Skip to main navigation Skip to main content
  • KSCN
  • E-Submission

CNR : Clinical Nutrition Research

OPEN ACCESS
ABOUT
BROWSE ARTICLES
EDITORIAL POLICIES
FOR CONTRIBUTORS

Articles

Original Article

Comparison of Health Status and Life Satisfaction According to Food Security in Single-Person Households of Elderly Population

Clinical Nutrition Research 2024;13(1):42-50.
Published online: January 31, 2024

1Department of Gerontology, Age Tech-Service Convergence Major, Graduate School of East-West Medical Science, Kyung Hee University, Yongin 17104, Korea.

2Department of Electronic Engineering Building, Age Tech-Service Convergence Major, Graduate School of East-West Medical Science, Kyung Hee University, Yongin 17104, Korea.

Correspondence to Hee-Sook Lim. Department of Gerontology, Age Tech-Service Convergence Major, Graduate School of East-West Medical Science, Kyung Hee University, 1732 Deogyeong-daero, Giheung-gu, Yongin 17104, Korea. limhsgeron@khu.ac.kr
Correspondence to Wonha Kim. Department of Electronic Engineering Building, Age Tech-Service Convergence Major, Graduate School of East-West Medical Science, Kyung Hee University, 1732 Deogyeong-daero, Giheung-gu, Yongin 17104, Korea. wonha@khu.ac.kr
• Received: January 12, 2024   • Revised: January 24, 2024   • Accepted: January 26, 2024

Copyright © 2024. The Korean Society of Clinical Nutrition

This is an Open Access article distributed under the terms of the Creative Commons Attribution Non-Commercial License (https://creativecommons.org/licenses/by-nc/4.0/) which permits unrestricted non-commercial use, distribution, and reproduction in any medium, provided the original work is properly cited.

  • 704 Views
  • 1 Download
  • 2 Crossref
prev next
  • This study analyzed the 2019 Community Health Survey data to compare and analyze the health levels and life satisfaction of single-person elderly households based on food security. The final study subjects were 15,606 single-person elderly individuals aged 65 and above. These subjects were classified based on their response to food security into three groups: food sufficient-diverse, food sufficient-not diverse, and food insufficient. The study results showed that the proportion of the food insufficient group among single-person elderly households was 7.4% for men and 10.6% for women, with a slightly higher rate for female elderly. Both male and female elderly over 80 years of age, with low education levels, and basic living support recipients showed significantly higher proportions in the sufficient-not diverse and food insufficient groups. For male elderly, significant differences were observed in subjective health status and oral health level in the food insufficient group, and for female elderly, stress levels also showed significant differences. Life satisfaction scores were generally lower for female elderly compared to male, and significant differences were found in both male and female elderly based on food security. Common factors that significantly influence life satisfaction among single-person elderly households, both male and female, include food security, subjective health status, and living environment satisfaction, with food security being the most impactful factor. The study suggests that it is necessary to include these significant factors in the development of various social activity programs, such as dietary programs, to enhance life satisfaction and food security of single-person elderly households.
The population of individuals aged ≥ 65 years in South Korea was reported to be 18.4%, amounting to 9.5 million in 2023, and South Korea is projected to enter an ultra-aged society by 2025 with 20.6% of its population aging ≥ 65 years [1]. The types of elderly households are diversifying, including single-person and couple-only elderly households, with single-person elderly households accounting for the highest proportion at 36.3% in 2023 [1]. As the number of elderly individuals living alone rises, there is growing concern for their health, highlighting the importance of both physical and mental well-being in this demographic [2].
Owing to disorders in digestive function, decreased sense of taste, and reduced appetite, most elderly individuals suffer from a decreased intake of nutrients, which affects not only the presence of chronic diseases but also their quality of life [3]. Additionally, irregular eating patterns, food purchasing methods, and limited knowledge about nutritious diets have led to a general lack of healthy eating habits among many individuals [4]. According to research on nutritional status by life cycle, the elderly are nutritionally vulnerable compared to other age groups. It has been reported that this is due to difficulties in securing sufficient food due to decreased economic activity and changes in family composition [5]. Indeed, the rate of food insecurity among the elderly in South Korea is higher than that among other age groups [6].
The characteristics of residential locations, such as the natural environment, living environment, and accessibility to major facilities (public and medical facilities) of the elderly, significantly affect their quality of life [7]. A study comparing the residential characteristics of single-person households of the youth with those of the elderly showed that areas with a high concentration of single elderly households have a lower proportion of commercial areas and a higher proportion of residential areas. Furthermore, in these areas, accessibility to cultural, shopping, medical, and public facilities was relatively low, showing statistically significant differences [7]. This suggests that the residential environment of single-person elderly households also affects food security.
Food security refers to “the state of securing sufficient quantity and quality of food for all household members through socially acceptable methods to maintain a healthy life” [8, 9]. In South Korea, surveys on food security have been performed since 2005, and according to the 2021 National Health Statistics, the household food security rate was 96.7% in 2021, which is similar to 96.3% in 2020 [10]. However, studies on food security have revealed differences in age and household income, with the elderly, particularly those in single-person households, having the lowest food security [11, 12, 13, 14, 15]. This is particularly true for those with a lower perception of their health and those who do not purchase food [15].
Food intake is correlated with food security, which ultimately has a significant impact on health status and quality of life [16]. However, most elderly individuals tend to consume less vegetables, fruits, and milk and have low awareness regarding purchasing quality food, leading to lower food security [17]. Particularly in the case of single-person households, more active support is required; however, research related to the health and life satisfaction of elderly single-person households based on their level of food safety is lacking. As the elderly face issues with food insecurity, enhancing their health and quality of life by increasing the value and accessibility to healthy foods that are high in quality and nutrients is necessary [5].
Therefore, this study aimed to classify groups according to the sufficiency and diversity of food among single-person elderly households and to examine related individual and community factors and their satisfaction.
Data and subjects
This study analyzed raw data from the 2019 Community Health Survey. The Community Health Survey in Korea was initiated following the implementation of local autonomy in 1995. It was established owing to the absence of regional health data to aid local governments in health policy planning. The initiative aimed to generate statistical information for the development and evaluation of policies, focusing on the health status of residents in the local area. The purposes of the Community Health Survey include generating city/county/district level health statistics necessary for local healthcare planning, producing basic data for systematic evaluation of local health projects, enhancing survey and monitoring infrastructure through public–private cooperation in the community, and standardizing survey content and execution systems for interregional comparison of residents’ health levels. The survey is divided into individual surveys (covering all household members over 19 years of age) and household surveys (one representative per household). Individual surveys comprise basic information (e.g., sex and age), physical measurements, health behaviors (e.g., smoking, diet, safety awareness, physical activity, alcohol consumption, oral health, mental health, blood pressure, obesity, and weight control), health knowledge, vaccinations and screenings, presence of diseases and infections, medical use, accidents and poisoning, limitations in activities and quality of life, use of health facilities, social and physical environment, personal hygiene, women’s health, education, and economic activities. Household surveys include household type and income.
Studies using raw data from the Community Health Survey have established various variables based on the aforementioned survey content to analyze their research subjects. For example, a study analyzing the relationship between the use of nutritional labels and disease management education among patients with hypertension and diabetes mellitus used raw data from the Community Health Survey conducted by the Korea Disease Control and Prevention Agency [18]. Furthermore, demographic and social factors, such as sex, age, occupation, education level, and income, were set as variables in the methodology, and health behavior variables included smoking, high-risk drinking, walking as physical activity, and obesity [19]. Based on the aforementioned content, the study selected single-person elderly households aged ≥ 65 years without a spouse or household members as the research subjects, excluded missing values, and analyzed 15,606 individuals, comprising 3,021 men and 12,585 women.
Variables
In the raw data from the 2019 Community Health Survey, questions related to food security were based on food sufficiency and diversity, following a categorization referenced in previous studies [6]. The groups were divided into “sufficient-diverse,” “sufficient-not diverse,” and “insufficient.” Demographic and social factors included age, sex, education level, and eligibility for basic living subsidies. Age was categorized into 65–75 years and > 80 years. Education level was classified as illiterate, elementary school graduate, middle school graduate, and high school graduate or higher. Health factors included subjective health status, oral health level, stress, and experience of depression. Furthermore, community environmental factors were measured, including the perceived safety of the residential area, natural environment, living environment, public transportation, and satisfaction with medical services. Moreover, life satisfaction was reflected by a subjective score ranging from 0 to 10.
Statistical analysis
Data analyses were performed using Statistical Package for the Social Sciences, version 25.0. To examine the differences in health status and social environment satisfaction based on food security among elderly men and women living alone, the chi-square test was performed. Multiple regression analysis was performed to identify the factors that influence life satisfaction of single-person elderly households, and p values of < 0.05 were used to denote statistical significance.
Health status and social environment satisfaction based on food safety among male elderly
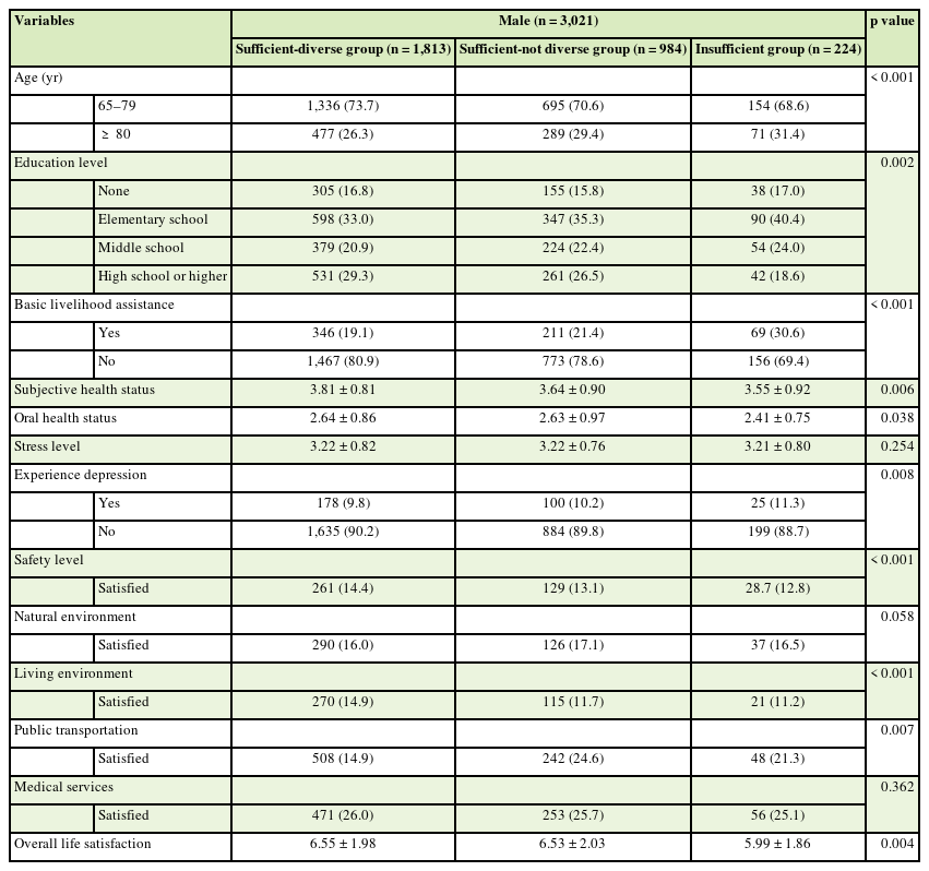
Based on food sufficiency and diversity, classification of elderly men living alone is as follows: sufficient-diverse group, 60.0% (1,813 individuals); sufficient-not diverse group, 32.6% (984 individuals); and insufficient group, 7.4% (224 individuals). Regarding age, proportion of individuals aged 80 years was substantially higher in the sufficient-not diverse and insufficient group. Education levels were lower in the two aforementioned groups than in the sufficient-diverse group. The education level category depicting the largest difference in composition was “high school graduate or higher,” with the sufficient-diverse group at 29.3% (531 individuals), sufficient-not diverse group at 26.5% (261 individuals), and insufficient group at 18.6% (42 individuals) showing a significant difference. Regarding eligibility for basic living subsidies, proportion of respondents answering “Yes” increased in the insufficient group, and the trend of increasing experiences of depression was also observed in the insufficient group. The average subjective health status was the lowest in the insufficient group at 3.81 ± 0.81%, followed by the sufficient-not diverse group at 3.64 ± 0.90% and the sufficient-diverse group at 3.55 ± 0.92%. Both the health status and oral health level showed significant differences among the groups. In terms of community environmental factors, satisfaction with community safety, living environment, and public transportation was significantly lower. The average life satisfaction score (0–10 points) also showed a significant difference, with the sufficient-diverse group at 6.55 ± 1.98, sufficient-not diverse group at 6.53 ± 2.03, and insufficient group at 5.99 ± 1.86 (Table 1).
Table 1

The status of health levels and social environment satisfaction among single male elderly

Table 1
Variables Male (n = 3,021) p value
Sufficient-diverse group (n = 1,813) Sufficient-not diverse group (n = 984) Insufficient group (n = 224)
Age (yr) < 0.001
65–79 1,336 (73.7) 695 (70.6) 154 (68.6)
≥ 80 477 (26.3) 289 (29.4) 71 (31.4)
Education level 0.002
None 305 (16.8) 155 (15.8) 38 (17.0)
Elementary school 598 (33.0) 347 (35.3) 90 (40.4)
Middle school 379 (20.9) 224 (22.4) 54 (24.0)
High school or higher 531 (29.3) 261 (26.5) 42 (18.6)
Basic livelihood assistance < 0.001
Yes 346 (19.1) 211 (21.4) 69 (30.6)
No 1,467 (80.9) 773 (78.6) 156 (69.4)
Subjective health status 3.81 ± 0.81 3.64 ± 0.90 3.55 ± 0.92 0.006
Oral health status 2.64 ± 0.86 2.63 ± 0.97 2.41 ± 0.75 0.038
Stress level 3.22 ± 0.82 3.22 ± 0.76 3.21 ± 0.80 0.254
Experience depression 0.008
Yes 178 (9.8) 100 (10.2) 25 (11.3)
No 1,635 (90.2) 884 (89.8) 199 (88.7)
Safety level < 0.001
Satisfied 261 (14.4) 129 (13.1) 28.7 (12.8)
Natural environment 0.058
Satisfied 290 (16.0) 126 (17.1) 37 (16.5)
Living environment < 0.001
Satisfied 270 (14.9) 115 (11.7) 21 (11.2)
Public transportation 0.007
Satisfied 508 (14.9) 242 (24.6) 48 (21.3)
Medical services 0.362
Satisfied 471 (26.0) 253 (25.7) 56 (25.1)
Overall life satisfaction 6.55 ± 1.98 6.53 ± 2.03 5.99 ± 1.86 0.004
The data is presented as number (%) or mean ± standard deviation. p value were calculated by χ2 test (categorical variables).
Health status and social environment satisfaction based on food safety among female elderly
The classification of elderly women living alone in one-person households based on food sufficiency and diversity showed that the sufficient-diverse group accounted for 54.6% (6,871 individuals), the sufficient-not diverse group for 34.8% (4,380 individuals), and the insufficient group accounted for 10.6% (224 individuals). Regarding age, proportion of individuals aged 80 years was significantly higher in the sufficient-not diverse and insufficient group. Education level is lower in the aforementioned groups than in the sufficient-diverse group. Notably, among the educational levels, the insufficient group had a decreasing trend in education as the proportion of individuals with “high school graduation or higher” decreased, with significant differences observed: 12.5% (859 individuals) in the sufficient-diverse group, 10.4% (456 individuals) in the sufficient-not diverse group, and 8.1% (108 individuals) in the insufficient group. The variable of oral health status, which is a health factor, showed significant differences in the mean values: 2.60 ± 0.77 in the sufficient-diverse group, 2.58 ± 0.91 in the sufficient-not diverse group, and 2.36 ± 0.98 in the insufficient group. Regarding environmental factors in the community, both the quality of living environment and satisfaction with medical services were significantly lower. The average score of life satisfaction, reflecting subjective evaluation on a scale of 0–10 points, also showed significant differences: 6.17 ± 1.90 in the sufficient-diverse group, 5.85 ± 1.81 in the sufficient-not diverse group, and 5.50 ± 2.16 in the insufficient group (Table 2).
Table 2

The status of health levels and social environment satisfaction among single female elderly

Table 2
Variables Female (n = 12,585) p value
Sufficient-diverse group (n = 6,871) Sufficient-not diverse group (n = 4,380) Insufficient group (n = 1,334)
Age (yr) < 0.001
65–79 4,411 (64.2) 2,860 (65.3) 779 (58.4)
≥ 80 2,460 (35.8) 1,520 (34.7) 555 (41.6)
Education level < 0.001
None 2,632 (38.3) 1,625 (37.1) 575 (43.1)
Elementary school 2,109 (30.7) 1,463 (33.4) 381 (28.6)
Middle school 1,271 (18.5) 832 (19.0) 269 (20.2)
High school or higher 859 (12.5) 456 (10.4) 108 (8.1)
Basic livelihood assistance 0.009
Yes 1,333 (19.4) 740 (16.9) 228 (17.1)
No 5,538 (80.6) 3,640 (83.1) 1,106 (82.9)
Subjective health status 2.49 ± 0.78 2.71 ± 0.91 2.44 ± 0.80 0.027
Oral health status 2.60 ± 0.77 2.58 ± 0.91 2.36 ± 0.98 < 0.001
Stress level 3.20 ± 0.64 3.16 ± 0.76 3.24 ± 0.80 0.046
Experience depression 0.005
Yes 708 (10.3) 447 (10.2) 180 (13.5)
No 6,163 (89.7) 3,933 (89.8) 1,154 (86.5)
Safety level 0.144
Satisfied 893 (13.0) 561 (12.8) 169 (12.6)
Natural environment 0.380
Satisfied 1,058 (15.4) 701 (16.0) 203 (15.2)
Living environment 0.002
Satisfied 934 (13.6) 565 (12.9) 140 (10.5)
Public transportation 0.497
Satisfied 1,808 (26.3) 1,126 (25.7) 348 (26.1)
Medical services < 0.001
Satisfied 1,725 (25.1) 964 (22.0) 268 (20.1)
Overall life satisfaction 6.17 ± 1.90 5.85 ± 1.81 5.50 ± 2.16 < 0.001
The data is presented as number (%) or mean ± standard deviation. p value were calculated by χ2 test (categorical variables).
Comparison of health status and community environmental satisfaction of single-person elderly households
Among single-person elderly households, proportion of the food-insecure group was 7.4% for men and 10.6% for women, with women showing a slightly higher proportion. Both men and women in the food-insecure group had a significantly higher proportion of individuals aged 80 years, those with lower educational attainment, and those receiving basic livelihood support. For men, the food-insecure group showed significant differences in subjective health and oral health status, whereas, for women, even the stress level showed a significant difference. Regarding community environmental factors, men in the food-insecure group had significantly lower levels of satisfaction with community safety, living environment, and public transportation. Conversely, women in the food-insecure group showed significant differences in satisfaction with the living environment and healthcare services. Overall, life satisfaction scores were lower for women than for men, and differences based on food security were significant. Satisfaction scores were significantly lower in the food-insecure or less diverse food groups (Tables 1 and 2).
Factors affecting life satisfaction in single-person elderly households
For elderly men, whether they received basic livelihood support, subjective health status, satisfaction with the living environment, and food security significantly influenced their life satisfaction. In contrast, for elderly women, the factors that influenced life satisfaction were, in order of significance, was educational attainment, subjective health status, food security, oral health status, satisfaction with the living environment, and satisfaction with healthcare services (Table 3).
Table 3

Factors effecting the life satisfaction of single elderly individuals

Table 3
Variables B SE β
Male
Basic livelihood assistance 0.462 0.036 0.206
Subjective health status 0.305 0.027 0.194
Living environment satisfied 0.228 0.057 0.145
Food security 0.520 0.114 0.120
F 52.74
R2 0.256
Adjusted R2 0.223
Female
Education level 0.513 0.029 0.183
Subjective health status 0.392 0.022 0.190
Oral health status 0.257 0.043 0.087
Living environment satisfied 0.182* 0.036 0.020
Medical services satisfied 0.163* 0.040 0.019
Food security 0.413 0.031 0.134
F 186.25
R2 0.281
Adjusted R2 0.265
SE, standard error.
*p < 0.01; p < 0.001.
Aging is accompanied by various physiological changes that affect nutritional status, and conversely, nutritional status is a critical factor that can regulate the aging process. In South Korea, the overall nutritional intake of the elderly is generally lower compared to the younger and middle-aged populations. Except for the highest income group, most elderly people in other income groups have been found to consume less than 75% of the recommended nutrient levels [20]. Factors affecting the nutritional status of the elderly can be categorized into three groups: socio-economic, physical, and psychological aspects [20]. The living arrangement of the elderly, as a socio-economic factor, has been shown to influence their nutritional status. Currently, the household types of the elderly in South Korea are diverse, including single-person and couple households. However, as of 2023, the proportion of single-person elderly households is the highest at 36.3% [1]. Therefore, managing the diet of single-person elderly households in South Korea has become increasingly important. This study classifies subjects based on food security, which is closely related to nutrient intake and dietary patterns of single-person elderly households.
Food security refers to the state where all individuals have physical, social, and economic access to sufficient, safe, and nutritious food that meets their dietary needs and food preferences for an active and healthy life. Therefore, it represents a multifaceted concept that involves not only the quantitative sufficiency of food but also its quality and accessibility, distinguishing it from the mere concept of hunger. Food insecurity is not merely an indicator of insufficient food intake but reflects socio-economic inequalities among the target population and can predict health status [10].
The results of this study showed that among single-person male elderly households, 60.0% belonged to the sufficient-diverse group, 32.6% to the sufficient-not diverse group, and 7.4% to the insufficient group (Table 1). In a study conducted with 265 elderly participants at a senior center in Seo-gu, Gwangju Metropolitan City, the participants were categorized based on food security into 9.8% food secure, 27.5% diverse food insecure, and 62.6% food insecure groups [10]. This difference is attributed to the limited characteristics of the research subjects in the previous study. Similarly, it was significantly observed that women and those who frequently feel depressed had higher rates of food insecurity.
Regarding depression, the proportion of respondents answering 'yes' to experiencing depression tended to increase in the food insufficient group. Additionally, the average life satisfaction scores decreased in the food insufficient group, indicating significant differences among the three groups classified in this study. These results are consistent with previous studies investigating food security, depression, and quality of life among Korean elderly. The previous study was conducted with participants aged 65 and over in the 2013–2014 National Health and Nutrition Examination Survey, and it found a positive correlation between food security and depression and a negative correlation with quality of life. Depression was negatively correlated with quality of life. These results suggest that as food insecurity increases, depression increases, and quality of life decreases [21].
The study showed significant differences in demographic factors, such as education level and eligibility for basic living support. Both factors indicated an increasing proportion of lower-educated individuals and recipients of basic living support in the food insufficient group. In terms of health factors, while stress levels did not show significant differences, subjective health status and oral health status did. This aligns with the results of previous studies using food security as a variable [22]. Sociological factors showed significant differences in satisfaction levels with safety, living environment, and public transportation. For satisfaction with medical services, a decreasing proportion of satisfied respondents was observed in the food insufficient group, although this did not show a statistically significant difference.
Comparing and analyzing this study's results with a previous study [5] based on gender, the proportion of single-person elderly households in the food insufficient group was higher for female elderly at 10.6% compared to male elderly at 7.4%. A previous study investigating the health status and nutritional intake of Korean elderly based on food security levels also found that 4.4% of males over 65 and 5.5% of females in the food insecure group, showing a similar pattern to this study. Additionally, the proportion of single-person households among male elderly was 8.5% in the food secure group, 12.7% in the diverse food insecure group, and 37.8% in the food insecure group. For female elderly, the proportions were 19.7% in the food secure group, 28.1% in the diverse food insecure group, and 44.9% in the food insecure group, indicating a significantly higher proportion of single-person households as food security decreased for both genders. This suggests that the validity of this study is supported. Regarding subjective health status, the average score for male elderly was higher than that for female elderly, and previous studies also found that female elderly rated their health status significantly lower than male elderly.
In analyzing factors affecting life satisfaction of single-person elderly households, it was found that for male elderly, eligibility for basic living support, subjective health status, living environment satisfaction, and food security significantly influenced life satisfaction, with food security being the most significant factor. For female elderly, while living environment satisfaction and medical service satisfaction were significant, food security, education level, subjective health status, and oral health status had a more significant impact. Therefore, common factors significantly influencing life satisfaction for both male and female single-person elderly households include food security, subjective health status, and living environment satisfaction, with food security being the most impactful factor.
It demonstrated that life satisfaction, influenced by subjective health status and food security, showed significant differences in both male and female elderly. These suggestions aim to address the complex issues surrounding food security and the wellbeing of single-person elderly households, highlighting the need for comprehensive and multifaceted approaches.
National Research Foundation of Koreahttps://doi.org/10.13039/501100003725 5120200313836

Funding: This research was supported by BK21 plus program AgeTech-Service Convergence Major through the National Research Foundation (NRF) funded by the Ministry of Education of Korea (5120200313836).

Conflict of Interest: The authors declare that they have no competing interests.

Author Contributions:

  • Conceptualization: Jung DH, Lim HS.

  • Data curation: Jung DH, Han JW.

  • Formal analysis: Jung DH, Han JW.

  • Methodology: Jung DH, Kim W.

  • Supervision: Kim W, Lim HS.

  • Writing - original draft: Jung DH, Han JW.

  • Writing - review & editing: Kim W, Lim HS.

  • 1. Statistics Korea. The statics of senior citizen in 2023 [Internet]. 2023. cited 2023 October 16. Available from https://kostat.go.kr/board.es?mid=a10301010000&bid=10820&act=view&list_no=427252
  • 2. Kim YS. The study of the impact of the family type on the health promoting behavior and physical and mental health of elderly people. Health Soc Welf Rev 2014;34:400-429.
  • 3. Kim HK, Chang HK, Lee MR, Son YJ, Han SJ, Yang NY, Yoo MR, Choi SY, Kim YM. Influence of malnutrition and social network on health-related quality of life in elders. J Korean Acad Fundam Nurs 2013;20:98-107.
  • 4. Ye JY, Min SH, Lee MJ. Effect of diabetic dietary education program on diabetes knowledge and dietary behaviors of elderly diabetic patients. Korean J Food Cook Sci 2017;33:601-608.
  • 5. Maeng A, Lee J, Yoon E. Health and nutrition intake status of the Korean elderly according to their food security level: data from the 7th Korea National Health and Nutrition Examination Survey (KNHANES VII), 2016–2018. J Nutr Health 2021;54:179-198.
  • 6. Lee Y, Yang N, Shin M, Lee KE, Yoo CH, Kim K. The effects of a personalized nutrition intervention program on food security, health and nutritional status of low-income older adults in Seoul city. J Nutr Health 2020;53:416-430.
  • 7. Kim LY, Park GH. A comparative study of the characteristics of residential areas between young and elderly single-person households. SH Urban Res Insight 2023;13:75-92.
  • 8. Kim K, Kim MK, Shin YJ. The concept and measurement of food security. J Prev Med Public Health 2008;41:387-396.
  • 9. Wunderlich GS, Norwood JL. Food insecurity and hunger in the United States: an assessment of the measure. Washington, D.C.: National Academies Press; 2006.
  • 10. Baek JS, Heo YR. A study on the dietary status of the elderly availing free meal services according to their food security in Seogu, Gwangju, Korea. Korean J Food Cook Sci 2023;39:402-415.
  • 11. Bae A, Yoon J, Yoon SY, Asano K. Dietary and health characteristics of the young-old and the old-old by food security status: analysis of data from the 6th (2013–2015) Korea National Health and Nutrition Examination Survey. J Nutr Health 2019;52:104-117.
  • 12. Lee H. Food insecurity and related risk factors in the elderly: Korea National Health and Nutrition Examination Survey 2013 data. J Korean Diet Assoc 2015;21:308-319.
  • 13. Jang JH, Kim SI, Jung D, Jo C. A study on the effects of chronic diseases and health behaviors on quality of life among single-person households facing food insecurity. J Korea Acad-Ind Cooper Soc 2022;23:393-402.
  • 14. Park GA, Kim SH, Kim SJ, Yang YJ. Health and nutritional status of Korean adults according to age and household food security: Using the data from 2010–2012 Korea National Health and Nutrition Examination Survey. J Nutr Health 2017;50:603-614.
  • 15. Cho J. Factors associated with food insecurity among the Korean elderly: using ordered logistic regression analysis. Health Soc Welf Rev 2015;35:375-406.
  • 16. Hong J, Hyun T. Interpersonal and community factors related to food sufficiency and variety: analysis of data from the 2017 community health survey. Korean J Community Nutr 2021;25:416-429.
  • 17. Shim JS, Oh K, Nam CM. Association of household food security with dietary intake: based on the third (2005) Korea National Health and Nutrition Examination Survey (KNHANES III). Korean J Nutr 2008;41:174-183.
  • 18. Korea Disease Control and Prevention Agency. Community health survey [Internet]. 2020. cited 2023 November 9. Available from https://chs.kdca.go.kr/chs/qt/qtMain.do
  • 19. Jin M, Kim J, Yoon K. The association between nutrition label utilization and disease management education among hypertension or diabetes diagnosed in Korea using 2018 Community Health Survey: a cross-sectional study. Korean J Community Nutr 2023;28:38-47.
  • 20. Han K. Dietary management for the elderly. Korean Society of Community Living Science 2005 Spring conference proceeding book. Busan: Korean Society of Community Living Science; 2005, pp 29-55.
  • 21. Kim KN, Ji YJ. Food safety, depression and quality of life in elderly Koreans. Asia-Pac J Multimed Serv Converg Art Humanit Soc 2017;7:575-582.
  • 22. Cady CL. Food insecurity as a student issue. J Coll Character 2014;15:265-272.

Download Citation

Download a citation file in RIS format that can be imported by all major citation management software, including EndNote, ProCite, RefWorks, and Reference Manager.

Format:

Include:

Comparison of Health Status and Life Satisfaction According to Food Security in Single-Person Households of Elderly Population
Clin Nutr Res. 2024;13(1):42-50.   Published online January 31, 2024
Download Citation

Download a citation file in RIS format that can be imported by all major citation management software, including EndNote, ProCite, RefWorks, and Reference Manager.

Format:
Include:
Comparison of Health Status and Life Satisfaction According to Food Security in Single-Person Households of Elderly Population
Clin Nutr Res. 2024;13(1):42-50.   Published online January 31, 2024
Close
Comparison of Health Status and Life Satisfaction According to Food Security in Single-Person Households of Elderly Population
Comparison of Health Status and Life Satisfaction According to Food Security in Single-Person Households of Elderly Population
Table 1 The status of health levels and social environment satisfaction among single male elderly

The data is presented as number (%) or mean ± standard deviation. p value were calculated by χ2 test (categorical variables).

Table 2 The status of health levels and social environment satisfaction among single female elderly

The data is presented as number (%) or mean ± standard deviation. p value were calculated by χ2 test (categorical variables).

Table 3 Factors effecting the life satisfaction of single elderly individuals

SE, standard error.

*p < 0.01; p < 0.001.