolomics Uncover Modulation of Bile Acid and Pentose Phosphate Pathways by Melissa officinalis in Obese Rat Model
    Fatima Zohra Aberkane, Laura Natalia Ferro Holguín, Anne-Sophie Roy, Claire Maltret, Sekhou Cisse, Mohammed El Amine Benarbia, Séverine Boisard, Mohamed Yassine Mallem, David Guilet
    International Journal of Molecular Sciences.2026; 27(5): 2391.     CrossRef
  • Differential impacts of high-intensity interval training and moderate-intensity continuous training on obesity-induced behavioral and biochemical dysregulation in male mice
    Hossein Nazari, Ayoob Sabaghi, Ershad Nedaei, Namdar Yousofvand
    Sport Sciences for Health.2025; 21(3): 1673.     CrossRef
  • 1,407 View
  • 6 Download
  • 3 Crossref

Review Article

Flaxseed Lowers Blood Pressure in Hypertensive Subjects: A Meta-Analysis of Randomized Controlled Trials
Ezatollah Fazeli Moghadam, Leili Khaghani, Parivash Shekarchizadeh-Esfahani
Clin Nutr Res 2024;13(4):295-306.   Published online October 29, 2024
DOI: https://doi.org/10.7762/cnr.2024.13.4.295

This systematic review and meta-analysis study aimed to evaluate the effectiveness of flaxseed supplementation on blood pressure (BP) in patients with hypertension based on the data from randomized clinical trials (RCTs). Three databases (PubMed [MEDLINE], Scopus, and ISI Web of Science) were searched from inception up to August 10, 2024. Relevant studies meeting our eligibility criteria were obtained. A random-effects model was used to estimate pooled weighted mean differences (WMDs) with 95% confidence intervals (CIs). The methodological quality of individual studies was assessed using the Cochrane Collaboration risk of bias tool. A total of 5 studies were included and analyzed using STATA software version 12. The results show that there is a significant decrease in systolic BP (WMD, −8.64 mmHg; 95% CI, −15.41 to −1.87; p ≤ 0.001) and diastolic BP (WMD, −4.87 mmHg; 95% CI, −8.37 to −1.37; p = 0.006) of patients with hypertension as compared to control groups. This study supported that flaxseed supplementation had favorable effects on BP control in hypertensive patients. It may be a promising adjuvant therapy for patients with hypertension.

Citations

Citations to this article as recorded by  
  • Albumin-Bound Fatty Acids Modulate Endogenous Angiotensin-Converting Enzyme (ACE) Inhibition
    Enikő Edit Enyedi, Attila Ádám Szabó, Tamás Bence Pintér, Ivetta Siket Mányiné, Anna Pluhár, Csongor Váradi, Emese Bányai, Attila Tóth, Zoltán Papp, Miklós Fagyas
    Biomedicines.2026; 14(1): 103.     CrossRef
  • Molecular Mechanisms of Lignans in Lowering Blood Pressure and Anti-Obesity Effects: A Review
    Gitishree Das, Sandra Gonçalves, José Basilio Heredia, Nayely Leyva-López, Anabela Romano, Spiros Paramithiotis, Han-Seung Shin, Jayanta Kumar Patra
    Foods.2026; 15(2): 336.     CrossRef
  • Dietary flaxseed: Cardiometabolic benefits and its role in promoting healthy aging
    Setor K. Kunutsor, Davinder S. Jassal, Amir Ravandi, Andrea Lehoczki
    GeroScience.2025; 47(3): 2895.     CrossRef
  • 3,128 View
  • 13 Download
  • 3 Crossref

Original Articles

Association Between the Risk of Multiple Sclerosis and Dietary Proinflammatory/Anti-Inflammatory Food Intake and Dietary Diversity: A Case-Control Study
Alireza Hatami, Maryam Ahmadi-khorram, Fatemeh Keykhaei, Ali Jafarzadeh Esfehani, Mohsen Nematy
Clin Nutr Res 2024;13(1):61-73.   Published online February 1, 2024
DOI: https://doi.org/10.7762/cnr.2024.13.1.61

A diet rich in proinflammatory components and inflammation are suggested to be significant risk factors for multiple sclerosis (MS). This study aimed to investigate the association between the risk of MS and the inflammatory potential of an individual’s diet and dietary diversity through pro-inflammatory/anti-inflammatory food intake score (PAIFIS) and dietary diversity score (DDS). In a hospital-based case–control study, 397 participants, including 197 patients with MS and 200 healthy participants aged over 18 years, were evaluated. The history of smoking, dietary intake, and anthropometric characteristics, including body mass index, waist circumference, total body fat, and fat-free mass were assessed. A validated 160-item semiquantitative food frequency questionnaire was used to calculate the PAIFIS and DDS scores. The mean age of the participants was 32.45 ± 8.66 years, and most were females (274, 79.4%). The PAIFIS score was significantly higher among MS patients than healthy participants (p = 0.001). Between PAIFIS and DDS, only PAFIS was significantly related to MS risk (odds ratio, 1.002; 95% confidence interval, 1.001–1.004; p = 0.001). PAIFIS, as an index of dietary inflammation, can predict MS. Further studies are needed to document these findings.

Citations

Citations to this article as recorded by  
  • Linking Nutrients to Multiple Sclerosis Pathogenesis: Biological Evidence and Clinical Implications
    Rachele Rosso, Alessandro Maglione, Matteo Bronzini, Eleonora Virgilio, Marinella Clerico, Simona Rolla
    Nutrients.2025; 17(21): 3414.     CrossRef
  • Immune response against Epstein-Barr virus as an etiologic factor and therapeutic target for multiple sclerosis
    V. S. Rogovskii, A. D. Kukushkina, A. N. Boyko
    Extreme Medicine.2025; 27(1): 43.     CrossRef
  • Dietary acid load as well as dietary phytochemical index, and association with multiple sclerosis: results from a case–control study
    Alireza Hatami, Maryam Ahmadi-Khorram, Fatemeh Keykhaei, Mohtaram Hashemi, Reihane Javid, Mehrara Hashempour, Ali Jafarzadeh Esfehani, Mohsen Nematy
    BMC Nutrition.2024;[Epub]     CrossRef
  • 1,293 View
  • 1 Download
  • 3 Crossref
Agreement Evaluation of Energy Expenditure Estimations by Predictive Equation and Indirect Calorimetry in Critically Ill Neurosurgical Patients
Eunjoo Bae, Kumhee Son, Yoonsun Lee, Jinyoung Jang, Miyeon Kim, Seongsuk Kang, Taegon Kim, Hyunjung Lim
Clin Nutr Res 2025;14(2):114-126.   Published online April 28, 2025
DOI: https://doi.org/10.7762/cnr.2025.14.2.114

The primary aim of this study was to evaluate the value of predictive equation (PE) standard care compared with indirect calorimetry (IC)-based nutrition therapy. The secondary aim was to compare the results among 3 groups to assess the accuracy of IC and PE. This was a single-center, retrospective study of patients admitted to the neurosurgery (NS) intensive care unit (ICU), from January 2019, to August 2020. Anthropometric, biochemical, clinical, and dietary data were collected from NS ICU admission to discharge. If patients had an IC: PE ratio of 90%–110%, they were classified into the optimal estimation group (OEG); if the ratio was < 90%, they were classified into the underestimation group (UG); and if the ratio was > 110%, they were classified into the overestimation group (OG). There were no significant differences in anthropometric, biochemical, clinical data and nutrition assessment between baseline and discharge from the NS ICU. The OEG showed a larger cumulative caloric deficit rate compared to UG and OG, though this difference was not statistically significant. There was a negative association between calf circumference (CC) and length of stay (LOS). Repeated measures of CC showed a significant difference according to LOS and groups (p < 0.001). Anthropometric, biochemical, clinical, and dietary data of 77 NS patients were analyzed to determine the effectiveness of concordance between IC and PE. The UG and OG showed a significant decrease in CC during hospitalization, but CC in the OEG was maintained or increased from 4 weeks onward.

Trial Registration

Clinical Research Information Service Identifier: KCT0006381

Citations

Citations to this article as recorded by  
  • Nutrition recovery after critical illness: toward a personalized, multimodal approach
    Claire Dupuis, Jean Charles Preiser
    Current Opinion in Clinical Nutrition & Metabolic Care.2026; 29(3): 253.     CrossRef
  • Novel Resting Energy Expenditure Prediction Equations for Multi-Ethnic Asian Older Adults with Multimorbidity
    Pei San Kua, Musfirah Albakri, Su Mei Tay, Phoebe Si-En Thong, Olivia Jiawen Xia, Wendelynn Hui Ping Chua, Kevin Chong, Nicholas Wei Kiat Tan, Xin Hui Loh, Jia Hui Tan, Lian Leng Low
    Nutrients.2025; 17(13): 2144.     CrossRef
  • 718 View
  • 8 Download
  • 2 Crossref
Food Quality Is Associated With Depression, Anxiety, and Stress Among Recovered COVID-19 Patients: Finding From a Case-Control Study
Hanieh Barghchi, Asie Araste, Naeimeh Varasteh, Zahra Dehnavi, Reza Zare-Feyzabadi, Mohammad Vahedi Fard, Kimia MohammadHasani, Javad Parirokh, Zahra Khorasanchi, Maryam Mohammadi Bajgiran, Elahe Hasanzadeh, Reyhaneh Ebrahimi, Malihe Aghasizadeh, Mansoureh Sadat Ekhteraee Toosi, Parisa Asadian-Sohan, Reza Assaran Darban, Reza Hossieni, Gordon Ferns, Habibollah Esmaily, Majid Ghayour-Mobarhan
Clin Nutr Res 2025;14(1):17-29.   Published online February 5, 2025
DOI: https://doi.org/10.7762/cnr.2025.14.1.17

Following up with recovered coronavirus disease 2019 (COVID-19) patients is necessary. Given the importance of psychological function accompanied by significant effects of food quality, we want to examine the association between food quality score (FQS) and mental disorders among recovered COVID-19 patients. This case-control study was performed on 246 eligible adults. A validated food frequency questionnaire (FFQ) was used to evaluate dietary intake. We using Depression Anxiety Stress Scales, Insomnia Severity Index, Pittsburgh Sleep Quality Index, and 36-Item Short Form Health Survey questionnaires to evaluate the psychological function. Logistic regression analysis was conducted to estimate the odds ratio (OR) and 95% confidence intervals (CIs) for score categories of the FQS index and psychological function in multivariate-adjusted models. Only in case subjects, we found significant associations between adherence to the FQS diet and depression, anxiety, and stress in the crude model (OR, 0.796, 95% CI, 0.661–0.958, p = 0.016; OR, 0.824, 95% CI, 0.707–0.960, p = 0.013; OR, 0.824, 95% CI, 0.709–0.956, p = 0.011, respectively). These associations remained significant in all two adjusted models. However, no significant associations were found between FQS and psychological functions in the control group. Our data suggests that overall food quality intake is associated with depression, anxiety, and stress symptoms during the post-infection period. Also, adequate daily intakes of fruits, legumes, nuts, and whole grains are associated with reduced risks of psychological impairment and sleep disorders which are common among recovered patients.

Citations

Citations to this article as recorded by  
  • Legumes and nuts intake in relation to sleep duration and quality, oxidative stress and inflammation in Iranian adults
    Maedeh Jabbari, Donya Poursalehi, Zahra Moradmand, Alireza Rashki, Farnaz Shahdadian, Parisa Rouhani, Parvane Saneei
    Food & Function.2026; 17(4): 2081.     CrossRef
  • Digestive Manifestations of Post-COVID-19: A Focus on Therapeutic Strategies
    Cristina Stasi, Massimo Bellini
    Pathogens.2025; 14(6): 555.     CrossRef
  • 996 View
  • 6 Download
  • 2 Crossref

Review Article

Effects of Almond Consumption on Selected Markers of Inflammation and Oxidative Stress: A Systematic Review and Meta-Analysis
Maryam Eslami, Leili Khaghani, Ezatollah Fazeli Moghadam
Clin Nutr Res 2025;14(1):78-89.   Published online January 31, 2025
DOI: https://doi.org/10.7762/cnr.2025.14.1.78

This systematic review and meta-analysis aimed to evaluate the effectiveness of almond consumption on serum C-reactive protein (CRP) and malondialdehyde (MDA) levels in individuals at risk of cardiovascular disease (CVD). An electronic database search was performed on PubMed, Web of Science, Scopus, and the Cochrane Library from inception through October 2024. Summary effect size measurements were calculated using random effects model estimation and were reported as weighted mean differences (WMDs) along with 95% confidence intervals (CIs). A total of 258 articles were identified, and 13 randomized controlled trials (RCTs) were included in the systematic review and meta-analysis. The meta-analysis of eleven RCTs, which involved a total of 544 participants, indicated that almonds significantly reduced levels of CRP (WMD, −0.28 mg/L; 95% CI, −0.52, −0.04; p = 0.02). However, we found no significant benefit of almond consumption in improving serum MDA levels, and due to the limited number of studies, the examination of MDA was conducted only qualitatively. This study supports the conclusion that almond consumption has favorable effects on CRP levels in individuals with CVD risk factors. More high-quality trials are needed to confirm these findings.

Citations

Citations to this article as recorded by  
  • Daily Almond Supplementation Improves Blood Pressure and Lipid Profile in Pregnant Women with Hypertension and Dyslipidemia: A Randomized Controlled Trial
    Jamshed Arslan, Zainab Najam, Hamza Abdullah, Hasan Salman Siddiqi, Raffat Bano, Anwar-ul-Hassan Gilani, Humaira Jamshed
    The Journal of Nutrition.2026; 156(2): 101270.     CrossRef
  • Almond Consumption Improves Inflammatory Profiles Independent of Weight Change: A 6-Week Randomized Controlled Trial in Adults with Obesity
    Ayodeji Adepoju, Elaheh Rabbani, Philip Brickey, Victoria Vieira-Potter, Jaapna Dhillon
    Nutrients.2026; 18(5): 875.     CrossRef
  • 2,482 View
  • 6 Download
  • 2 Crossref

Original Article

The Effect of Synbiotic Supplementation on Bone Complications, Anemia, and Gastrointestinal Function in Hemodialysis Patients: A Double-Blind Randomized Clinical Trial
Yasaman Azamian, Hadi Abdollahzad, Shahab Rezaeian, Mohammad Hossein Rouhani, Mohammad Hossein Fatehi
Clin Nutr Res 2024;13(4):272-283.   Published online October 29, 2024
DOI: https://doi.org/10.7762/cnr.2024.13.4.272

Probiotics affect biomarkers indicative of bone formation, such as alkaline phosphatase (ALP), calcium status, bone mineralization, bone turnover markers and metabolism. This study aims to investigate the effects of synbiotic on gastrointestinal (GI) disorder, bone complications and anemia in hemodialysis (HD) patients. In this randomized, double-blind, placebo-controlled clinical trial study, HD patients received 2 symbiotic (n = 19) or placebo (n = 17) capsules daily for 12 weeks. GI function, serum levels of bone-specific biomarkers, and serum levels of anemia-specific biomarkers were assessed at the beginning and the end of study. GI function was assessed with gastrointestinal symptom rating scale questionnaire. The data were analyzed using SPSS. At the end of this study, parathyroid hormone levels decreased significantly in the synbiotic group (p = 0.039); however, in comparison to placebo group, the difference was not significant. Decrease of ALP levels in the synbiotic group were not statistically significant. However, a significant difference was seen between the 2 groups at the end of intervention (p = 0.037). Improvement in GI symptoms was observed in both groups, but the reduction rate was higher in the synbiotic group. Additionally, at the end of the study, a significant difference between the 2 groups was observed (p < 0.05). No statistically significant difference was observed in the levels of other factors within each group and between the 2 groups (p > 0.05). Symbiotic supplements after 12 weeks led to an improvement in GI function and ALP levels in HD patients. Further investigation into bone-mineral disorders in HD patients is necessary.

Trial Registration

Iranian Registry of Clinical Trials Identifier: IRCT20131013014994N7

Citations

Citations to this article as recorded by  
  • Effect of probiotic and synbiotic administration on the nutritional status of hemodialysis patients: a randomized-controlled trial
    Walaa M. Saad, Yara Moheb, Ehab Wafa, Muhammed A. Elhadedy, Mohamed A. Sobh
    International Urology and Nephrology.2026;[Epub]     CrossRef
  • Gut microbiome-targeted therapeutics for chronic kidney disease: comparative efficacy of probiotic and microbial preparations
    Yi-Ke Li, Wen-Ru Li, Huan Ren, Chen-Lin Xiao, Zhen Guo, Jian-Quan Luo
    Inflammopharmacology.2025; 33(12): 7569.     CrossRef
  • 658 View
  • 4 Download
  • 2 Crossref
Special Report
Korean Food Exchange Lists for Diabetes Meal Planning: Revised 2023
Jae Won Cho, Dal Lae Ju, YeonHee Lee, Bo Kyung Min, Meera Kweon, Eun Mi Kim, SuJin Song, Jae Eun Shim, Oh Yoen Kim, Suk Chon, Jeong Hyun Lim
Clin Nutr Res 2024;13(4):227-237.   Published online October 29, 2024
DOI: https://doi.org/10.7762/cnr.2024.13.4.227

A food exchange list is a tool developed to help diabetic patients control their energy intake and plan balanced meals. Korean food exchange lists were first developed in 1988, revised in 1995, and updated again in 2010. With rapidly changing dietary habits and increasing demand for diverse food cultures, the Korean Diabetes Association in cooperation with 4 related organizations established a Task Force Team (TFT) to revise food exchange lists in March 2022. Starting with a workshop, TFT held 11 official revision meetings, culminating in a public hearing in May 2023. The final revised version of Korean food exchange lists was published in December 2023. Key outcomes of the revision are summarized as follows: 1. Based on the National Standard Food Composition Table 10.0 database, the existing classification system and nutrient standards for each food group remain unchanged this time. 2. Based on a survey conducted among diabetes educators, the number of items on the food exchange lists has increased from 339 in 2010 to 435 this time. 3. Considering patients’ usual eating habits, meal planning examples were developed distributing food group exchange units by energy level based on 3 types of proportions of carbohydrate energy (40%–45%, 50%–55%, 60%–65%). 4. Due to limitations in real-time updates for rapidly changing information, detailed guidance on how to access and interpret the data is provided. These revisions will help people with diabetes manage their blood sugar levels and facilitate the implementation of healthy meal planning in various other conditions, including obesity.

Citations

Citations to this article as recorded by  
  • Nutritional management of an adolescent undergoing bariatric surgery: a case report
    Yooeun Yoon, Hosun Lee, Soo Min Ahn
    Clinical Nutrition Research.2026; 15(1): 64.     CrossRef
  • Development of Nutritional Counseling Materials for ASD Children: Focusing on the Food Exchange List
    Seunghyun Won, Youjeong Kim, Jiye Park, Su-In Yoon, Jin Ah Cho
    Clinical Nutrition Research.2025; 14(2): 127.     CrossRef
  • 1,965 View
  • 11 Download
  • 2 Crossref