Skip to main navigation Skip to main content
  • KSCN
  • E-Submission

CNR : Clinical Nutrition Research

OPEN ACCESS
ABOUT
BROWSE ARTICLES
EDITORIAL POLICIES
FOR CONTRIBUTORS

Articles

Original Article

Association Between Dietary Fiber Intake and Low Muscle Strength Among Korean Adults

Clinical Nutrition Research 2024;13(1):33-41.
Published online: January 31, 2024

Department of Food and Nutrition, Seoul Women’s University, Seoul 01797, Korea.

Correspondence to Sunhye Shin. Department of Food and Nutrition, Seoul Women’s University, 621 Hwarang-ro, Nowon-gu, Seoul 01797, Korea. sshin@swu.ac.kr
• Received: December 20, 2023   • Revised: January 23, 2024   • Accepted: January 26, 2024

Copyright © 2024. The Korean Society of Clinical Nutrition

This is an Open Access article distributed under the terms of the Creative Commons Attribution Non-Commercial License (https://creativecommons.org/licenses/by-nc/4.0/) which permits unrestricted non-commercial use, distribution, and reproduction in any medium, provided the original work is properly cited.

  • 1,341 Views
  • 13 Download
  • 9 Crossref
prev next
  • The health benefits of dietary fiber are widely recognized, but its impact on muscle health remains unclear. Therefore, this study aimed to elucidate the relationship between dietary fiber intake and muscle strength through a cross-sectional analysis of data from the Korea National Health and Examination Survey (KNHANES). Data from a single 24-h dietary recall and handgrip strength tests of 10,883 younger adults aged 19 to 64 years and 3,961 older adults aged ≥ 65 years were analyzed. Low muscle strength was defined as handgrip strength < 28 kg for men and < 18 kg for women. Multivariable linear and logistic regression analyses were conducted to determine the association of dietary fiber intake with muscle strength. Approximately 43% of Korean adults met the recommended intake of dietary fiber, and those with higher dietary fiber consumption also had higher total energy and protein intake. After adjusting for confounding variables, dietary fiber intake was found to be positively associated with maximal handgrip strength in younger women aged 19 to 64 years (β = 0.015; standard error [SE] = 0.006) and older men aged ≥ 65 years (β = 0.035; SE = 0.014). For older women aged ≥ 65 years, those in the lowest quartile of dietary fiber intake had a higher risk of low muscle strength than those in the highest quartile after adjustment of confounders (odds ratio 1.709; 95% confidence interval 1.130–2.585). These results suggest that adequate dietary fiber intake may reduce the risk of sarcopenia in older Korean women.
With aging, body mass and fat mass increase, but lean mass decreases. Individuals after the age of 40 years lose 1%–2% of skeletal muscle mass every year, and 25%–30% of the muscle is lost at the age of 70 years [1]. Age-related muscle mass loss can cause sarcopenia which is defined as low muscle mass, low muscle strength, and/or impaired physical activity [2]. Since sarcopenia increases morbidity and mortality rates, it is critical to monitor muscle quality in older adults [3]. To detect sarcopenia in high-risk individuals, the Asian Working Group for Sarcopenia (AWGS) 2019 consensus created the idea of “possible sarcopenia” which is defined as low muscle strength with or without low muscle mass [4]. According to the AWGS 2019, low muscle strength is characterized by a handgrip strength of < 28 kg for Asian men and < 18 kg for Asian women [4].
Malnutrition is one of the key factors accelerating the onset of sarcopenia and sarcopenia-related chronic diseases [5, 6, 7, 8, 9, 10]. Multiple studies have indicated that an adequate intake of total energy, macronutrients, and micronutrients is essential to prevent sarcopenia [5, 6, 7, 8, 9, 10]. Total energy intake has been linked to skeletal muscle mass in adults aged ≥ 30 years [5]. Among elderly patients with type 2 diabetes, total energy intake was more closely associated with the risk of sarcopenia than protein intake was [6]. Dietary protein intake has been positively associated with lean mass and handgrip strength in adults aged 40–59 years [7]. Sufficient protein intake has been observed to upregulate muscle protein synthesis in both young and old adults [8]. The intake of n-3 fatty acids [9] and potassium [10] has also been correlated with a lower risk of low handgrip strength.
Dietary fiber is regarded as beneficial due to its metabolic advantages. Given its low-calorie content and ability to promote satiety, dietary fiber aids in weight management. Moreover, dietary fiber can reduce blood triglycerides and improve glycemic control, which in turn may mitigate the risk of cardiovascular disease and type 2 diabetes [11, 12]. However, the potential benefits of dietary fiber on muscle health remain to be clarified. Therefore, this study aims to elucidate the relationship between dietary fiber intake and the risk of potential sarcopenia using data from representative Korean adults.
Data source and subjects
Data for this study were derived from the Korea National Health and Nutrition Examination Survey (KNHANES) VII (2016–2018). The KNHANES is a cross-sectional survey designed to obtain nationally representative estimates of the Korean population. It encompasses health examinations, health interviews, and nutrition surveys [13]. The data collection procedure for KNHANES VII was approved by the Institutional Review Board (IRB) of the Korea Centers for Disease Control and Prevention (IRB No. 2018-01-03-P-A). All participants provided informed consent. Analyses of the KNHANES VII data adhered to the Helsinki Declaration. The ethical review and approval for this study were waived by the IRB of Seoul Women’s University (IRB No. SWU IRB-2023A-02).
Of the 24,269 participants in the KNHANES VII, exclusions include children ≤ 18 years (n = 4,880), individuals missing dietary intake data (n = 2,535) or handgrip strength data (n = 1,455), and those with extreme energy intake (< 500 kcal/day or > 4,000 kcal/day; n = 555). Consequently, data from 14,844 participants were analyzed and categorized by sex and age to account for potential biological differences. The categories were as follows: men 19–64 years (n = 4,419), women 19–64 years (n = 6,464), men ≥ 65 years (n = 1,760), and women ≥ 65 years (n = 2,201).
General characteristics
Through health interviews, information on demographic details, socioeconomic status, personal behaviors, and medical conditions were gathered. Household income was classified into quartiles: low (Q1), middle-low (Q2), middle-high (Q3), and high (Q4). Individuals who consumed alcohol more than once a month in the preceding year were categorized as current alcohol consumers. Those who smoked over 100 cigarettes in their lifetime and continued smoking were labeled as current smokers. Regular resistance exercise was defined as engaging in strength exercises, such as push-ups, sit-ups, deadlifts, or chin-ups, more than twice a week. A medical condition was defined as the presence of type 2 diabetes, cancers, stroke, cardiovascular diseases, or osteoarthritis. These chronic diseases have been reported to influence protein intake and/or muscle loss [14].
During health examinations, measurements of body weight, height, and blood profiles were taken. The body mass index (BMI) was computed as weight in kg divided by the square of height in meters. Hypertension criteria included systolic blood pressure > 140 mmHg, diastolic blood pressure > 90 mmHg, or current use of blood pressure medication. Type 2 diabetes was identified based on fasting blood glucose levels > 126 mg/dL, usage of blood glucose medication, or insulin treatments.
Dietary intake and handgrip strength
Regarding dietary intake, trained dietitians collected a single 24-h dietary recall from the participants. The daily intake of total energy, individual foods, and nutrients were calculated using the KNHANES recipe and food composition database published by the Korean Rural Development Administration [15]. For dietary fiber intake, the processed data of nutrient intake provided by the KNHANES was utilized.
Handgrip strength was measured using the Digital Grip Strength Dynamometer (T.K.K 5401, Takei Scientific Instruments, Tokyo, Japan). Participants stood upright, with an extended elbow, and the value was expressed in kilograms. This study used the maximum value of three trials with the dominant hand. In line with the Asian Working Group for Sarcopenia 2019 consensus, handgrip strength < 28 kg for men and < 18 kg for women was classified as low handgrip strength [4].
Statistical analysis
General characteristics, divided by quartiles of dietary fiber intake, were described using means ± standard errors (SE) for continuous variables or by presenting numbers with percentages for categorical variables. Differences in overall characteristics among the quartiles were determined by one-way ANOVA for continuous variables or by Rao-Scott χ2 tests for categorical variables.
The relationship between dietary fiber intake and maximal handgrip strength was analyzed using multivariate linear regression models. The risks of low muscle strength based on the quartiles of dietary fiber intake were assessed using multivariate logistic regression models, with the highest quartile (Q4) set as the reference group. Both linear and logistic regression analyses incorporated four models: The unadjusted model generated crude beta coefficients (β) and SE or crude odds ratios (ORs) and 95% confidence intervals (CIs); Model 1 was adjusted for age, BMI, and total energy intake; Model 2 was additionally adjusted for household income, current alcohol consumption, smoking habits, regular resistance exercise, and medical conditions; and Model 3 included dietary protein intake.
All statistical analyses were conducted using SPSS software (Version 26, IBM, Armonk, NY, USA), based on the survey procedure [13]. A two-sided p value < 0.05 was considered statistically significant.
Approximately 30% of older adults aged ≥ 65 years exhibited low muscle strength, characterized as handgrip strength < 28 kg for men and < 18 kg for women [4]. In contrast, less than 5% of adults aged 19 to 64 years had low muscle strength (Table 1). A breakdown by age and sex revealed that older women aged ≥ 65 years had the highest prevalence of low muscle strength (35.5%), followed by older men aged ≥ 65 years (24.7%), younger women aged between 19 to 64 years (6.8%), and younger men aged 19 to 64 years (2.4%).
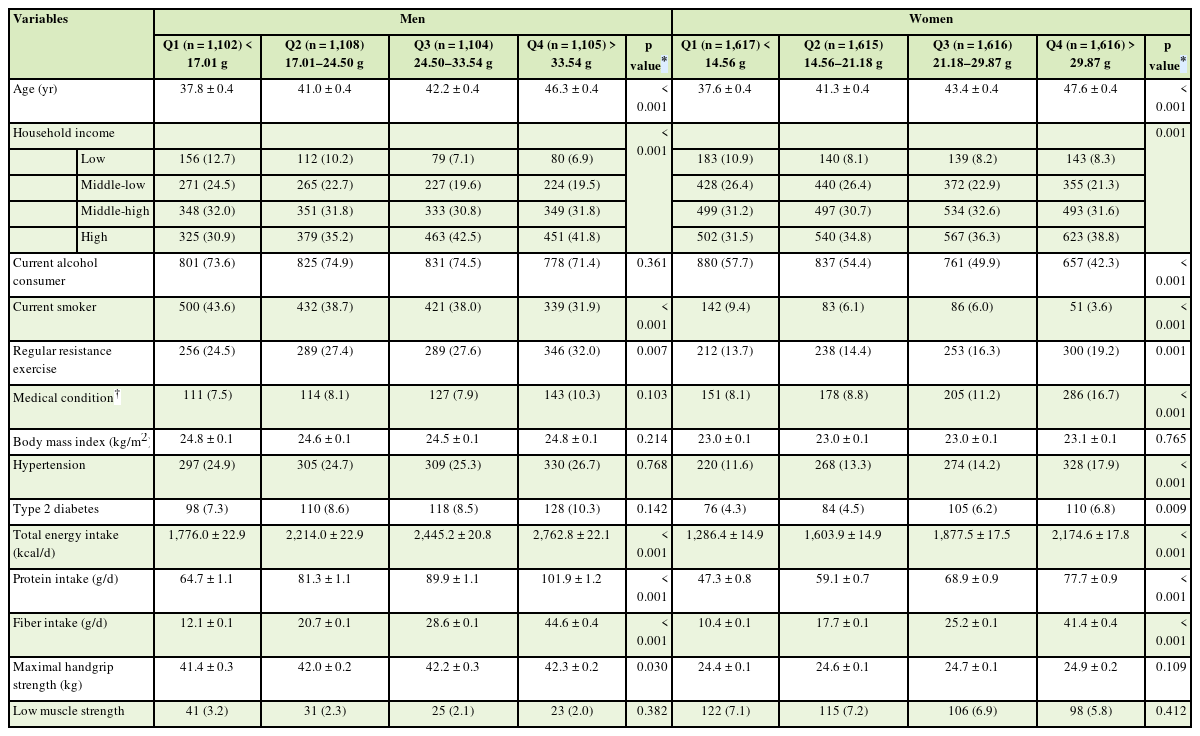
Table 1

General characteristics of the subjects aged 19–64 years according to dietary fiber intake

Table 1
Variables Men Women
Q1 (n = 1,102) < 17.01 g Q2 (n = 1,108) 17.01–24.50 g Q3 (n = 1,104) 24.50–33.54 g Q4 (n = 1,105) > 33.54 g p value* Q1 (n = 1,617) < 14.56 g Q2 (n = 1,615) 14.56–21.18 g Q3 (n = 1,616) 21.18–29.87 g Q4 (n = 1,616) > 29.87 g p value*
Age (yr) 37.8 ± 0.4 41.0 ± 0.4 42.2 ± 0.4 46.3 ± 0.4 < 0.001 37.6 ± 0.4 41.3 ± 0.4 43.4 ± 0.4 47.6 ± 0.4 < 0.001
Household income < 0.001 0.001
Low 156 (12.7) 112 (10.2) 79 (7.1) 80 (6.9) 183 (10.9) 140 (8.1) 139 (8.2) 143 (8.3)
Middle-low 271 (24.5) 265 (22.7) 227 (19.6) 224 (19.5) 428 (26.4) 440 (26.4) 372 (22.9) 355 (21.3)
Middle-high 348 (32.0) 351 (31.8) 333 (30.8) 349 (31.8) 499 (31.2) 497 (30.7) 534 (32.6) 493 (31.6)
High 325 (30.9) 379 (35.2) 463 (42.5) 451 (41.8) 502 (31.5) 540 (34.8) 567 (36.3) 623 (38.8)
Current alcohol consumer 801 (73.6) 825 (74.9) 831 (74.5) 778 (71.4) 0.361 880 (57.7) 837 (54.4) 761 (49.9) 657 (42.3) < 0.001
Current smoker 500 (43.6) 432 (38.7) 421 (38.0) 339 (31.9) < 0.001 142 (9.4) 83 (6.1) 86 (6.0) 51 (3.6) < 0.001
Regular resistance exercise 256 (24.5) 289 (27.4) 289 (27.6) 346 (32.0) 0.007 212 (13.7) 238 (14.4) 253 (16.3) 300 (19.2) 0.001
Medical condition 111 (7.5) 114 (8.1) 127 (7.9) 143 (10.3) 0.103 151 (8.1) 178 (8.8) 205 (11.2) 286 (16.7) < 0.001
Body mass index (kg/m2) 24.8 ± 0.1 24.6 ± 0.1 24.5 ± 0.1 24.8 ± 0.1 0.214 23.0 ± 0.1 23.0 ± 0.1 23.0 ± 0.1 23.1 ± 0.1 0.765
Hypertension 297 (24.9) 305 (24.7) 309 (25.3) 330 (26.7) 0.768 220 (11.6) 268 (13.3) 274 (14.2) 328 (17.9) < 0.001
Type 2 diabetes 98 (7.3) 110 (8.6) 118 (8.5) 128 (10.3) 0.142 76 (4.3) 84 (4.5) 105 (6.2) 110 (6.8) 0.009
Total energy intake (kcal/d) 1,776.0 ± 22.9 2,214.0 ± 22.9 2,445.2 ± 20.8 2,762.8 ± 22.1 < 0.001 1,286.4 ± 14.9 1,603.9 ± 14.9 1,877.5 ± 17.5 2,174.6 ± 17.8 < 0.001
Protein intake (g/d) 64.7 ± 1.1 81.3 ± 1.1 89.9 ± 1.1 101.9 ± 1.2 < 0.001 47.3 ± 0.8 59.1 ± 0.7 68.9 ± 0.9 77.7 ± 0.9 < 0.001
Fiber intake (g/d) 12.1 ± 0.1 20.7 ± 0.1 28.6 ± 0.1 44.6 ± 0.4 < 0.001 10.4 ± 0.1 17.7 ± 0.1 25.2 ± 0.1 41.4 ± 0.4 < 0.001
Maximal handgrip strength (kg) 41.4 ± 0.3 42.0 ± 0.2 42.2 ± 0.3 42.3 ± 0.2 0.030 24.4 ± 0.1 24.6 ± 0.1 24.7 ± 0.1 24.9 ± 0.2 0.109
Low muscle strength 41 (3.2) 31 (2.3) 25 (2.1) 23 (2.0) 0.382 122 (7.1) 115 (7.2) 106 (6.9) 98 (5.8) 0.412
Data are expressed as means ± standard error for continuous variables or number (%) for categorical variables.
*Differences were determined by ANOVA for continuous variables or Rao-Scott chi-square tests for categorical variables.
Any prevalence of type 2 diabetes, cancers, stroke, cardiovascular diseases, or osteoarthritis.
Approximately 43% of Korean adults met the adequate intake (AI) for dietary fiber. By age and sex, approximately 50% of both younger women aged 19 to 64 years (51.6%; AI = 20 g) and older men aged ≥ 65 years (51.6%; AI = 25 g), alongside older women aged ≥ 65 years (51.4%; AI = 20 g), consumed dietary fiber meeting or exceeding the AI; however, only 31% of young men aged 19 to 64 years (31.0%; AI = 30 g) met the requirement. Dietary fiber intake per 1,000 kcal was recorded at 11.6 g for younger men, 13.7 g for younger women, 14.7 g for older men, and 16.0 g for older women.
Tables 1 and 2 list the general characteristics of participants, segmented by age and sex, in alignment with the quartiles of dietary fiber intake. Younger adults aged 19 to 64 years who consume higher amounts of dietary fiber were found to be older, earn more, smoke less, and engage more frequently in regular resistance exercises. Despite a higher intake of total energy and protein, there was no significant difference in BMI. For young men aged 19 to 64, the percentages of current alcohol consumption, hypertension, and type 2 diabetes remained consistent across quartiles. However, younger women aged 19 to 64 years with greater fiber intakes showed a reduced likelihood to be current alcohol consumers and a higher propensity for hypertension and type 2 diabetes (Table 1).
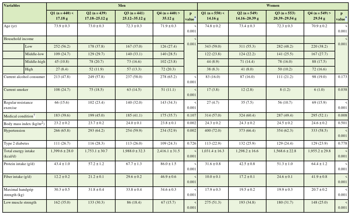
Table 2

General characteristics of the subjects aged ≥ 65 years according to dietary fiber intake

Table 2
Variables Men Women
Q1 (n = 440) < 17.18 g Q2 (n = 439) 17.18–25.12 g Q3 (n = 441) 25.12–35.12 g Q4 (n = 440) > 35.12 g p value* Q1 (n = 550) < 14.16 g Q2 (n = 549) 14.16–20.39 g Q3 (n = 553) 20.39–29.54 g Q4 (n = 549) > 29.54 g p value*
Age (yr) 73.9 ± 0.3 73.0 ± 0.3 72.3 ± 0.3 71.9 ± 0.3 < 0.001 74.8 ± 0.2 73.4 ± 0.3 72.3 ± 0.3 70.9 ± 0.2 < 0.001
Household income < 0.001 < 0.001
Low 252 (56.2) 178 (37.8) 167 (37.0) 126 (27.4) 343 (59.0) 311 (55.3) 282 (48.2) 220 (38.2)
Middle-low 109 (24.7) 129 (29.7) 140 (33.1) 140 (28.5) 122 (23.8) 124 (22.2) 141 (25.5) 167 (27.7)
Middle-high 45 (10.8) 78 (20.7) 73 (16.6) 102 (23.8) 44 (8.9) 71 (14.4) 78 (16.0) 88 (17.5)
High 27 (8.4) 52 (11.9) 57 (13.3) 72 (20.3) 38 (8.3) 41 (8.0) 50 (10.2) 72 (16.6)
Current alcohol consumer 213 (47.8) 249 (57.8) 237 (58.0) 278 (65.2) < 0.001 83 (16.0) 87 (16.0) 111 (21.2) 98 (19.0) 0.173
Current smoker 108 (24.7) 75 (18.5) 63 (14.5) 51 (11.1) < 0.001 17 (3.8) 12 (2.8) 8 (1.2) 6 (1.0) 0.038
Regular resistance exercise 66 (15.6) 102 (23.4) 140 (32.0) 143 (34.3) < 0.001 27 (4.7) 35 (7.5) 56 (10.7) 69 (15.9) < 0.001
Medical condition 183 (39.6) 199 (45.0) 185 (41.1) 175 (35.7) 0.107 314 (57.0) 324 (60.4) 287 (49.4) 295 (52.1) 0.008
Body mass index (kg/m2) 23.2 ± 0.2 23.7 ± 0.2 24.0 ± 0.1 23.8 ± 0.1 0.002 24.3 ± 0.2 24.3 ± 0.2 24.5 ± 0.2 24.6 ± 0.2 0.501
Hypertension 266 (65.8) 293 (64.2) 254 (59.9) 234 (52.9) 0.002 400 (72.0) 373 (66.4) 354 (62.3) 333 (58.5) < 0.001
Type 2 diabetes 111 (26.7) 116 (28.3) 113 (26.0) 109 (24.3) 0.726 113 (22.9) 132 (25.9) 129 (24.4) 129 (23.9) 0.778
Total energy intake (kcal/d) 1,399.6 ± 28.0 1,753.1 ± 30.7 1,988.0 ± 32.3 2,416.1 ± 31.5 < 0.001 1,031.4 ± 16.3 1,298.2 ± 16.6 1,568.6 ± 22.8 1,955.2 ± 29.8 < 0.001
Protein intake (g/d) 43.4 ± 1.0 57.2 ± 1.2 67.7 ± 1.3 86.0 ± 1.5 < 0.001 31.6 ± 0.8 42.5 ± 0.8 51.3 ± 1.0 64.4 ± 1.2 < 0.001
Fiber intake (g/d) 12.2 ± 0.2 21.2 ± 0.1 29.6 ± 0.2 46.9 ± 0.6 < 0.001 10.0 ± 0.1 17.2 ± 0.1 24.6 ± 0.1 41.9 ± 0.8 < 0.001
Maximal handgrip strength (kg) 30.3 ± 0.5 31.8 ± 0.4 33.8 ± 0.4 34.6 ± 0.3 < 0.001 17.9 ± 0.3 19.5 ± 0.2 19.9 ± 0.3 20.7 ± 0.2 < 0.001
Low muscle strength 162 (35.0) 133 (30.3) 86 (18.4) 67 (15.7) < 0.001 275 (51.3) 193 (34.8) 180 (31.7) 148 (25.0) < 0.001
Data are expressed as means ± standard error for continuous variables or number (%) for categorical variables.
*Differences were determined by ANOVA for continuous variables or Rao-Scott chi-square tests for categorical variables.
Any prevalence of type 2 diabetes, cancers, stroke, cardiovascular diseases, or osteoarthritis.
Older adults aged ≥ 65 years, who consumed more dietary fiber, tended to be younger, have higher household income, smoke less, and participate more in regular resistance exercises. This group had a lower probability of hypertension but consumed more total energy and protein. For older women aged ≥ 65 years, the percentage of current alcohol consumers remained consistent across quartiles, whereas older men aged ≥ 65 years with increased fiber intakes were more likely to be current alcohol consumers (Table 2).
Table 3 examines the relationships between continuous dietary fiber intake and maximal handgrip strength by age and sex. No correlation was observed in younger men aged 19 to 64 years, but the two variables were positively correlated after adjustment for possible confounding variables in younger women aged 19 to 64 years (β = 0.015; SE = 0.006; p = 0.007) and older men aged ≥ 65 years (β = 0.035; SE = 0.014; p = 0.011). Among older women aged ≥ 65 years, a significant correlation existed when adjustments were made solely for age, BMI, and total energy intake (β = 0.0020; SE = 0.010; p = 0.047).
Table 3

Association between dietary fiber intake and maximal handgrip strength by age and sex

Table 3
Fiber intake Unadjusted Model 1* Model 2 Model 3
β (SE) p value β (SE) p value β (SE) p value β (SE) p value
19–64 years
Men 0.024 (0.009) 0.007 0.009 (0.010) 0.364 0.009 (0.010) 0.377 0.007 (0.010) 0.464
Women 0.009 (0.005) 0.050 0.016 (0.006) 0.006 0.015 (0.006) 0.008 0.015 (0.006) 0.007
≥ 65 years
Men 0.108 (0.014) < 0.001 0.051 (0.013) < 0.001 0.036 (0.013) 0.008 0.035 (0.014) 0.011
Women 0.064 (0.009) < 0.001 0.020 (0.010) 0.047 0.018 (0.010) 0.082 0.018 (0.010) 0.079
Tested by logistic regression analyses.
β, beta coefficients; SE, standard error.
*Adjusted for age, body mass index, and total energy intake.
Model 1 plus household income, alcohol consumption, smoking, resistance exercise, and medical condition.
Model 2 plus protein intake.
When dietary fiber intake was classified into quartiles, associations between dietary fiber intake and low muscle strength varied by age and sex groups (Table 4). Older women aged ≥ 65 years in the lowest quartile of dietary fiber intake displayed notably increased odds of low muscle strength compared to their counterparts in the highest quartile after adjusting confounding variables (OR, 1.709; 95% CI, 1.130–2.585). Such associations were not observed among younger men, younger women, and older men.
Table 4

Risks of low muscle strength according to quartiles of dietary fiber intake by age and sex

Table 4
Fiber intake Unadjusted Model 1* Model 2 Model 3
OR (95% CI) OR (95% CI) OR (95% CI) OR (95% CI)
19–64 years
Male
Q1 1.597 (0.873–2.922) 0.825 (0.430–1.585) 0.745 (0.369–1.502) 0.712 (0.360–1.408)
Q2 1.154 (0.607–2.193) 0.772 (0.396–1.504) 0.722 (0.371–1.406) 0.713 (0.368–1.379)
Q3 1.051 (0.533–2.071) 0.831 (0.423–1.632) 0.821 (0.410–1.643) 0.804 (0.405–1.598)
Q4 1 (ref) 1 (ref) 1 (ref) 1 (ref)
Female
Q1 1.249 (0.916–1.703) 1.316 (0.887–1.953) 1.298 (0.870–1.938) 1.298 (0.869–1.939)
Q2 1.274 (0.910–1.784) 1.308 (0.898–1.907) 1.320 (0.905–1.924) 1.323 (0.907–1.931)
Q3 1.217 (0.881–1.680) 1.243 (0.897–1.724) 1.253 (0.898–1.749) 1.258 (0.902–1.755)
Q4 1 (ref) 1 (ref) 1 (ref) 1 (ref)
≥ 65 years
Male
Q1 2.887 (1.953–4.267) 1.488 (0.910–2.432) 1.257 (0.762–2.073) 1.278 (0.761–2.145)
Q2 2.326 (1.568–3.453) 1.683 (1.049–2.699) 1.448 (0.906–2.316) 1.468 (0.905–2.381)
Q3 1.213 (0.814–1.808) 1.043 (0.638–1.705) 1.026 (0.618–1.702) 1.036 (0.617–1.738)
Q4 1 (ref) 1 (ref) 1 (ref) 1 (ref)
Female
Q1 3.149 (2.344–4.230) 1.788 (1.192–2.653) 1.754 (1.159–2.654) 1.709 (1.130–2.585)
Q2 1.596 (1.180–2.160) 1.036 (0.725–1.479) 0.983 (0.681–1.419) 0.979 (0.677–1.414)
Q3 1.388 (1.041–1.852) 1.082 (0.788–1.485) 1.049 (0.760–1.449) 1.048 (0.759–1.449)
Q4 1 (ref) 1 (ref) 1 (ref) 1 (ref)
Tested by logistic regression analyses with the highest quartile (Q4) set as the reference group.
OR, odds ratio; CI, confidence interval.
*Adjusted for age, body mass index, and total energy intake.
Model 1 plus household income, alcohol consumption, smoking, resistance exercise, and medical condition.
Model 2 plus protein intake.
This study used data from the KHANES 2016–2018 to explore the relationship between dietary fiber intake and the potential risk of sarcopenia. When viewing dietary fiber intake as a continuous variable, a positive correlation with maximal handgrip strength was significant for younger women aged 19 to 64 years, older men aged ≥ 65 years, and older women aged ≥ 65 years. As a categorical variable, dietary fiber intake was associated with low muscle strength only in older women, and precisely older women in the lowest quartile of dietary fiber consumption faced a risk 1.709 times greater for low muscle strength compared to those in the highest quartile.
The prevalence of low muscle strength was higher in older adults ≥ 65 years compared to younger adults aged 19 to 64 years. This may be explained by that handgrip strength, an indicator of muscle strength, begins to decrease in early 40s in Koreans [16, 17]. Aging is reported to induce changes in muscle types and structures, leading to impairment of muscle quality and physical performance [18]. Among older adults ≥ 65 years, older women were shown to be more susceptible to possible sarcopenia than older men. This could be due to the low estrogen level in older women after menopause, which promotes the accumulation of visceral adipose tissue and the decline of muscle mass and bone mineral density [19].
Studies focusing on older adults from Europe and the US have reported findings in tandem with ours [20, 21]. In older European adults, those with dietary fiber intake above the median had a higher skeletal muscle mass index (SMI) [20]. A study of older US adults found a positive relationship between dietary fiber intake and multiple muscle quality parameters, including muscle strength, SMI, and gait speed. Moreover, increased dietary fiber intake was associated with a diminished sarcopenia risk [21].
Both our data and that of other studies suggest that dietary fiber could have a positive effect on muscle health. Fiber-rich foods, such as fruits, vegetables, and whole grains, are typically considered as healthy dietary components preventing metabolic disorders including sarcopenia. Obesity is closely related to the decline of muscle mass and strength [22], and fibers reduce the risk of obesity by promoting satiety and by reducing dietary lipid digestion and absorption [12]. Also, pro-inflammatory cytokines and accumulation of reactive oxygen species contribute to the decline of muscle mass and strength, and phytochemicals, rich in fruits and vegetables, are very well-known to exert anti-oxidative and anti-inflammatory effects [23].
In addition, the potential benefit of dietary fiber is partially attributed to the metabolic production of short-chain fatty acids (SCFAs). SCFAs include acetate, propionate, and butyrate, are produced by the anaerobic fermentation of dietary fiber, and are readily absorbed and utilized by various tissues [24]. SCFAs are believed to be vital for maintaining muscle mass and function by promoting nitrogen retention [25] and by shifting the fuel utilization in skeletal muscle from glycolysis towards fatty acid oxidation [26]. Previous studies have shown that butyrate supplementation can prevent muscle loss in obese or aged mice [27, 28]. Additionally, supplementation or infusion with SCFAs has been found to restore endurance performance and muscle strength in mice lacking gut microbiota [29, 30].
SCFAs may also prevent sarcopenia through their anti-inflammatory properties. Inflammation is a primary factor that can lead to muscle deterioration and sarcopenia [31]. SCFAs have been recognized for their ability to suppress the production of pro-inflammatory cytokines, chemokines, and eicosanoids, and in turn, reduce the recruitment of macrophages and neutrophils [32]. In human subjects, higher dietary fiber intake was associated with reduced levels of C-reactive protein, a well-known inflammation marker [33, 34].
This study benefits from analyzing nationally representative data with a significant sample size. However, there are limitations to consider. Given that KNHANES employs a cross-sectional design, any cause-and-effect relationship cannot be determined. Also, it was not possible to formally diagnose sarcopenia or determine the correlation between lean body mass and dietary fiber intake because the KNHANES VII did not collect data on muscle mass and physical performance. Moreover, the type of dietary fibers was not considered in this study although soluble and insoluble fibers have different physicochemical properties. Lastly, the use of a single 24-h dietary recall might not adequately reflect typical dietary habits. However, handgrip strength remains a widely used practical indicator for gauging muscle quality [35], and the data from a single 24-h recall differed slightly from that of multiple-day recalls in the KNHANES IV [36].
In summary, the current study has found a positive correlation between dietary fiber intake and handgrip strength and an inverse relationship with the risk of reduced muscle strength. These findings imply that adequate consumption of dietary fiber might aid in preserving muscle strength and potentially reduce the risk of sarcopenia in late adulthood. However, to fully understand the effects of dietary fiber on muscle health and the underlying mechanisms, longitudinal or interventional studies are warranted.
Seoul Women’s Universityhttps://doi.org/10.13039/501100002555 2023-0056

Funding: This work was supported by a research grant from Seoul Women’s University (2023-0056).

Conflict of Interest: The author declares that they have no competing interests.

  • 1. Casati M, Costa AS, Capitanio D, Ponzoni L, Ferri E, Agostini S, Lori E. The biological foundations of sarcopenia: established and promising markers. Front Med (Lausanne) 2019;6:184.
  • 2. Kim J, Lee JY, Kim CY. A comprehensive review of pathological mechanisms and natural dietary ingredients for the management and prevention of sarcopenia. Nutrients 2023;15:2625.
  • 3. Meyer F, Valentini L. Disease-related malnutrition and sarcopenia as determinants of clinical outcome. Visc Med 2019;35:282-291.
  • 4. Chen LK, Woo J, Assantachai P, Auyeung TW, Chou MY, Iijima K, Jang HC, Kang L, Kim M, Kim S, Kojima T, Kuzuya M, Lee JS, Lee SY, Lee WJ, Lee Y, Liang CK, Lim JY, Lim WS, Peng LN, Sugimoto K, Tanaka T, Won CW, Yamada M, Zhang T, Akishita M, Arai H. Asian working group for sarcopenia: 2019 consensus update on sarcopenia diagnosis and treatment. J Am Med Dir Assoc 2020;21:300-307.e2.
  • 5. Jang BY, Bu SY. Total energy intake according to the level of skeletal muscle mass in Korean adults aged 30 years and older: an analysis of the Korean National Health and Nutrition Examination Surveys (KNHANES) 2008-2011. Nutr Res Pract 2018;12:222-232.
  • 6. Okamura T, Miki A, Hashimoto Y, Kaji A, Sakai R, Osaka T, Hamaguchi M, Yamazaki M, Fukui M. Shortage of energy intake rather than protein intake is associated with sarcopenia in elderly patients with type 2 diabetes: a cross-sectional study of the KAMOGAWA-DM cohort. J Diabetes 2019;11:477-483.
  • 7. Jun S, Cowan AE, Dwyer JT, Campbell WW, Thalacker-Mercer AE, Gahche JJ, Bailey RL. Dietary protein intake is positively associated with appendicular lean mass and handgrip strength among middle-aged US adults. J Nutr 2021;151:3755-3763.
  • 8. Paddon-Jones D, Short KR, Campbell WW, Volpi E, Wolfe RR. Role of dietary protein in the sarcopenia of aging. Am J Clin Nutr 2008;87:1562S-6S.
  • 9. Shin Y, Chang E. Increased intake of omega-3 polyunsaturated fatty acids is associated with reduced odds of low hand grip strength in Korean adults. Nutrients 2023;15:321.
  • 10. Kim NH, Kim CY. Association of micronutrients and handgrip strength in Korean older population: a cross-sectional study. Healthcare (Basel) 2022;10:1980.
  • 11. Veronese N, Solmi M, Caruso MG, Giannelli G, Osella AR, Evangelou E, Maggi S, Fontana L, Stubbs B, Tzoulaki I. Dietary fiber and health outcomes: an umbrella review of systematic reviews and meta-analyses. Am J Clin Nutr 2018;107:436-444.
  • 12. Lee DP, Peng A, Taniasuri F, Tan D, Kim JE. Impact of fiber-fortified food consumption on anthropometric measurements and cardiometabolic outcomes: a systematic review, meta-analyses, and meta-regressions of randomized controlled trials. Crit Rev Food Sci Nutr 2022;1-19.
  • 13. Kweon S, Kim Y, Jang MJ, Kim Y, Kim K, Choi S, Chun C, Khang YH, Oh K. Data resource profile: the Korea National Health and Nutrition Examination Survey (KNHANES). Int J Epidemiol 2014;43:69-77.
  • 14. Jang W, Ryu HK. Association of low hand grip strength with protein intake in Korean female elderly: Based on the Seventh Korea National Health and Nutrition Examination Survey (KNHANES VII), 2016-2018. Korean J Community Nutr 2020;25:226-235.
  • 15. Sciences RDANIoA. Korean Food Composition Database 2021;9:3.
  • 16. Shim J, Yoo HJ. Effects of handgrip strength on 10-year cardiovascular risk among the Korean middle-aged population: the Korea National Health and Nutrition Examination Survey 2014. Healthcare (Basel) 2020;8:458.
  • 17. Ahn H, Choi HY, Ki M. Association between levels of physical activity and low handgrip strength: Korea National Health and Nutrition Examination Survey 2014-2019. Epidemiol Health 2022;44:e2022027.
  • 18. Valenzuela PL, Maffiuletti NA, Tringali G, De Col A, Sartorio A. Obesity-associated poor muscle quality: prevalence and association with age, sex, and body mass index. BMC Musculoskelet Disord 2020;21:200.
  • 19. Messier V, Rabasa-Lhoret R, Barbat-Artigas S, Elisha B, Karelis AD, Aubertin-Leheudre M. Menopause and sarcopenia: a potential role for sex hormones. Maturitas 2011;68:331-336.
  • 20. Montiel-Rojas D, Nilsson A, Santoro A, Franceschi C, Bazzocchi A, Battista G, de Groot LC, Feskens EJ, Berendsen A, Pietruszka B, Januszko O, Fairweather-Tait S, Jennings A, Nicoletti C, Kadi F. Dietary fibre may mitigate sarcopenia risk: findings from the NU-AGE cohort of older european adults. Nutrients 2020;12:1075.
  • 21. Kao CC, Yang ZY, Chen WL. The association between dietary fiber intake and sarcopenia. J Funct Foods 2023;102:105437.
  • 22. Perälä MM, von Bonsdorff MB, Männistö S, Salonen MK, Simonen M, Kanerva N, Rantanen T, Pohjolainen P, Eriksson JG. The healthy Nordic diet predicts muscle strength 10 years later in old women, but not old men. Age Ageing 2017;46:588-594.
  • 23. Bloom I, Shand C, Cooper C, Robinson S, Baird J. Diet quality and sarcopenia in older adults: a systematic review. Nutrients 2018;10:308.
  • 24. Vinolo MA, Rodrigues HG, Nachbar RT, Curi R. Regulation of inflammation by short chain fatty acids. Nutrients 2011;3:858-876.
  • 25. Jørgensen H, Larsen T, Zhao XQ, Eggum BO. The energy value of short-chain fatty acids infused into the caecum of pigs. Br J Nutr 1997;77:745-756.
  • 26. Frampton J, Murphy KG, Frost G, Chambers ES. Short-chain fatty acids as potential regulators of skeletal muscle metabolism and function. Nat Metab 2020;2:840-848.
  • 27. Gao Z, Yin J, Zhang J, Ward RE, Martin RJ, Lefevre M, Cefalu WT, Ye J. Butyrate improves insulin sensitivity and increases energy expenditure in mice. Diabetes 2009;58:1509-1517.
  • 28. Walsh ME, Bhattacharya A, Sataranatarajan K, Qaisar R, Sloane L, Rahman MM, Kinter M, Van Remmen H. The histone deacetylase inhibitor butyrate improves metabolism and reduces muscle atrophy during aging. Aging Cell 2015;14:957-970.
  • 29. Okamoto T, Morino K, Ugi S, Nakagawa F, Lemecha M, Ida S, Ohashi N, Sato D, Fujita Y, Maegawa H. Microbiome potentiates endurance exercise through intestinal acetate production. Am J Physiol Endocrinol Metab 2019;316:E956-E966.
  • 30. Lahiri S, Kim H, Garcia-Perez I, Reza MM, Martin KA, Kundu P, Cox LM, Selkrig J, Posma JM, Zhang H, Padmanabhan P, Moret C, Gulyás B, Blaser MJ, Auwerx J, Holmes E, Nicholson J, Wahli W, Pettersson S. The gut microbiota influences skeletal muscle mass and function in mice. Sci Transl Med 2019;11:eaan5662.
  • 31. Bano G, Trevisan C, Carraro S, Solmi M, Luchini C, Stubbs B, Manzato E, Sergi G, Veronese N. Inflammation and sarcopenia: a systematic review and meta-analysis. Maturitas 2017;96:10-15.
  • 32. Li M, van Esch BC, Wagenaar GT, Garssen J, Folkerts G, Henricks PA. Pro- and anti-inflammatory effects of short chain fatty acids on immune and endothelial cells. Eur J Pharmacol 2018;831:52-59.
  • 33. King DE, Egan BM, Geesey ME. Relation of dietary fat and fiber to elevation of C-reactive protein. Am J Cardiol 2003;92:1335-1339.
  • 34. Ma Y, Griffith JA, Chasan-Taber L, Olendzki BC, Jackson E, Stanek EJ 3rd, Li W, Pagoto SL, Hafner AR, Ockene IS. Association between dietary fiber and serum C-reactive protein. Am J Clin Nutr 2006;83:760-766.
  • 35. Tatangelo T, Muollo V, Ghiotto L, Schena F, Rossi AP. Exploring the association between handgrip, lower limb muscle strength, and physical function in older adults: a narrative review. Exp Gerontol 2022;167:111902.
  • 36. Korea Health Industry Development Institute. National food & nutrition statistics: based on 2009 Korea National Health and Nutrition Examination Survey. Cheongju: Korea Health Industry Development Institute; 2011.

Download Citation

Download a citation file in RIS format that can be imported by all major citation management software, including EndNote, ProCite, RefWorks, and Reference Manager.

Format:

Include:

Association Between Dietary Fiber Intake and Low Muscle Strength Among Korean Adults
Clin Nutr Res. 2024;13(1):33-41.   Published online January 31, 2024
Download Citation

Download a citation file in RIS format that can be imported by all major citation management software, including EndNote, ProCite, RefWorks, and Reference Manager.

Format:
Include:
Association Between Dietary Fiber Intake and Low Muscle Strength Among Korean Adults
Clin Nutr Res. 2024;13(1):33-41.   Published online January 31, 2024
Close
Association Between Dietary Fiber Intake and Low Muscle Strength Among Korean Adults
Association Between Dietary Fiber Intake and Low Muscle Strength Among Korean Adults
Table 1 General characteristics of the subjects aged 19–64 years according to dietary fiber intake

Data are expressed as means ± standard error for continuous variables or number (%) for categorical variables.

*Differences were determined by ANOVA for continuous variables or Rao-Scott chi-square tests for categorical variables.

Any prevalence of type 2 diabetes, cancers, stroke, cardiovascular diseases, or osteoarthritis.

Table 2 General characteristics of the subjects aged ≥ 65 years according to dietary fiber intake

Data are expressed as means ± standard error for continuous variables or number (%) for categorical variables.

*Differences were determined by ANOVA for continuous variables or Rao-Scott chi-square tests for categorical variables.

Any prevalence of type 2 diabetes, cancers, stroke, cardiovascular diseases, or osteoarthritis.

Table 3 Association between dietary fiber intake and maximal handgrip strength by age and sex

Tested by logistic regression analyses.

β, beta coefficients; SE, standard error.

*Adjusted for age, body mass index, and total energy intake.

Model 1 plus household income, alcohol consumption, smoking, resistance exercise, and medical condition.

Model 2 plus protein intake.

Table 4 Risks of low muscle strength according to quartiles of dietary fiber intake by age and sex

Tested by logistic regression analyses with the highest quartile (Q4) set as the reference group.

OR, odds ratio; CI, confidence interval.

*Adjusted for age, body mass index, and total energy intake.

Model 1 plus household income, alcohol consumption, smoking, resistance exercise, and medical condition.

Model 2 plus protein intake.