Skip to main navigation Skip to main content
  • KSCN
  • E-Submission

CNR : Clinical Nutrition Research

OPEN ACCESS
ABOUT
BROWSE ARTICLES
EDITORIAL POLICIES
FOR CONTRIBUTORS

Articles

Original Article

Comparison of Health Status and Nutrient Intake between Depressed Women and Non-depressed Women: Based on the 2013 Korea National Health and Nutrition Examination Survey

Clinical Nutrition Research 2016;5(2):112-125.
Published online: April 30, 2016

1Department of Clinical Nutrition, Dongduk Women's University, Seoul 02748, Korea.

2Department of Food and Nutrition, Dongduk Women's University, Seoul 02748, Korea.JFIFddDuckydqhttp://ns.adobe.com/xap/1.0/ Adobed     ! 1AQa"q 2#w8B36v7XRr$9bCt%u&Ws'(xy4T5fH  !1AQaq"2B Rbr#u67Ѳ3sTt5v8Sc$4ĂCÔ%UӅFV ?_Aנj- H>>,m*>fzp"TrKkr^r.|_&]|*vPuܶvoQ1mwVJUhu-I"=LniAƕ8"۲ k*ҿ[yu:.vUQ+)%F DHyVBk>Hy8jݹ q~9D4KRmzQ)^ʔ.J%k_tVi5NTjg!'ky|5asOȻ)R۸ߩFMԿ3L4j6dڜ#NIwUF]JqB/(FafJRzq3\G՛ ?~\ 6)6W4m[O^L0E&rRMض*C .]Unl-1 1r#Rj/&QɈ׉˩s6Rj=5Tg.y.·Pӡ:JJS:C8-2u]d&vUz;7p9 5VnL֢"y)">iי(IDDd| Yj0; LRfS:ktYK%*N2^m|&dğth":ey)uPQZW)gcC3Pv&MMWd&Ŵ۲mvTRoժM03*F3Yd6\8,\hݻ kߔi<k NTwSԪmljj[>->ptU%'LR>&EBH$MQAUx[$Z6vi&_a.KIQ{hyƒ j"JOC9eFҝfj;˚Ω<[3_m% lQ@4g=5$(J]Yc-OMq<Ǎ wSzڗ)k$7VIP붾ͯnV+卵*t]iЎD31~SA1éC2u)ʼnQn-Uoi3:grI8ؓWm*G zܕ)ZקJ}Y YlGeJ6cB2I NS3Q>k=KTBT]W6+SOXQgGR? telˊ%-Re\hѯ2TF"C/OJΩ6r[N.0{SpljjX1“jOsӥ;ҭhe}xu`Ք&.)yO̒ Fߑ.$Qw;9Iw2o+RVJMSOj[SoҌZ%;`d$blQ{Ro{Imڌ>3egf\O֝Uzx"䢸g+mv%Gʆ:|V[N'&ס-ޝ'kfE|K,G&˳98Juin/\\Qݿ̋v~Ǩ!rtWU d|E߫R4d}.qPw*Ӭv5YEcn~f5c%MTMkb-F>5JT,})QHg%{("ӔȸWMsYyWNRrkkJr0XドnͫT}r-jj,Ŕʍ\Q2Ri>v$5!]"JB2WɅ)]VԜUc8i|.jeRO6^V.¸ Q&#|ܶ-*uOG%JAtRZRr]FFG\۩w+?'zչSѧt jz>KW&ot{7P&2D;&\\>Q2JzܗAKSfeNn[jRrԕf6,q,F1tRfԗ>vֶևj-&R'Zi2=xv~Elbsvm8=ӛ"ū񕜈BȩlWau[]ٷBߨF~J!|Ipr3R̴#Yp)={7:G{+:\W}n|Q#%)7^-h"Ƒq:M*%J&$T軨I333׎g_- ucBwwjp[6i25$̏bU’ٱRv?G\~#Iͪb7<<}Ezt" q_Inw,7-d,G÷%T* Wg1"䥱kq/A.,_KhqŒxwvo u2ۥۧ.bQ}XκA$֣ +K״ZUNmڸII{.v{5z5ѮRme[moyƾd~cRݾK'j.\i&/S6f|b=5: p!6i_ 4j6=.si˧eƾtS^c.Y^RJVS-Vi3,esi08?H$GvZgg?gi䤟2adw릿:"۪lkSN>q-4kI܋ێe̊qۅgDoѨ9; #T.Q;7#~_Ufstb_'w~Xw1Xk,vcOt._}v}8"(4Z\ۘgk?J?bm_c!g{HZV]Fkk%~gEt)b秴vΰB|꽸}mp~E6ݹv;7P٤v+ri*3Ԣ|'O14_~7nP{7ZU\Vű[ +7󖱅o#:ǥŬ\|3r%TJX]V7ez¨Y]lc|O3V! R zbJ'PnGqVJ"19WVeOF埜EaEJωqCN5Z g-9[S<$sUK5b|7sn\7x qmv##FF\ w[=-43$^ooVSiXօv7iB۴yg>]Vf"r$J3""32!Zh[K%7GvNLs+4nB/B{vlsobJaҺJR:0g%&zR\ S3T[&ִor*ⷳc3ʊO[iozW٨%$gn:ܶWwFBԹjHP&z u&F2\f;ipW73 [; '_̽b;vib!oec dC-tS__$Xs]l9&z$2/N>%'[}b{h/{`{Ji׉׏ YJB/X%}.|+{(S:qz]4_Kѵo`^tY_4S#* ^zvݾMr+TrkQ g.8Ͽ^i>ӈǙvix>$o( ^qt*&t1oJVu-ql5U6jCЉmĻ*"?JT=K'O/|=Vo}l0b}}f?X[?/\JSBe,kP8ETJ==?.p5ފgbU9}ǶdNKk—_$8̸͓ۍ8Di\BԿ-1v{FF]|.^ۅ{vl12׏z7-R7wE?\nh\jN/Kձr_oBw"N QMBZqe-m:ӨSn6j4%!hQ;sv'm4kcM=!8\m[M4{SMliۇ%eֽR&N:{2A8)THLK3Zj[jPBx#BگMf:G1\`edcʮ?|w(-̮vXt,bW2;.ιNHRR#YwTM"<;mk\.foIDjmlJ;vxy7o7i\,KQŊ9d^Mmgc L*.T6tLeIuOH3SJQ3=F/ʿ<9\JM6mN6=<{xkP!F1QR[I$6ُimXu2An2yԒMU q f[IB-'䤯jYm52&JG\zд\~vdg QtHGXw&1Lw+nDEdC1w|YJmvP)HZ>i0BPβә?R:QO["]I_Jʏۍ>QKyu^bycBq4lXF~l [\*N>-J6,Gq(Zr5h]CwYӤU~ʶߑ u*SIv%ZfJ7)! FS*s_\|IŸZ)J ]ܜi4"z[+Z,MOZ))}|Ʀ(RUNIII.S'ˍO~˨rn}M)xxӕ0 eyҵ7YMAB]ӣU:/ѭ*6bcwP͵ "+qēVjŹO|GtY4V j[mLV M -m>",B$ GD1~j6O4|LxnNmqATNR3ε|DŽa[fmn-ڭ+FiK7Pcm;r5 l8r{#-]'nrFh2ruycb;pW=njRqRJ(d mnpckNnʹ+6]tz~E=ʕ l ZZ5jSi3#47.Lcfe`9؏v囜.F\-UZ:*0_<Νu9Lӵm&)_3\^ҹ3"1n1v_|uRʞͫr'iȧN_kH׺8xXrj=\МH)V\ˬ.Xʸ oVRC}ySU9/OBY먌5 ٿwޞ)rw8Ӫi5*5ZΗcGƱ !ZۄlmpjJ -l <R̵/JAպZuq\IdUS 48wXJJtcg4cI~aqߓwŷrm-v)G7yS^7H^-\mŌAq|"m9IBnF㏉9[N+mmy/!KKۉ%n +BdddfFF6FQRN-U5;Sv'm4kcM=Mn)\qιqUd9F%",6MGdT%-+~ f%+y֛^3SrF>6lc(֪vۊN;g._0Sѧ]ETWرkQKzGe9ʨsKA"yC y2\[5 rԭ7Gk5Mzw_4sM3hxЊ'oÍ5jsub )ͪ~tR2H]R͍>̋m6=%(˿(Wrr-܅y5(ܔJ޺YunW̹븹NsqK ]/QR#"ZMDfD|43Qw|._ԡSqTZBg??O Ϥ)/E_U|i}2 9Z?¹0:x'3,whǣ?C y-A~=daJј&M?D1_PS+Oi&;a @;Dž7[ zZC"bv:jjMQk$M RԸ3uA\=wI.AwC"^.{?-\NSiˏ"b}T/}q/ o.1M}R%:-ZniʒL$SgrBW*,Mw'N\ɇ{s\j]VryG'8f`}'N<*/`U숻z CwHq18J+vԕKss4R53/&XTt1bZƟo\=%nO)h$rBi-nKĪ^ ջڜlwkYm[̑+/QrZo%TQ;TLs($2C:s.%+eoNttq۰kK7O0m_t_pZ1SsSM7"mevFZ[w -FJ*T*jФQRg BSu|]g:ɵzjqwmltL.e3sRMچkSmjkmWœިm++¦'tILk*բQ D,PB\lI[9{%Gb R6öۍmX-MaʉA931cs..G4CujQտ[9 }G-xwl)IQz j Ó"rqe&=]꾧֎c)<kӳ+0JrRR3'TnXi^xMF Bު*tIL.[h"2"nKzZe'ZV/RrNYz]8죝n]Ķܩ>^Ժ]u-7^\mZjܣ9+Rmn ߑv?oꋘ?&ƪy^N4o=3-ؔ̿*`}V݁ ƒPu8%$ ݗ]wt;\y\>='OjPIp/nJU8{϶FNMsf"ίNqƹ(+ ݮF2Km |jܴZs%zf*eȫ?]4)I۵nR&FX + [jDh(#哑9q9Eծj8noǕZf\J-l&Z˫}`ӎhyrΉn\űn]9pʌӣ"׮Wt?N4_I_~54#/my1Xr*척aS#DT >q ssΛW;3oUaJSRMDgQnt:Ql,/ ܷfRqiM Ȼ>Cob;A>ڦWقM9X~/!'MW.}Vrߔꔵ!5|iB(0-zF=}okڢE$^wW~nokY߮\6՜̌{i-AF*9)\t9IV6۸5ZUF6R$ŨQIq砳YUZ]eyv >hI櫥N )&l JulwE1GDOuFN2| }馥uC1rޫV+^gdb&W[4<^e4YW,d|htͮsUM)۸8:{3d{AѢ)~ \#J=NdƮꮓ90 |1K$v*?мS ]i$J,C,SG?/_՜pMSƯM|mG1V1$~K>CSvkuj=&) -,yLjuFHK{c駗.SOua;BrSqj-ۍZ#'Jys7[g2z/.u4+XV2VQ.ޕ)$"(%)#Z7suZ%j }BǬݕe)Jvz8zJf:hIN|svO1O#IEcۍjݽ:SdὮvu^@:o^5cs>i/VqmVm]ؔܢn6'vޑ̗J4Wn@OlKbX ;n:hgJ9ŻyǑz8f܌q&Y fN0N;[69 rbׅC2/#kE l&2~èMR.*%g=Ft.%؝e8<.e=Uv{~㻏"EˑnvDѭ͜Lu3u0:U֝$[M5<:oi+V4V9 6nXvx&_ q Qqw3W:uϔ2yb/(ɳ|5zQiJ#r|Hw#.W?4aDŲ\ugWG;Cw鐢K|xg)##=O.dF˟jMUvWĻsr.z]kPc9"]R)mkfOd*uYf١RsB Aîh=k]ʳUrrZsq`d#r$/Ը3o^&lRWȍyuW̦Y4QDUMJ65ƒ[+ygk XK_±k#y:8(TJOSQhJt2.DR}"5[) r)6V6u5k:eXZmv𭤔!푊Q[qQ}ҹLE- 8qIZG|UM4j}Mܕ[Vwm{} Naqµ"ԈM zOpKѰ?IAD3Ir0'/q1itoB5{%wkOBn-ۜduqIzYK60{+DʕܞqIt";r1mG/\/ym[6JƫR \L=S=OT@Ix[TMm{>ݾտ֒ݸӉLYIx>+"JVNzx||5rI?C{oz8۹e\R-^\A2F R+N9 vlT]"ۭ d)t֞i #E2jB@׵=#/N+!ĕhx}I!cM`ąZ*ŻɄҒ߮Y.Z}='/oۙ3IpW̮hT7cTSuz9>B}΄&h!>lӵn~j˅IvU.'v'CSZw8QK3G> ,J59ٷ+HSg䧎hJdzvwv-cvxS5[̊n~ؿ%ַX?O0\6ne 6kn9.ϯ} *h 8_QhLݣ7q +=XBҲ5?[[)+F`=4 }B,sNg==u*Nj9k_GJ)+R~GSPBȒZ:(K]heL=vKPӢwq(NrG^ثϣ?#tC?.ͼ[ۅo؞y#%ǛjVyLSw%T*s92JTM%"YkQО.q)gCͲn8cgi6j1MѾ[{9h^vƘǚםidfi.^RHmg&rׇz:}݃}xT$ضk'5s-狶,\vpbPD،=Okf.c#cdz2FK5T!&)|ntD<+OŹU i-G[EE*FDfeaf2QƤM\UG_{ǹm%\yrGy:.\4wjPGUJޕUV7Do\7Vy_13w;[?c]H\$IJ,*L]3b%L{y.JRKG2sq,B6T}(#nW|km+q5] r㪍bJ@y{byz,b踊3ϻJ,'^xd،)JVw#.Vټc''ÝպWtbRؒJz۠8!o9IۄS95E9ؔ-e9JR{dmnッ<[~n${~Њ$W?&ՐY_? #a.ߑv?oꋘ?&ơ|y^N4o=3t=~7!/M3>n8W홎2M`Qx+ z qy8%]7_~540ۦ彷]Wq CѡwkďyF5Dum_}~P(5.(X,K9vᯐ?leB9;Jhm#3{CxGE-S{;@Fz˙]=O'!ɿ]' r`:7'2bЖ>Iy,/eTy/V<.H?UYY{\^#ѣr9^7?xoRȆ7EoS_&??zϾM?(~Q-K&>"~aߨ t7Emsϛ+?;fCr)fY+>z$tIkjn_>vnrֳki-˹l= t;'EyC¥|/BLwBJdgjۛ$s S1|ɍV%JI6KvəhzIlBYɒ|0"Sy0F>eo5W)O+X˻u';v)2vVq۳kۮws?UʑBǴYO漪e2MIjPAک\b1)DDؚKm6ZWΨgȕ۶yjڳ 2ضN[C[|r@9Jfo<_eI7q.|cÊV߷:i.:$ȋ)1%%)ADZCEBxJ0MJۥy(bNsKM9k43IwNt.\%N簤I'.j|ƃ2$grBEٌ\}9:v*!n7M(ɽ]7c@XxƱԨ37īf62cTTfFK]9wntQHͮvٱI/f|j=7}\_V5U^+:uljSȃY(XI.ȱmo1甅jڎIZ2>#\*:gY|4k\8ZwSqtyA!+];бޞKծË¥e)#5ap.QK^8VdU{*ѽL\=qmjnB5>{ Ӟ`v±5 ^k&O~Oshɷ,;6nOW>u6{RqS`)S%jp\ipdEBLfTWy$GIYw~䲭J.1vSY5z.V>^+Ǎvc.I[R{QsNR3ӎfhd>y?UJ*}~[e\i5U^͛E]G_FS(Iɿ]i8:4zj~շsW,ˆsy:%O}iur]iF5~3M:Ӟ#N06)4ߧgdawIotiz:1r5YDZLHBSi;NQc44la=Y kQIT*ըl:tq2(է9VO4뒳܂~2rq'nrVZŦ[t7\oլfb/mlpc.I8콚q^1iE~䰳mi[dۧw֤ICfdFeCsg:i| 6擣׋* 96lust^{%99UNRvaMܽo ammi$em4D6DD\nA%$$#}۷/ݕr99JMն[oT޲E"KTaP+HGkŴj5TM5xƱOS-k`ۛkٝWz;{kS}F;~q|~^_|euwnE'pSupUP)V]vE+t =ZRaVdG6= *.ϼnj9:UɷbېmF_tޫgHjVS'śǕًdkkѻ_]Kv?nT>)^e=Ar1'3ԔILyD?:-^in):{7.؂\.:V }#뺾.3r̸*xbFM aȵz 6SQ:ײj[ 8nn iFMw rR"5M5I旘35f^j='j:nNW.ʭocZvZKV^ɚJ.cM1ZI7E'6rg탸5oZ=[m Z`\hbMUR١Ȗĉ):Jin!_7Dй+f̷eKҷvͨBPR(V`y6tw*MRΝcB.ڭTnc;P$8nFvm4(D(R#R-L -2:FP lxZKQc6I("Km%$E, 78uXIFA$RQI$JbInG]c[ֹ:ZM+n^')JmJMJRu{e)7jQDw~%yQl}BZujSSf۩QZ+Dzhd5o%BIc'GZ?}΍:>Ɵivז-%݌J5MqGWTVʦh݇ܟ~Օ_6 n'{3~mϬj'J11OȻn߃r Qr\3y٘+WӍ'WxEs^O3 o~[|7>]]H9݇ZomT@]?5B:Z߂'`V_+/MSKX߆ޠk3?o7y:4R/7þ] iG߬aBRU&?r&/} cQߥGj2?C5Yśe7hU=?+ x龳f-܈czW^7p%-(\D4h{UK&ӡn^m]Fݢ:`δvj俜F+) y[{{ 7 tu>gvrěOj'5 iRg[ͶFjGe n~qT$ci ۚ0oԹc*jL[sVWqj\ݻ&6"WoK:cnWmrv)o>66(F>=W^bf#c zzʞtپy%mՉPël e}J.\Zk4ttt>oEM=q)hJjI=ͥ(%]脼_88ф;͛gWG;Cw~˘$4=uWdĜTثNDkiQL9U*O"4XP`02,Ge-k5$h>ܼ]3vr6!9RQPIVSnM(ۓ{>;/Qͱv{3&-[rc)ܚI$n{Sv3[j00)-D3z}MRzVQпj,T[uVs0\}Sid;r(ݝJ>æʺL&c[jPK0~d(FKÝW\m]GTcF|Iׁ)I3~#oX%vҦEݑؼ5Żv2qAZTE^..M{ʐfȏ2##.R}*KʛZz^ӞN*lPťLf\G6[WVQquV]XAi)5J!,$iJ6o$tPZc;Kjx_n3`qIelV~vLy{fn匋Ѿn%;zV.n'-ұdd2߽1bZksPe3TI9)$ԩIN9Vơ\=2885N\ p)/a柛w9g_lױo8ݷ iixJV& ғRi{N^_oAŮE6Y7I$Nk$|Q)-*4Z)^¸%4Qm [I%.c-OV+C֧R#%ѨCe3i;w$G+_dy| Fzj$DI(=OA gj%v/]8qԯNIS*֩',Q%\44ZZ%D|Ǧʴ6&vֵI$%8(ԬƾS&#Z. }6z?b/|Jl{ץv&mpx4Z$”ڝ4-H%dGKfM:sKSRWeJAn]>s6应-W9'H]'uȫYvgK^\czp|My\鏩w/ËQ.)]\QiS`8uL뚛̸=J"ܻi\å'-)54Ue]:K\퓡vK xwBqrH\*֕TnzC.mT=t-H]SČ~Nu╏NÅ3f|͡G~B+Xm[Q7U{9"~jgK Zoʰ7"qJ,ekSeNGgϳ] ^.6:s}_,%eRg<5⿨z{ZPun#jRІ.6g T.!]xa c#jN$Zpl̋H WZu8WmMRýsĮ?Mco~sx TU҆Q :KDG4n42.<3/'^?6/ܠڒ^yrrÿr2\D}}B]^E~^T cɛ7϶Y[<֞[7d}2%QPqOLEQR\CIsj1?\}%tJ0e~ *sk"*)&ۓEi#{1J8Hrt|'ܝRr8)=ƔN'RVz:cf]F7bZyZUȘ4x8,#JG̒?.W9XnO]KO]%]ƻ O5Γ/3qÓj؍/r̺rƵ 5\&m6h.xoeX[=<3%< lZ"2h\Z[&jW3ejm?k&[]ųj+{N{66leu_+lj]q* 7g*knأYv= q ەdxЬZ|%GUrQ3jLŒqET]1% qkXYūYc[7Ś]QY\jko\</Lc7+'hMSUc6qXyؙ~6#ѯv.0$BQi5YyIhɍiy=KD!n3Vm[V%W-B%swa97ajۗ m+9~]fKq|Ddaˑ0A]_v޺mM5* F-BYHJ5}q>ʉ.6hyDmpD׬'-_v5;5[8K[viJ.3dR:oYHHh9I7:۽fi+wm^ [)odPѱ52CZUJicSw\&_s0uBȍh32džzQflcd^m|7GѹE!fO5]]H9݇ZomT@]?5B:Z߂'`V_+/MSKX߆ޠk3?o7y:4R/7þ] iG߬aBRU&?r&/} cQߥGj2?C5Yśe7hU=?+ x龳f-܈czW^7p%5|Y:SJE\U-(a_cƣUǽXXKiȞNlmۊڭڄR!**ܤMeȽ$|X5(Ź\rJ~ܮ]>'HB0cp XFr_c?f?7<ukSgov¥iG>>䙗i.+t+bOjIܶ . i^:nm}s}(3>NZ$2Qg([".>i.ƾ)B̋M8+"- >eE6DݥJnJˣt׻ 5.˅nJGwZD~!i۶a,Db3ZQ3O#KO5/֍ozuK'GbRi᝘NV_ҝcvם ZoX}F6z 7e5_e:ۓj=AB+iܔERadMBq*ԯ DwI/Gy*mĥiRKg6skY/#SN4e$-yXM YL?^ĸNNӪ{$r1JJRSLO]Aqm>V/s[~i/j+m>z}eI"Qvp]{ZԼ:{vPAG2=T͡@ڐ#u"E*>C;o$~C#_d/HBq^YRٽzIKbOm\~żjFFGdiQ(*/i*#.FF]©m=BmpQQQSP&Ҫ!T&^>:y)$ˑÐFčI Bӡ-t!bM WҦŶ'UZ=}zvn~oT/\ǒ'nr8 AJIӆz<^uߖ4eFC1i+v!3qNyߕni?4JZlmYFXFۼO0B\m[ tʄU3s"Sr(NJ;SKW72L4̏BVdf^Ҹj\]ȱ۪(ӷm?J-KEmWڽ^4<8qu%9pŹW~877ܾeVгS(յe^C]yX͹! םm4FGȋ\y'Z FX7e)|Gjt߹#gb\ŧq_([R8[qU$Z (ʻezV2V!iQ,i$JE˂٩ a(GK'O{vnBvryRd-RK4=qxZJMl_CuuIz @Rt㮽޳!|68\-l[џ84-2Pu" RJ_^OL>G1~XnBŬw6J0*Uvlږ1N G1q9IUm*'oWu][&UyYZbBZRZNfEJf"+2nF~Eû7n1xv.RUM$6 lAxSQJ&n5ܞwlEói"#>4׿Q.nEq7Oko[1wg8ZQwZYiqtm&~">Bo?w͡ni2峋NCEy Ҕ+%ZJ ʩq*fpˤl,~^Mχk1+:ݕ z&Y`KLӪУDr3[*Z :(SL&ݻ۬Vqsyԭs x|iI߽zZrg.:mp%6ԜvgmpIUt;QbS.Է) ǨKSV,*lڌ|5Jt3#NP.=+OZ~/G سIgbꥹJnl_DUM\iM!֔wVZuԺ,yV.Q>f v:݇WiaŸN5Ҕ[M7SsrvǣrMW= \8ZW-jsnڕ.ZnF2qt ً[ٻޘY۷Zm"Jxr&NAfA-݌to9s359݆mZ+N1-qS$D=17 x׵+%_ ve4ir6Z$FDڗnFtOr'7'{9C˨ꤡaYoace{Refnft RR"4%ʌm:Sj3)OdInTO>X'vxV#jܮw9Fog;5.~Y5\~18YQܹvj4+~t7S ﬕs %^۵ڴDZV69R^Y+rj$ԇoJKR5wB9C>Y:l+EǎS{ʲ{T6Wi* ^^9k/y/Cs\g*qڵgn4T8mERr|Ti+iPe;;.i\EBEJ 丬i9ɧM-ԼsGDrZ>r#R>~X9y4b棇9JwV۔%m(b[Tjvl}۩~nDԺ{Zo-YuK1vx.nWuO+jN [ٮ0%"΢CdTJK-RަH"$I(*ve &҉FzB,_Vpqp9m8werv')E;o&QE׵^d9˦j\_,ڵugZȻ̧8k+jK{wmr@3ӭ2 wFkzFVqs1؛.v'I%$[iT]D5Dl2 nk7qUxԫLS+sا3/ΖeZYK<["%-g/kRs:f3;*E ت wJ%)5&+&rw*霣i|sMҴ|;R+fm䡩.!**dӶ-6s6,]zAXMWjmnz%SJߴm2UXw7MQ%<!tKys#P,W>s;3IYwx<+i_\\\U6 u7P|xbn_k&ӓVOe䦒 VUr,-㘘"-LZeOSҠթrEvq8Kf%5%&K"#%vD/.ZYYŏ+p$nZkvއuW9㓱Z G wYIFyf)?ƎUm5ԉ/'k84{KO:rQI}XRuԪ|*lu)3qZ[mSm5R3".Xcَ5c®ࢫI*۳~wRϿQWޝ(EJrri&ۥ^ʶ齲Im|[yb;mnm֩uiܘq>E+Ikx߄3r33-5𹻖09ϖ9[Tz~mr5NsWl$oPusޛ^{Z;);sڹf\3oٹZmԉ/'k84{NO:rQIBø8Bݱ3n֤DiK4u& ofSȒܩx<˘|N0Fչ]qsp"}! QWw@t4ӭ+cO5%]'*{eM߲DRO1y*q8w++e!c߶ܪlZWّM欼 CQ̼빶lX{vib/V/ ai;x6~]+z]MWB>re-:lgk}պ!#9?%܋V-c[z!W?c7YNm/jRr[HOzԻefճ0q15Zp#rkQQ0tU-AmڵP/cȕ?0cZYj;:0ZM=D6g ?'UN+ձ[K ܖB2'xq9{|۫N0ku 7xaj;n\ 2[VznMlWiKbSk))f..)Km)&bGZ=>OR܍W:j'rM'wYz&/鶧{Sʵb"vջq[I-ՌZH._x*BagC'T(Q:$ͳQcMCKy?3g'ߝqnT);qs #ؤZ}OOI:cfnc8W~qy.;^pVl]Hԓ>^H^@7-AA܃nmL(uWܻS߿ Td95Bdh4t6*dDh!EhI[iŨ\L.&Nc ܮf^;$R)\rip9I|ٺ?#R.ZDZ;/]nݻqs\QE9M&Bd ]N mN*D>tgbK>+ˏ.!23]BȔR1ɝ^j'k2ƮqBQq[$di]icV/e`޵B.FIIJqbi>Ӥ|p; 6${)RU>_e}^dzdfzi %ekRVUS?6'hׂ)5.\+qUgzE2C˷ecŏ^֔ibk shesFWJ#~> Wk~ݨ}ڶ>ơǚ)׽ZƉo~B-ڼrvoE:Ʃ3ۣK7+Y`WirS):{>ڛ}:wԨ(J_";6R%[u&ƫdZ_\'np| RJwNeTW,=rrbnkڄ[M3ܴz)3- R.?:okۼ0TU'w{6&w7j1z3ON'fGoO?)S_bQ_¿R(^ԴԴG.EtMڇ&RUiW uQjU> Kiu1d<ѥIQ'RQ1:O/lŗᏩiʂv&Jc{D5 Tt)1.n[n۶X}RjqnOʽ(~[Ns{ސ⛌uO,kgo֢dRNQȄ .'6W!׌P朼tdZjFGE"]K@'i۪N;sI[{SOzk>`rRR+!σj8&TjlvA̷Q?HyjyLHNտJMjܶT۽lG?SnKN%<‘ nq[N0Sq[Ta(&t(|HGO~gvkݻTR4&Z$#ViOY1r$6YF?e4U/Mvxų:zbU^gQQ+NW_'4jfz^c'#`rvrڡ(IJ/J ݦ6 ]-CW |_{v*_q3^DZ}Ic6Uڌ8p7{crZq5ki`)mU6|-Z5^iEz3P=:Cu7DF'k%}<C-޹ֲ̱#\,(f88%X-N(ck0VLR~} G"-8ӏ/ϰKq?(#nrVTmZ;zióM4 m |UT'C^_1X.gXM{%ʤd 4\ovN":"y-,T)fLQgۢr=/CƹǨJVr[a+!rT|%Y\ٱzsS>jͱ.oOc6f$q% ǒGo;n[];ߎjrk{~\VۓNIGn:iqxo |~t5)Rxעri{Vi&NUOl_ѮMfsޕkЄay.0P{7N((BaIP$ K"U6Gl ݙqJRu+qN$ m#*p<|{:>-Ev=86N*MM긭U*uѾ?/^o7;'u,h4݌xښRM:5.(/ \իU.{F^rmF-Jɷ.>Q"[4xT^OZ~mK}T0ݛ^SAo9u?lX(' qj%=X}"^e4wˠ|rܫ 6I\Ķ;Ӻw!'ڍWg{ i U_9Avhۣƾ+:vs/MK[ɭīe{`Zgb}r[i'GE2J7Nez579wRq+Un ]J.cJ4M:h箽Wxxm^ pc\wcN%'My $$| :$Fqɏ¾^қP9J6Wxvu}ݵP>Z'FFdg"-; [¢cmWkÎT8nG%ݣ7*\խCLRYZͤiD&J#'ehbSyXK|y*ӞpS̍R`[pTr/Eg)K+92{_ n3zwz'oŸۤ+sOj J:`T>Cf*lwd\fYOP"R E֢̔L4ɥ :;.b(B02rJ蠟9>V'9M%)IqnhP<%,r'P/vNSwr#w"ݨaqc(|{kd=^0jTMR2ULNz|.<|^PfY22##!,K~E BEJۜ&jRNsHަޛg\r,v؜.jK3)[EJ2ii{KEiHP^&]Gn8x=K}Wx/KI9-ϵwQ%spܾ[^R}S3$qvq8M[ ozKxcqmJ/ӿ{_}7&ݨ\f6ZSyQz& 7ۉ[8~UNn|nkiTB+4RI8'Nc%tn{!]Ȋo.nEmʱn𵵥J A+wy#+ikǒڂ;՛s85'KmE:Ђu""Iģ5p=БbTY-ͽڔ詻ngL2Q}$de# fs^o{DUUsfwӶ;s1T,ǤtޒQ\෼J=.tKU,7čJ5 N$y3kdSMQU~mO[03 $zAڟsF5^뜞"Կ QHmrR"ӳηer+ҔZ]hE-6Jmt'ޒ=O[sQj)6K}?e4v_KfZheޓ=BV[bY}lݒTTЬ{ȫvO_qpRApVŗ 6ju=*BR)g "O1yhb=tqJ gtm\b3RY+JQ^Ō֍\յ\>+uSi{=x ^w;uӘ#ĸzLn*$anok߷CBӷ}5Yqvdž<( "_OWit5:EZj2 B ρ1̊fi[n!HQF82q1牙nqnEpT(2RMoM4ϳOu ':֧_Xjsg jP^(ڙ{2%E͖j^}ZU[Q$'U) <܂%!s"m R'G5M0<+zM6qYm$ڕ$3ǧH]?o2N<8F1̻r_my[Rf59NjpzBnl7*{.QP 3N&^BLJPjAHCK2Q}$#~YMq8 k(MFMU)8MEqTy+Tʞ-ar5yܕOXw!e;q-Jqܶ䓊Y:LC UE{/t>r"lI9)3KJjϤA 6SEE$d߇3KG*En|P\ԭTn6I-ƍKTj<1H_zwGr19wF N8ݝ+a9ɫM6mhePi%mmD! """"""*1bRKrD"vnrM۫mmĽm]ӡiG~e"˩ lhRTMk^MX["Jݱk7_ޕ*DqĒ&flՒ}`W}~SմZ{ĕ~wm*/{{ѹ_-0ط#P]xlڱ~Tn5wi*lڪ (JxioϏbqKYR|!|KN53 OS222$jzww%i}>N)E+rۥ7c$Ofl/LNث\6H9: FY󡈾I)fB֔JI_ ֣^: 9mY{66㒢7Uj]:.-os[R&gMF3˸#໹kmjq^8W"PΦURjʄWa˧T!͋ lW48JB2ko+ /Nw QwQzQ ے%$ޓ7^YL|r7!v%Trܥ &|M8~ybrn[RV gSn{{*#2#ԽᢏӴHak" ӌcwҜw&RJ07ױ>Ļ =^ BɆ)v32.M1=#6%̠tҤnzqMwԣ~s*%-j|_m*.Yx9Sz=)qE4 3pk+,`=kNRڥ=B=nŔNAx)Q$ԩȧ4z3t#Z2lҮYn$S%y- JzGpu|LBV7ZW#;Wwipܷ%(6jFG5#{$D"uۭ~]֫SrD܃fҎӾ+Tu>-ZTQ& N|$沸ii>eRWݳu'[O̻j8JۻEѩ[]vni= ڒ,[_%kC7I3Nv$4ɎЈeٸoUu:[}Do5|zNq=Tre%ɧ6&~DȍF]ƞG5q m]/w/ \ʲr8=oʔe9U(W"|S]uZd#?Se[W"ֿh][-7Nu:T=)R}.;ml*5Dlf $fF(̏T hiIUU4Szɕ t(%_|2 ~6eM;TƗK[f&]LK^CE2[ȏBOd;Mi|cx,^6;sیGpQ\NuJIFTJ~đArh* B"$H쉩eXPRj?sl"ԥ)su]xpԴY%VESH"ЋJǰ K&5^Ukzׄ8kEgS2h&Se\ Yl]WҶp-ZUvi7QS:4byqOo+[̺腋[6-_Fo.6[7$p&^ _GZԸߍkc.qqoI[9m߸YxOZЦ1uoiSH)P9Uʄjcq= S>֙NeR><;+ڌk%_qT].srNO?s[=vH[]RZHRMtᩗVؾ:/~u)ԍdg%=edVrISb{6vSu=(ܥ)mTv/J}̇8 S3ad:^hBSf؉OɔLhI_1d8,L><_A0y3rXq"'(۱;mFNII.v5_(^q~X>y{3צ I*Vܛv/jW' T'NR'j%ꔩ:mJ3SB}΋!-H-RJBТQoedi9tjENenPpke.%4]#{:>mkEɱdYWl\\\'nRM4&U>?Ќˉk÷!𴪛]]5}UqG~ݏI"O~s6(Ļ)qO~h}uԕd}Q~G,oE!&G&/]_H-O=o{k\̭bkv.Ô܈+;arZx)m?M\3lU$mk-CFXjTv6u' g:Vn_*qk:VC A%'4JV%EY)#BғO4<e׿jQQ]yUr4=wm[K1r׵%Iũ-O}|kC;/VcݩWZ)EHdžTru]8hgĵ-;=>U_ InvTm_jBM+QiF"9*{DI/iuo(=TzϖmPQl_v4z>T*ȴ>YF;ε\t]EH4ꌇ[VrLzef 2T^V>g2~kg5~Nק;{~Z~W}&ŒBӿS2$J?~(Yœ"˲ߩ\O]: J׉ښT{mmIѩn3˧)4LdFZ/zUG>U> n 5& ϴ-KJi2o]uKljvK3$bԔҚV旧iY5.ίfi96v7!v))FJM4{jG~Jt/lUE%pTAFe4qQk\ve۽/u/Im+W')v{\-E|Pms7߮DZRr۞/mu*1ՙaB܆ -xg3#6ۥtRogʌU)׎]ZҞNnŞr}F1Nnޞ;cZ{N}ۿMiuxʉ*3qi'9KHQ$WJxXyرŔe~[v5~/jN9Q4o6rJv FrdxM*iRjMzUinHdн7ᾞS=S'7 } ̽zt7K|_g J=Lq+/Bw_\ۧx\HJUPzQ<hqF[V0x==CsU7q|^ {)Iq38$_A(VgcKu06Ƅ"%i~_ˉk QCܣB8Ku/񋇵u([w}$F|8TՠI.E !;RJ^}MɒD_q2];Ɖ{5}*n7nEInO{Mwv}&q+v [V}Ĝ@%>#dXQ$f;iep.GquixVt x6bj͵mlKقQ[T]zs/&yەnM'W}!Fp_d^Tu N{ɻ'l{խ2.sTu{W^H&;1s)Pӛ6>$mě;Łnj= fLT)>׸+qReɴ[UR\L*P/!$Ӊ3Q 'K=m~6XqW3^W+ųO_[F$rR*u"T%@O +%# ]˽!aܽz{ͷvQh쩎]hGތ5ɇ*DzJDRNLi 4:{~2FmXY-zzĽ^f=]uū{/+&c:Ma{ĝDp2m܍kHș/(--m_vݮK(V{R}.k&yƴ7i^4@3f sK3^Ř˸B=]?gt5KbZB<e;kQLpxuWC}n 5ҴepB##~q= `x]KWF {GfŲ}?G.I9pjWkU]>={7q{kO/^I3==f1ɏ%nnʫ/Zu_yXN<57ۍ'vy/"8넭M2eԷ&Y,в33%IkjMr7xf nmQkX4踼>a-GcIeތw&U=-:qnW)z¥j :WqSZvԒ#j"KrIU)%qrmRoDGQ~SYRsu*V)  ,/x)MFD6O#]z 96[Ui(JRfw'y$GeUީkdMF-ݻ98F2d[o{Rn0n-xsV6Dh|Eb2E:KCOӪv4SJCr"J!!m,hRLD| ZYFm/X~ΧfrN&4Ƒ=Z9Mh.Mܵw/BdrܥniŪ8ɧ|y%œ[M=_tj?F!z5\evM:\ ~F-sg钬OWq“iiȍ<Gi%%n2rqͻllƑ)okw7}\Uk-:&fj솘XerV9yZuʼşdFC=rmo%~ZN78X(N)_7.Εn1MpJ}62jjJdI";R5&iLԸc:jmqiQj$ujp\{;v5B񥍪Xn Ą4qOERjzN(Ga٠䌡)p*v(J7#ZۻZ8O W uONb+^Qipv9GvֽƼϯrYƖKGJQDNPhRJjᡧC"21"9ѓS1;R_O7/WGz)8fE%F2ukmvSov/iZ&/]~KmI[:^~ͤ\kMi稜\ywJt3W7 8Ʒ~ݥeFgѼw"8VVSج\뻆}ݭ/J6Q)d|)zU3>k\L=;ow֯gN3pKѫ|wmkZ$z^2R:E)f>ς нd|#׆?\ǔpV{;\$ƵE%-ͪm0S6[n< kE[}mvE4DDZ^$OZ0*$~XUv҅B@^?]so#%ojw;Y#SxxueBگy v^i-)s)zV jC{7Gt.w3v,ygg8s]aE_,*E tY5k٨h=o"m泏:\6w噓aiL׎n^c\75AGkЯ0Lf46َ`egZ˓p/k;̛]kq!ݸzpԭG"}R9Ve>ˏHUjJ-&7nrnwG*Xv\˱/vN}O)ʼn&CV͍f̵]r\PMB-6Du-#RͰtRN^)mT _}nSȕC*_xBuTkJW[`ɩ`ejvsngP ڻ.-WUtܑqԹQj)t;vN&RNũT+8%IXӃ5fK՛-d9 ]CƑm|nZ-6=Hz,*aEm W3VzRšdY~Xf׀Xx"]s;)5u*ُHB BRGS6bݶؿ 9j[1*jױga7oX CUI%0v#~\-O-Ꙛuɷ쏪&5mY٦M`LJ2qK~HZbr =N'YobI. (^ ׾{_ ?OJ`S`3BN[}5w6:ǵ/iSlt=4F*d&T4y/#. ɵim5Uֲf 眕6Y7 fơ=3dϕq뚩$qTM-%r!$@A? ޾V0c~{[{;򥧅a~ڵ»&ڄv1ek=wb MLkNAԬw-x>~/r=e73VeVN)K%Sښe"+3uXuچrn ֺVzscJ峻m}vb㶓n\YbIUBT%*,0nov=;z꣓S/nSXSpl##k9mXGrZv^Gde!ŷRԠzQyjC]`gToPov{j~KRBMY}i[߶9KL2ԉO0K#m>wB[ٍ+n[[b٦DX ݲpo] [\m5qdT()mo4Oy9Ie b][wղmM~vmi۱~t \}$яimRk(L c Cvk7r9_r1 ;zv|F@KyZ[&jEji/"6$69ml#e]9s\{ScL}Ȣؿ0q/nZ*t,CLoD߉Njǚy=Pgmu6^]l-["çUʖMlʍp-"qmU>۷uFOJ%Ǔkx 'g=睋k[3u,{³WɘݪF]ՍeFX"Oy\,cچ=w/gn Ļ]#2? vqy-gXnR.^}ݺFs{ŝG]}e|#0mjx"ƬWكm?rgU^xVB":Dt>@LRbun~ݭ,w+v⪕;\U(RYa61>#Jm˞Μ9g9XKaG='u8gf}'qy#ɉw J]We.ʲ-<+&q%s?2dњztҼn`cΤmmqMdz O[-ߩӲ&;[tmܝVnr">{x<8U+p:Ig]zjGkt,uzf}dؠoJaکqEq -(:d<պ=eKy[˗^%ZXkX[C2߱\ITTLGzANM￵i]K>UsOGDDD.ZF6* ҃V Zhz{'xp^`wo8r0h ZmJ5"jb[l=yUu7-;7IT%:jFjߖm0tzU'K)څNۧYJ)4IQ}^KWm7kSP>q;ނ#)'n7&׊r?óM{IwR\j2Qn[v pe#/tAF\ϵ225q֒om6z})6҅*oqDsMf CNIN=T S2t,_ѧ}kveMF0J\Rnnݙܹy[rUc-j{yGtkQ%s]5qB.Nw.JN1LvR Ui5J ZESQԙr):MJ+g}χ!2;q([jAud][ljVK3$ײSJI=/|&tl'*n۽f.frܥ jQO8>&Z];.|7T/C}$ڋUmP2Reҭ8hFF\L 3~e v\۫]ݝNmrnB%*]Z«hKc=BTLG :V74$=Ǘy+EX'4tn(I:Ѝ;Df8c,k1%dJ6.j6ź{N~l6&*fœI7 WAlGOu-ҢH,,(ǔe뿋쩨kM܍ZſgRvQ' 9)?n|er˭|I|-fGK.rΛp8XV1%K6mvG+tc+qE&ǸC_Nm:l=_/m5^[dߌڇ.c<%:)tQ$Ow~-aY;UJ>=F)2[nk؆?훐M=l6[4(O.]2#-H^n#->&mp5~Fӛ+|| S,xag%qkEUzUgæBhߕP(7]kFnq?֖CpruZ6*rEڊtS|*tI*E}7R<,nUU֫^I7Q*mSly%rdȓd8hE<9oHhMfNSRj[i7D[Rj݊+kდq{"$$H?p\̅S?㭻;t~R߁)^/>Qj`yt[w ԛ;²~+ߔ_ YW~|o]?x^ᯛ `ʼn;g)T@vWn]>&4lp+$D̢1l|ȨF%-}.9[}w~ ԠLM9hСablfe&QoW!s?wjLK?s7yO>(=C~_nyǜu?v3vyo oI@qV-jeES^[9WoSܝh"l2C1a͔CiJ@3:Pճw=/7ovuk+\V;lDgն<[A+rX~d;m!_s8ݖ׷;;.0llUC+?i#_crʙ1~C.\–q ul8Hܶ2m`ܻM3Tov|Bs rɵ"oLS- DКw=Tv@f'6|YlD͓Y%׵-#Ѯo%:&!3o%\J<02;K87>^vgƓ# ;ݝmz^Y6=PS39U%~ &f# }o!muH;ʲŇ˷yvP+&.7e[3'vR4Yj̗IZ`e˽3o[WU{ m[sUbۋZǾۆl6~9'V*.\S2<Sd*zY[aŶ`]C$n.v^Ʌ dng>ەZ,Mmϑ :n6nϦezWqUJ4! ۇ4R! =>>Fn|Q[{pRO17ƕ~._I''00k=b՛o}Osðc2'o\3}ݭQ^2 . R1yKȣtAݿ-uܾw!`?1Whn|gzUo[ECWwjUIן)^h#1ɭ!/Z np;o;ΗŻkXs."6E`Z1 עӐ9Kl8qd q} 2Stt;#j>;խabONŗ=fwP1j)l6J̶|gV2`y/0E˛6+ԫ1? 6}KW c\KoKͨ2ۅFw–s*TԞLיuDx .kCzWXhy۶gLu|%TnupǺl-S* PRaLnT+c+*xl.v!.U=|; !_L̎뱚U=4hm:ٯ"y)$:>%(n}X'p[ȴ ^˒4kƓmzDx \ 'NqamP7nyN݅=j7%McSڵj%STy qXymvCg{w/w=wSW5r̹u erծˊsOm=DhEҚRb#n)QOxtվQwe]I}wCa'"[ۂ-z}2UuKP$㜉ԧ:mc<Ý>RoL?wu|%ҷ&K y_!y9 ??:tq3(UU-lkS'ɸ@jdzQˬR] EVPW1DJq2n:,c|ǻ̑;y{X,ۂ.u.b˕u.tKBjQ"[S園S`ٮdNبeJ&9Ơ ~0a(Vm٘L+Jr*vڑE( x0+tp˕ n';wm-ޜMOxX>{#2%jgb2M[`K*\5@8l'e=0u+w ֘鳾{y܀:R*Ya]"Ӧ%ktynlۣ65,3gU}{GYrb;ge'TKwǘ.,rpܚV]Tr,!dp /ԺU,xՉ>s׽~W5oTh yx?xrrx?)?ilbT׬,z$Ԏ.UH٠\U1pU:]JwSrGZq8àd驐,N67QYBӢD㏙W!Q25ϸo9ms-7-%3CihO.J鯽-;MZM8ku-7k9S$8]q2E(}bۏI[DKOK}3KUB^u %Y,u.-&f#]'܆o$x`Yu,dzwM;#oKxn;\[d7}Rb+*Y䛂ZuBӱl{j0O̓}LhK;[aֶaGL{Cb#S.T[>߃F]NK"u^LUʐ_ykW?!GRj29͖qa'0[npcDvV)qz9R)PۨM^aJx W] r>];eN3vxdmĘ(5W2K1䪖weF{mE/QP6\u54x5[hۮ-Nk”i[lUgL]J}5 S:EhiUrgHl!ŒJ$pe=q^b͵Q' ?6|R\,JA ڵ"TDꈭ:ymg`B5t%M] <N_zv2_Ortٵ/i/ReӮ*7[qүqEG* m"[I:6e^p"I$jԴęh!m)]GZkcjS!{e^z}+Cѥ9;R|/ֱeiUԏCNu2Zhcٗg$ݭwvr P8*7/Lk~I'Km1+MW%Bk|oOm>-#qj*|Dbѱkn|n{v#jĮqNpMIUm(7Liz;{ҜݞڝVƚVϬ+sO!OstGvxӉ']uӎ4g_ 1^-8ۦ k!)Ύ5O;YSB#2Zzχ;<.ֵOtge~.(RC#wFZeGZٸ6FFJ4e2ˇpJT$[wgV)q6muDGJ56q\I!̗ y/I~RtJ9kJ]Iy*'FN0s.[l!fw'y(7$œ WƫgyΙdMEU JQJv̋vmrۖ.jWR_M֨djYgSj0^\y'EoECjm$ IƩK>Z28J2TiJ2N#}.s cArl嫶nB.FIJ.)۔\ZiM>/hLĸ=C1s[?YMqp|94- 鮝𦔽/k^#NT(Y LS$6˩}{;5 )B۷W$qpN)qqoot}ZDVә;7TiK|6f3h$dԄ}fqݡ>Nb򗉉+ͶO]>ߡ_VtYf79ڰիF sq~prս|QM)g%l0ocJȨHz V;Bb/kLAcfPJ,ԭ{ƍgpjNR6VSI*$!yV足jᇑ.](EܣqM\qJ2eZT).<9UB/(B0j)mtKEj#׿fDI-=rZړj|'Nڤ]k*i$5qt"ݙPM6E4ke^Z8ۏhz$Q(R Ay2zfRñnpnkbkI:=j &ΝșW?׵d{+ύM'??XqeeĽ.[o=UxFS=ӷdZwenՄ]_X=ĭVa* pKs0ބۍfJ3 gz̚i|wnxtjc¼5${(1fXQ65ȼb̶Zkn>%FQMJXӡ{TZEVNᖣimT/37cNJUPnP҂ZOE~"-Rc4^b- FEͧtf5[)S!OZIښݲ͑;tvܡ+N)AR=hCNn;wL16-:特7M$=Tҕ-.R[HٷnXk sn[ҞD-0WS9p9:-Ϸ-jѬNu{ҹfv)[Ľvwfg(ٷfe+0mYj8Q1\ݧg]Eǎvڿc!4#j5̋C2"}BRriFp7=ô\TZ:\BLfj#I22װ<;صZl j 6:l"6]۸ K'6RTѯ^ئOԓV\?$x7s#r:Oh{ց=MmuHԷd{pN /܅:UE#Yy+(SgQ(Щ)RHzw>^Ѿݻ>mK&^ '$Jۻ&w%F|xfz%˳ L~3N?Cy9 v w/{ƿ kz3x> sXv}vP"@WyC z`'톽Dw%-tt yVY\wmuPYQA0iG-2JP,6/gˢ]u.-n!Zw.N7Q]Df}Q0({a\@=i_X7gFǘ8^⻲}G MZ1)WEfO12G+=-B@z\`||w6ċj߬m}UwRox֢I &c~XGP6Qndpvܻul'V7^FJt^{b^B(L~sѣ6@߿^xqU!ڙ5|Vpvef-uӥ^3  FSDɯKD%0r}FF穛r7 +o"V8tv̖NQU!5uFd"bCr^bJ=֤fM#ʳԷP0O-9xRBm\=`r-:;~3Tl(nXtXi%2Vٛ#vwqƴ`L@"H‹qW.j,JM5B[)WܺUeZFqc'V˷1W7V̾-MHФwn8N;HPSdݷC7&2j.W\τGŎ'Vb]c.x+Rx1%C2T{myg[qU|+m:M:շ8҉yWd)ՋWS%%:iqlʹmGwݹ WnNŤѩ5(9hTٵDdGUi-)vSs2 2{OnT$Xck n:¶(lASLeȔBjμPpTb2~N2~%^k[ܗ[Jzs0ӓHBKq[}JَA-$dFQgjxxFv4r/x*Rm% `4J(&iv7SkԲmSH1YWmx 8n.k']:Z˭_W >ڃXЩ. jTq%Aā[E}amc]D:rmHRiu:uӚӢ\p(5-q%e)(۬ҖȽIf<߽pr&ݫVfY91q2ĭEQgYbTGQ&,yL+N$[q*RVۉQ=FuTܻ>f>f㋳8N6$܌n)9&»iˤsX,݅܍ȩv+sRTpO}d?Wn/Inpȸ%O]StQO|v5\}7Zwb.AIVK^:wb{[uݯcytO߶S<{8KSRׁH̏N7ۚ[xkwYy_'ZӵF+>쌛ZUĦreE9F[24De{}@:ExWs-\ǻ7K-\JNvEk%:s˙#κ].oͳ;լ7wB6nwu:$L; DkI#Wz.:Xp(˅v$Sq,wn\qIN-e<5Oe+vuYTpcojUI_ާP8 O 7&VL8z$_B-H-[uh]T{|8=qVRN-:Ij:7PUtXϷmy鉿:RIM~33ӸS2#׳GdŲ5+/Bx{(WzȨ5Y㞎#|˖+ ط.|e<o/rߔX>7s}VE.OVti׽ .5nNJO"95{#q}Ay9do]R"M6z\tnNS-D!@3N_jicWsy*5uٮRcWv/.,j}=S)j5C^> Ie =gu9ӛqjtz]۪TMoߧI!Ǧ¶m:,"[L!{qAv-o 3{"KʼnrIkfٶj2ƙ؄S`7` k6jzޞ?e5G&6uʷ2%ԒRKE*G\Npom F/V |C0.q_eenƣ<5Oh'67ɪn[SĽ{ڔjǘzs;~׌(ۂ`ܢ1ƣ` _l9Va6%UQWh~P~\F^ZHR@:ۧCJ{ôGeBh;~ۧnU J\O+n2 RҠ)ng}Kh{5+S×ܛ.1ZjG)iRȤIN 4%{oΜ/eO[Nffd ĹK?nnԼMqX'܌nZvq<ķbFnͪaQ`5 s,M_լ?-@_{w{ӺձJ}GF[%v\5[ŒGkOw/ΜM9rjË%2+rd~+󲕛C9U۳r[aJǭm|˒LAʨSCq[XMۺoubfp:t+ΤĻo ][ zt-*67kvS7D·MMCQXm;)܎n_h%]4ܙnRk!]ڵsDUF"`R, &#R_*[z*ZqFXɻ]7|۵w+'pFDەs=r./ᐚm3Hשy yD"jHCr':sA65نѮ^o1V/ f;nFr3VM)e*- s D'H݅fӧ\*޷[k<7u<-]֍Q8R h|p=WlW3s%Q %3l}@U-K6f-NϿu|ڴmWN׮[׸F*mW\%r! C78:޳vBG7ŵ.JթԚ2x)ST!řn~9 W:Wpܢ件{xf8ٳwKE ҰWxVB\qBZ 2wMb[lGSnyԚ~z9ZmያvoN2Afnݽjf>)j3 !;gOYʹK" Wftڎ+׭b*2ϻK>ۢӱeyԪXISUm[z+ugX%0lϏnvg!;t{BqPj>PyvR7Cj]O%+ݲ :qiMj6W}3vC/R=4Som]ŗ=ю, TF6U_-\6MyskwMr&Q\wjKܩyMϣUj0*}RZܷSdY3>Zjqj6TgzpA/M`/Cmл,޻feE[/+uk^Vs1W$G(JsW2ٰu*߻q*Y޵.Wi:ur5T),=0uRmho.twܖiYwrWHntvEj8qhf`Ͻpf(R&>Ki%I7$QӖm-2 ~yߗQ-앑/ x[k8nw.c㩵k}]FkbJl:{.(˩n0Hqvαp7 귎.Gupx[N`Yq'+ruU7[ү+>!xrȫoSo]OC# d^Q]\>!ƛGw^Mx"-+%vdX-:M2UR%d>%l ioSu6lsj7D P>XxHz Ukà(n^Q V>5cVtWj SEiJdznyej[lE' 3kuٌNn4JW)gB {4 j6&]' m-(ZMEz8cz>WZ6#7+[,MR-Z!4ܓtCyE|umj1ƽvƷV\;%>Q :#Le(iVz5 4ũۤUWxX ^(ҔsլB2w-V ^R+; ˂M\z+Uwr+RWY⺧~ Q*JcYSNSλUd8in=v K낫k\IRרSUaCFmϿ5̗P|u ZTԕ}>oYѲ1sfP+sQkX8Gb~6r,s>^\,mGL+7[n-E\.Fqḕcl*Jmjb5 ,m]c}NXfeVlǸJ5eˡ$4%g~N p4Y*WwW٧<8v#;qԩTut,m"#Y D\5V`\\Lȋ];LȇiS6ϝZ l>LruR\v=ǘϔDg=ԈdFZ+M{=|,[;0>RiSi4,S5}yxw&(E7&fݙ4UՕ! ~'Id)]ǽu2K-fޭ \08Vڅ쓬=Vy^^ IhyKR-B#Ըr=]mܻӾ'*Umkoy rTqT_i,/8Q^<ݤ|4ԻO(܄"'5N~#m.(Ҿ2i6Uev&I*<}҄$eNtÛzyWJubW^iBW.܅Wڮg]irO6Ve90sgv.+sV޿aޔ[p?3q*FutUo*eL\KM'EG*ZcAFfG5J 5jj=MJ3OK:k˝'NMB7m3uFҕ\-Ywg%PRqMIyZGY9|μvn߻5cWݷa^+X֥vnݘ\v7m>Fgzv"-;Ew֝}1|RjN𿊀7g#֟*GQQ|#/bo]p$>_Un9гUbn9׃ErQBU-^vDmVh'<R[fdHT]*~}3j;nvjc7s-rӳ Y8[n[1pJx kX[Jk9Mn!_Nю6x:iZ˦U |߉^Ԛ݃hYxk &U^bwKk.[jE+P(˞=9j@snCv7%c_7=xǁ<l {t'酚+1F‹l׭:ݻILruǶkL-L(K0L1&>wXB(pm;1fpnlp֓%Skidkt(U +xulo'/ڕeN r=^pZZ:Pnj8Hf"48ijY[ N[yZٻ+=  ø:3 ?^ܷ^Sr#YK[UF?CuhC b]GM')mڏsNrܗI]ljq6VB. W,UK"YX5{c >Iqā> T:n!,5l2VzCl|+I[*SrjnS6٨y+x,@>П.g+!rn9>N|W>OZT_ut Y""v7|sfި;Pclm EùN,{'fNT%U&LfH8~1v>Il}统u6P˗c(WV~H^bMU.o*oOF0N:_:6Smr_.b+|ݶYY غF,mwjv>f*>QM뭱Sd:`N{l/⎱;n-z~"Gze퇎J5S KG9!Gn;N1 ݎ h6m|S?ɂ5'WOÞ 7|7^ao @mxGmi^jϽ>01Mf0լD3-2T. VXR"ɥV Kl J O7|u?bvа;6.eߓ|[1bmRr,eRz`z 6܎-ͨku͹Fː dPhYgZUj}nvX;z=gVեTv_J }\1n7w2J?ޘγc\E 1Aޑzq;\r]]\Y&[nsNei\uURje*Qk2CSl*xJz-xٶlm+|UjUؓ`Ladqiĩ!Gd\W~fz;Tn*PdRM&T4`չSWq5k훶(N"Ӎ% V]֦wb.nUO!u*J&Oӕ2e|Z=eV쫚΅g#+/RW:طnbi*Wyo)p{:ETKؚR(RY+r웓r(IF) VmȵNB:h Q1ғ|u8E]{,'$-TR[j49l*3"I鯴zhd>Q+\BkNF=.$ZR4Nwհ(IpNi.(Gi33#33e$FXK*NdWrud[r{xnk$v2ıh+J1TQ[#JQl[tRO]LHKٮ NӍnF񨔤֞Em'MILB"ԋ%dBŋ+p̿_17jzT~4pc Vo\ƹb9Rq-'1j;8ܗ)hE%DZKS<璸Bu*%*Yw5ڻ9ۣ^z4U; Ñk\U(o~G?VUĎ:?P?_F_Kߤ~ᓾI |pr.Ok\SklRhҪz{­P .}SktZ7UQ4ڌIM8̈eaӊJZ%FFZu,KZvln廐SNFIVtuNi?CM5]+Ph,{jN JSR$IS^tSUVrORYu.9WyP6 [Kiu m!X|]Y79ӄ)\ģ)pbڳr%*&ꑶ_-H*dzk)1 V3')UAϹٶWRxe'պn۫h7AR9 EAJeGLms!%D| A 5]/Q3eb̄vnVn%za\m kZnv([emqrIҕij|""><hjJשvvǕ|Pޟs}V~2&Z?+2N&Z4w@)4iSڪ_>/JN9Hiۏuf8'It[ȲR.hZ$ȋ_Y ~U<UUO*6b)Ovzڜj\R̋.$FsQuҊj^נ䈈y<zZIuP[}Qm=C?zN(Exqu/kn S-FzKZzOסӽjJ\)F3b!r5ٝ|;6 o=-3*λ]αb\abqRi-w޵⦪~b8Kpo)Z=>)ғ"5/GTZLE-輵f7ݘ۹~+&+w/7GFI:l33fg.N~۲\2|*cnermnnM+Fq"ѪIz%j =YW8@~gc/~?N'?)«qȸs➟n=k" X“m֮VreMh2[uݖ] *FܖN)MȐ`f0 g,C9̑o;ddudJ=In13:ݒvvdMUEJLp^,6t-@͐9'{7m{-3,>hnF;ѰM)->>+Ěz!R* :`e--m7nB\u{b U>[8֪]6^ߤLʦ\DFNo$$dͶlgno8OrsQ\l̯hRo8tuNo+ CTxu!2[>ctFpeޓƻֶR"3QrQuOѳgwQr;S~)6HhZw/GgVTmUf_yt7%$];zLWF̰xy2Ʉu!MCmš_0[W6jf#a-KLi+3Q7c^qg%s<1aYIQeZf+}>;S6L0]Yu_h9߻<ƅpmiM$AVvŚ,*#t2.8Y)-Zhshü97/#Oro"u^/uFgWɺ,p:6a,^x%$Yve^3PƗMnTP&yS}OJ '덫MH^:rXԴJۋ/rI;S*,+yz1hv)Qw^ڍJ2oL׊q(\fDj:^T%vOadɂnS}ZO)N*λdaȜkG_PIEO}нa(^iQX᯦-7^)%g'SJx(.S9zVɴZ{E ))ۅi/s7 VIV-|sj0*UBTHIqRf>FP$KqN0 R̻8j\GcC}IUz\i 6F)Q{Gҧ3qSzKj-Az VЛS-zy:8*mNk|D鿓ND2u+0Yŝ7kqm·?8Ib]u>˗^_>(]vӋzv+ݩ){vZrJ2RQ몋C$z [,pp,8mڊbR]Il .f~d/ݓs㓓mͶ{mgjQwn=Oic9ܚm4Q/6ݨ[TƧ?nԶoytf{@AzT{e{[O'ZRZt~AGD?s3􌿂ՉIw'|~U\ w~di:Kޱ)U/sU%njѩ&GSP^ǝd)..!^U` 1wX[aԇSxoFV6_扐)T 2Mfd=ۖͭiZ7KK Bi9%7@<3<ճԻU,},a}FRqɛr i@ONJvK KLN M, ʖv0n-]DwlI-X6ܶ$Jʴh5O+mOI+Ra瞠\ MG7BفjYo1#͖0V`Ѱ2M?c8>-Crt*JkIGS:e#hPKx[鱼>{5m;wcն&>j-M֥^َ) 6yȜl_w{-ō̱r> U=]iw3)r*]:K]6BdCTZ|>gf}LW}[$'Y5 &c -j.z6R 67MԷFMnÌwI7w5E}o޽+K ֵy4܌ȥW"COyR[q5Ӱ͙f[v"_#q{MV6܍3"u9BK(41ӯqˇc${ߝCi6I(OmθzҜ5k^:>Jzw.>qV8{vU[ڶEm|DžBz].KHjI]x;Mɗ{m,qZXr忇2u^RO2Z}ZێS[2Jen!*NDcrBUً4<ǼMҲs1Zw57c3&ĖڻzmP*FuJG1-dN:|OU}ҵgi2t~F^^Z.VxjvŧnNNh<:]^~NN+ge^g.SԔGFe߯'[vn'(ScJ]kܗ7eJOlRrfziݮq̋S"\*U<*W]k$FջV}? 7g#֟*GQQ|#/bo]p$>_Un9;l S VvQU%OLU{οmU6bZ1MTx%!֙Q7, J=!3 ;Q,ڌ;6ͱ݅q^&ߔ·n #WbwӖX.HtG)N&d̵zpI,n cu ޖUj+VXUp[w]N o.J6Z8Ts&utxln;~HPHS/xw`G\ʡ¿rj Z^vt"[L:SD\h0sUwR,}[x^X,R2Vn< ]2YDr[SRKs8tXb̷G?Ps Tv 3be,zVz D[/I.KOEQrm'$7|[J>r S`5յwT#\w1FTz\Ԛ &"ׅhSHrD\'r]~/>p;:Piuu:"9ő=tTaS7V2rӷk7mb[^WmPp*[y.Þ6f]cizJCgRR@UVl큝.WJP1N{/\whZ ػϧӱE7|E֫Sί.x-Y&pi%v''-x6r'Ws*6=DwwUu]=C?MK [yrtܒG$!WGqJ*%SAz ED[^)/tė/g=#Omd.|^n/sl׉g DZqemqowݮRzUܜ=ڽ-o/Iۖ;qVʘgPp|mm;6zGl9.8pwWgsJ2qPbe}}UpNjٯ}7TMQKrؽtEx%v w߾8%|j;~|}pK]ơ/ w߾8%|j;~|}pK]ơ/ w&~e_H 8PL7:%ʭ5Kw&U2vwR_+rm'}C7#rWoO&HoG?M$UR7{FU]u ;# !Wk`|W>׹潇9Vn)6)*ҹ{%qV4q>W1vi#T"Qk&GwxcJBJ- Ϸ^ˁxkU}ԣ/3.;]J=<*)cS)ROK9H=,r zX @)cS)Da^ԽQ gxJI=w֣gf*TRj

Corresponding author: Yoon Jung Yang. Address Department of Food and Nutrition, College of Natural Sciences, Dongduk Women's University, 23-1 Wolgok-dong, Sungbuk-gu, Seoul 02748, Korea. Tel +82-2-940-4465, Fax +82-2-940-4193, yjyang@dongduk.ac.kr
• Received: April 12, 2016   • Revised: April 25, 2016   • Accepted: April 27, 2016

© 2016 The Korean Society of Clinical Nutrition

This is an Open Access article distributed under the terms of the Creative Commons Attribution Non-Commercial License (http://creativecommons.org/licenses/by-nc/3.0/) which permits unrestricted non-commercial use, distribution, and reproduction in any medium, provided the original work is properly cited.

  • 4 Views
  • 0 Download
  • 13 Crossref
prev next
  • This study aimed to provide supporting data for the management of dietary habits in depression by comparing health and nutrition in adult Korean women according to depression status. A total of 2,236 women aged between 19 and 64 years who participated in the 2013 Korea National Health and Nutrition Examination Survey were divided into a depression group (n = 315) and a non-depression group (n = 1,921). Among 19–29-year-old women, the depression group showed higher proportions of individuals with impairment of everyday activities, menopause, and suicidal thoughts than the non-depression group. The depression group showed lower intake of cereal, chocolate, meat, and carbonated drinks, as well as a lower index of nutritional quality (INQ) for protein, iron, and niacin. Among 30–49-year-old women, the depression group showed higher proportions of individuals with impairment of everyday activities, chronic disease, stress, and suicidal thoughts. The depression group showed lower intake of rice with mixed grains and higher intake of instant and cup noodles than the non-depression group. Among 50–64-year-old women, the depression group showed higher proportions of individuals with impairment of everyday activities, menopause, stress, and suicidal thoughts. The depression group showed lower intake of vegetables, mushrooms, and seaweed, lower nutritional intake of fat, saturated fat, and n-3 fatty acids, as well as a lower INQ for niacin and a lower Recommended Food Score. For all age groups, individuals with depression showed poorer health and nutritional intake than healthy individuals, demonstrating a correlation of depression with health and nutritional intake.
Depression occurs throughout modern society, differs between individuals, and displays a complex pattern of physical, genetic, and socioeconomic factors [1,2,3]. Depression presents with emotional symptoms such as sadness, frustration, emptiness, despair, guilt, and lethargy, as well as with motivational symptoms, such as loss of interest, loss of appetite, and apathy. The disease can also be associated with behavioral issues such as a decline in interpersonal relations and social life, indecisiveness, and procrastination, and with cognitive symptoms such as impaired memory, judgment, and thinking, attention difficulties, and impaired task performance; in extreme cases, it can even lead to suicide [4].
In a 2013 analysis of depression by the Health Insurance Review Agency (HIRA), using assessment data for health insurance and medical aid from 2009 to 2013, the number of patients receiving treatment increased by approximately 109,000 (19.6%) over 5 years, with an average annual increase of 4.6%, while the total treatment costs increased by 57.9 billion KRW (27.1%), equivalent to an average annual increase of 6.2%. In terms of sex, the annual number of female patients receiving treatment was approximately 2.2-fold higher than the number of male patients [5]. The prevalence of depression in Korean adults is 10.2%, but the rate is 6.6% for men and 13.7% for women, meaning that depression is approximately twice as common in women [6]. Reasons for the higher prevalence of depression in women include cyclic hormonal changes related to menstruation, childbirth, and menopause, in addition to the dual burden of marriage and child-rearing, abuse, low social achievement, genetic factors, and the characteristics of the female gender role [1]. Based on data from the US National Health and Nutrition Examination Survey from 2005–2008, the prevalence of depressive symptoms in adults was 22%, and 0.6% of these were reported to have severe depression [7]. Depression is a chronic, recurring disease that affects more women than men, and approximately 20% of women in the United States experience depression at some point in their lives [8]. By 2020, depression is predicted to be the second most prevalent disease worldwide, after cardiac disease [9].
The severity of depression differs with health, with better health associated with lower severity of depression [10]. Depressed women have more health problems and physical symptoms than women who are not depressed, and depressive tendencies are associated with a more negative perception of one's own health [11]. Moreover, a study found that a group of individuals with experience of disease within the last year had a higher severity of depression than the group with no disease in the last year [12].
Depression can be related to nutritional deficiencies, and dietary factors have been reported as risk factors for depression and cognitive impairment [13,14]. Depression can be relieved through consumption of a natural, vegan diet with plenty of brown rice, mixed grains, whole grains, beans, raw vegetables, fruit, seeds, and nuts [15]. In addition, depressive symptoms were reported to improve when processed foods and caffeinecontaining foods were restricted for three weeks in depressed patients [16]. In a study from Europe, high consumption of fish was associated with a lower risk of depression, but this association was not present for Asia, North America, South America, or Oceania [17]. Meanwhile, among the psychological functions of carbohydrates, fatty acids, cholesterol, and folic acid, effects on depression have been reported, in particular [18,19,20,21], and good quality proteins, vitamins, and minerals have been reported to have a protective effect against depression [22,23]. Depression could be also relieved through the consumption of sufficient vitamin B1, vitamin B6, vitamin B12, niacin, pantothenic acid, biotin, choline, calcium, phosphorus, magnesium, potassium, sodium, iodine, and copper, which are nutrients that participate in neural and mental activity [15].
As reflected by the above studies, there have been a large number of studies on dietary habits and dietary factors in depression. Nevertheless, there is still a significant lack of research regarding the correlations of depression with health and nutrition in adult Korean women. Therefore, the current study used data from the Korea National Health and Nutrition Examination Survey (KNHANES), which is able to reflect the characteristics of adult Korean women, to examine two hypotheses: first, that depressed individuals would show poorer physical and mental health than non-depressed individuals; second, that depressed individuals would show poorer nutritional intake than non-depressed individuals. By comparing health and nutritional intake according to the presence or absence of depression for adult Korean women of different age groups, this study aimed to provide supporting data to assist in dietary management in depression.
Data and subjects
This study used data from the first year of the KNHANES VI (2013), which was performed by the Korean Centers for Disease Control and Prevention (CDC) [24]. A total of 8,018 subjects participated in at least one survey out of the health survey, the medical examination, and the nutrition survey, and of these, 2,666 were adult women aged 19–64 years. Among these, 26 pregnant women, 43 breastfeeding women, six women who did not respond to the diet questionnaire, and 112 women currently undergoing dietary therapy for medical purposes were excluded, leaving a total of 2,479 subjects initially included in the study. We used KNHANES database available to the public and approved by the Institutional Review Board (IRB) of the KCDC.
Research methods

Criteria for the depression group

The criteria for dividing the subjects into the depression group and the non-depression group were as follows: from among the 50 people who responded "Yes" to the question of "Do you currently have depression?" on the health questionnaire and the 293 people who responded "Yes" to the question of "Have you felt such sadness or despair that it impaired your daily activities for at least two weeks in the last year?" the 315 subjects (12.7%) who responded "Yes" to both questions were included in the depression group. Excluding these subjects and the 243 subjects (9.8%) who did not respond to the above questions, the remaining 1,921 subjects (77.5%) were classified as the non-depression group, meaning that there were a total of 2,236 subjects in the two groups combined. Subjects were divided into age groups of 19–29 years, 30–49 years, and 50–64 years, in accordance with the Korea Nutrition Society's Dietary Reference Intakes for Koreans [25]. The depression group included 45 subjects (14.3%) aged 19–29 years, 119 subjects (37.8%) aged 30–49 years, and 151 subjects (47.9%) aged 50–64 years, while the non-depression group included 322 subjects (16.8%) aged 19–29 years, 958 subjects (49.9%) aged 30–49 years, and 641 subjects (33.4%) aged 50–64 years.
Sociodemographic characteristics

General characteristics

In terms of general characteristics, height, weight, waist circumference, and body mass index (BMI) were obtained from the health examination survey, and sex, age, education level, annual frequency of alcohol consumption, current smoking status, and moderate physical activity were obtained from the health survey. For waist circumference cutoff values, 85 cm and 90 cm were used for women and men, respectively, in accordance with the Korean Society for the Study of Obesity (KOSSO) criteria for abdominal obesity [6,26].

Social characteristics

In terms of social characteristics, area of residence, economic activities, income level, and marital status were obtained from the health survey. Income level was classified by quartiles (by individuals) into "Low", "Lower middle", "Upper middle", and "High".
Health status

Obesity and body weight control

Obesity status was obtained from the health examination survey, and body weight control in the last year was obtained from the health survey. Obesity status was classified into "Underweight", "Normal", and "Obese", where BMI < 18.5 kg/m2 is underweight, 18.5–24.9 kg/m2 is normal, and ≥ 25 kg/m2 is obese [6,26].

Current state of health

Daily activities, subjective health, menopausal status, and at least one diagnosis of a chronic disease (hypertension, hyperlipidemia, stroke, myocardial infarction, angina, diabetes, cancer) by a doctor were obtained from the health survey.

Mental health

Average daily sleep duration, usual perceived stress, and suicidal thoughts in the last year were obtained from the health survey.
Nutritional intake

Food intake

Within the nutrition survey, this study used the average intake frequency and the average intake per serving in the last year for 112 types of food from the food intake frequency survey. Daily intake frequency was calculated using the median of intake frequency responses, and intake per serving was converted to a ratio relative to the recommended daily intake amounts. Finally, daily intake frequency and intake per serving were used to obtain the servings/day.
The 112 food items were reclassified into the following 29 categories: white rice, rice and mixed grains, other rice, noodles, instant noodles/cup noodles, rice cakes, bread, pizza/hamburger/sandwich, cereal, snacks, chocolate, starchy root vegetables, sugars, beans, nuts, vegetables/mushrooms/seaweed, kimchi, fruit, meat, processed meat, eggs, fish and shellfish, processed fish and shellfish, milk and dairy, oils, coffee, carbonated drinks, tea, and alcohol.

Nutrient intake

Daily food intake data had been collected by the 24-hour dietary recall method. Average daily nutrient intake was obtained for the 21 nutrients.

Index of nutritional quality (INQ)

The food intake data used were collected by the 24-hour dietary recall method, as part of the nutrition survey. The INQ is an index that has been corrected for energy intake and evaluates whether an individual is consuming the recommended amount of individual nutrients. It is represented by the ratio of nutrient intake per 1,000 kcal to recommended nutrient intake per 1,000 kcal. Hence, for meals with an INQ greater than 1.0 for a particular nutrient, intake of this nutrient is high relative to energy intake, and so, the quality of that meal is considered high. Meanwhile, if a meal has an INQ of less than 1.0, this means that the nutrient intake is low relative to energy intake and so the quality of that meal is considered to be low [27]. As with the nutrient adequacy ratio (NAR), this was calculated for nine nutrients.
INQ = nutrient intake per 1,000 kcal / recommended nutrient intake per 1,000 kcal

Recommended Food Score (RFS)

The daily number of meals and the average intake frequency over the last year for 112 types of food were obtained from the food intake frequency survey, as part of the nutrition survey. The RFS is a method for evaluating the quality of meals, developed by Kant et al. [28] Based on the weekly intake frequency of healthy foods such as mixed grains, fruit, vegetables, lean meat, and low-fat dairy products, 1 point is given for foods consumed at least once per week, and 0 points are given for foods consumed less than once per week. In South Korea, Kim et al. [29] calculated the RFS using Korean foods to suit the domestic dietary environment, using categories of grains, beans, vegetables, seaweed, fruits, seafood, dairy, and nuts [30]. In the current study, the method of Kim et al. [29,30] was used with a few changes.
In this study, a total of 43 items were analyzed: the daily number of meals eaten, plus 42 types of food. One point was given if all three meals were eaten each day, and for the remaining food categories, 1 point was given if the intake frequency was at least once per week, and 0 points were given if the intake frequency was less than once per week, meaning that the maximum possible score was 43 points. Food categories were classified as grains (1 item), beans (6), vegetables (10), seaweed (4), fruits (11), seafood (6), dairy (3), and nuts (1).
Statistical processing
SAS program (version 9.3, SAS Institute Inc., Cary, NC, USA) was used for statistical analysis of all data, applying the proc survey procedure such as proc surveyreg. Data analysis for the KNHANES utilized stratification variables and cluster variables.
The t-test and Chi-square test were used to analyze differences in general characteristics, social characteristics, obesity, body weight control, health, and mental health according to depression status, as well as for the comparative analysis of nutrition intake assessment according to nutrient intake and food intake. The statistical significance level was p < 0.05.
Sociodemographic characteristics

General characteristics

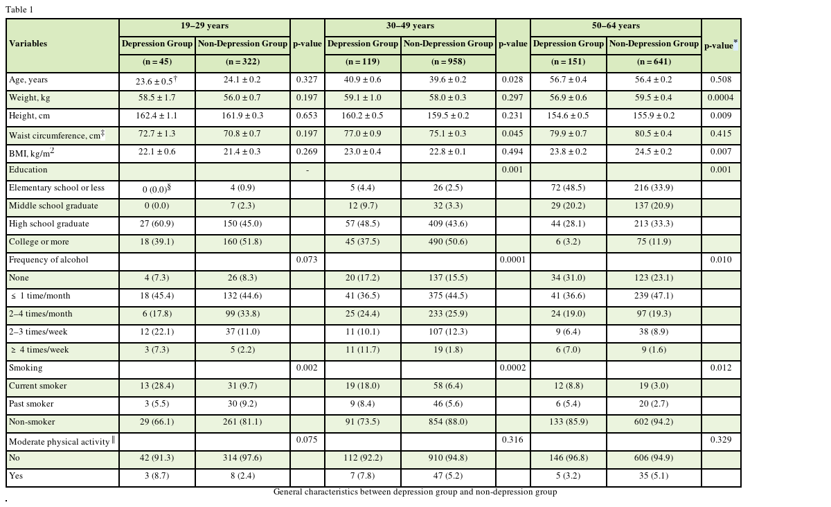
Table 1 displays the general characteristics for the depression group and the non-depression group in this study. The average ages in the depression group and the non-depression group, respectively, were 23.6 ± 0.5 and 24.1 ± 0.2 years for the 19–29 age group, 40.9 ± 0.6 and 39.6 ± 0.2 years for the 30–49 age group, and 56.7 ± 0.4 and 56.4 ± 0.2 years for the 50–64 age group. Body weight, height, and BMI were lower for the depression group than the non-depression group in the 50–64 age group (p < 0.0004, p < 0.009, p < 0.007), and waist circumference was significantly higher for the depression group in the 30–49 age group (p < 0.045). In terms of education, the proportion of middle school graduates or lower in the 30–49 and 50–64 age groups (p < 0.001, p < 0.001) was higher for the depression group, while the proportion of college graduates or higher was significantly higher in the non-depression group. In terms of alcohol consumption, the depression group featured a higher number of individuals in the 30–49 and 50–64 age groups (p < 0.0001, p < 0.010) who drank at least four times per week, while the proportion of non-drinkers in the non-depression group was significantly higher. In terms of smoking, the proportion of current smokers was higher in the depression group for the 19–29, 30–49, and 50–64 age groups (p = 0.002, p = 0.0002, p = 0.012), while the proportion of never smokers was significantly lower in the depression group.

Social characteristics

Table 2 displays the social characteristics for the depression group and the non-depression group in this study. The proportion of subjects living in rural areas was higher in the depression group for the 19–29 and 50–64 age groups (p = 0.007, p = 0.033). In terms of economic activity, the proportion of unemployed and economically inactive subjects was significantly higher in the depression group for the 19–29 age group (p = 0.003). The depression group showed a higher proportion of low income than the non-depression group in the 30–49 age group (p = 0.003), while the proportion of upper middle and high income was significantly lower in the depression group. In terms of marital status, the depression group showed a significantly higher proportion of separated/bereaved/divorced subjects in the 30–49 and 50–64 age groups (p < 0.0001, p = 0.050).
Health

Obesity and body weight control

Table 3 displays the results for obesity and body weight control in the depression group and the non-depression group in this study. The depression group showed a lower proportion of underweight and obese subjects than the non-depression group in the 50–64 age group (p = 0.017), and showed a higher proportion of subjects with normal BMI. The proportion of subjects who had attempted to lose weight or gain weight in the last year was higher in the depression group for the 30–49 age group (p = 0.001), while the proportion of subjects who had attempted to maintain their weight or who had never attempted body weight control was lower in the depression group. The depression group showed a lower proportion of subjects who had attempted to lose weight, maintain body weight, or had never attempted body weight control for the 50–64 age group (p = 0.043), while the proportion of subjects who had attempted to gain weight was significantly higher for the depression group than the non-depression group.

Current health

Table 4 displays the current state of health for the depression group and the non-depression group in this study. The proportion of subjects with impairment of daily activities was significantly higher in the depression group for the 19–29, 30–49, and 50–64 age groups (p = 0.0004, p < 0.0001, p < 0.0001), while the proportion of subjects with "bad" or "very bad" subjective health was significantly higher in the depression group for the 30–49 and 50–64 age groups (p < 0.0001, p < 0.001). The proportion of subjects who had undergone menopause was significantly higher for the depression group in the 19–29 and 50–64 age groups (p = 0.030, p = 0.027), while the depression group also showed a significantly higher proportion of subjects in the 30–49 age group (p = 0.0003) who currently had at least one chronic disease.

Mental health

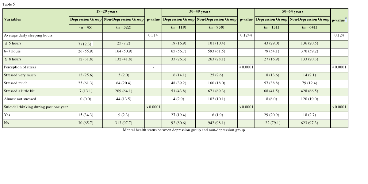
Table 5 displays the mental health results for the depression group and the non-depression group in this study. In terms of perceived stress, the depression group showed a significantly higher proportion of subjects reporting "a lot of stress" or "quite a lot of stress" for the 30–49 and 50–64 age groups (p < 0.0001, p < 0.0001). The proportion of subjects who reported suicidal thoughts within the last year was significantly higher in the depression group than the non-depression group for the 19–29, 30–49, and 50–64 age groups (p < 0.0001, p < 0.0001, p < 0.0001).
Nutritional intake

Food intake

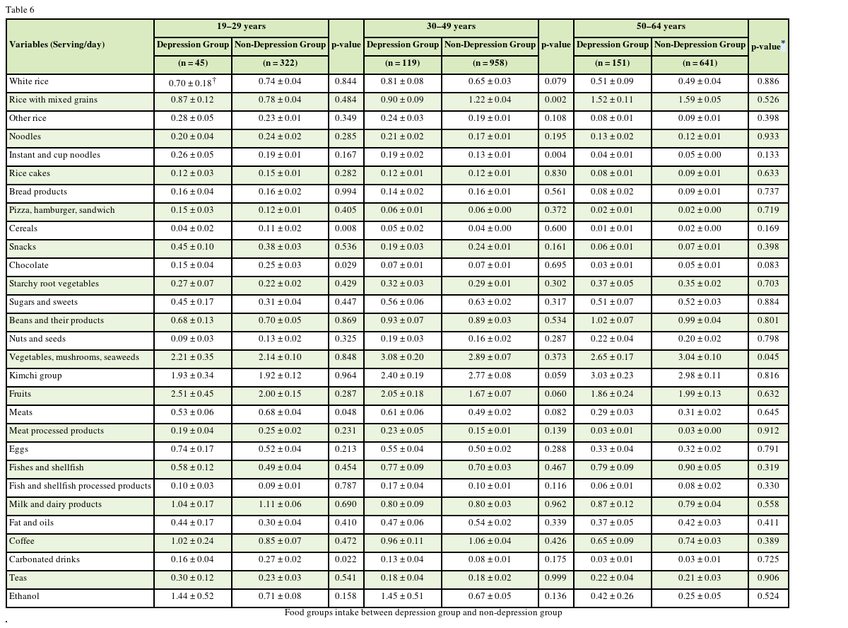
Table 6 shows the food intake amounts for the depression group and the non-depression group in this study. For the 19–29 age group, the depression group showed significantly lower intake of cereal (p = 0.008), chocolate (p = 0.029), meat (p = 0.048), and carbonated drinks (p = 0.022). For the 30–49 age group, the depression group showed significantly lower intake (in servings/day) of rice with mixed grains (p = 0.002), and significantly higher intake of instant noodles and cup noodles (p = 0.004). For the 50–64 age group, the depression group showed significantly lower intake of vegetables, mushrooms, and seaweed (p = 0.045).

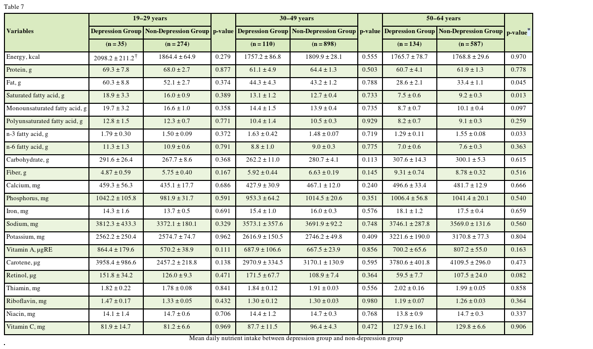
Nutrient intake

Table 7 shows the nutrient intake for the depression group and the non-depression group in this study. Compared to the non-depression group, the depression group showed significantly lower intake of fat (p = 0.045), saturated fat (p = 0.013), and n-3 fatty acids (p = 0.033) for the 50–64 age group.

INQ and RFS

Table 8 displays the INQ and RFS for the depression group and the non-depression group in this study. In the 19–29 age group, the INQ for protein was significantly lower in the depression group than the non-depression group (p = 0.017), but since it was higher than 1.0, there was no problem with the quality of meals. Similarly, the INQ for iron was significantly lower in the depression group for the 19–29 age group (p = 0.038), but the value was higher than 1.0, and so there was no problem with the quality of meals. The INQ for niacin was significant lower in the depression group for the 19–29 and 50–64 age groups (p = 0.003, p = 0.045), but there were no problems with meals for either of these groups. The INQ for calcium was below 1.0 in both the depression and the non-depression group for all age groups, and the INQ for vitamin C was below 1.0 in both the depression and the non-depression group for the 19–29 age group, indicating a low quality of meals for these two nutrients. In the 50–64 age group, the RFS of 13.75 ± 0.63 for the depression group was significantly lower than the score of 15.23 ± 0.39 for the non-depression group (p < 0.045).
The current study aimed to investigate the association of depression with health and dietary habits in different age groups of adult Korean women, by comparing health and nutrition intake in a depression group and a non-depression group.
In the 50–64 age group, the proportion of underweight and obese subjects was lower in the depression group than in the non-depression group, while the proportion of individuals with normal BMI was significantly higher. A study of 50–89-year-old women in the United States reported that there was no correlation between obesity and the risk of depression [31]. However, in a study of targets for adult disease screening, obese women with a BMI of at least 27 kg/m2 were reported to have strong depressive tendencies [32], and there have been several recent studies supporting a positive correlation between depression and obesity [33]. Therefore, it is thought that the relationship between depression and obesity will require additional study in the future.
The proportion of subjects with impairment of daily activities was significantly higher in the depression group for all age groups. One previous study of adult women with disability reported an association between depression and disability grade, multiple disabilities, and health status [34], while an analysis of the pathway between physical function and depression in patients in a geriatric ward in Pittsburgh, in the US, reported an effect of physical function on depression. Higher rates of depression have been reported in patients with overall restriction of activity, as well as restricted activity due to cardiac disease, stroke, hypertension, fracture or joint injury, arthritis or rheumatism, respiratory disease, visual disability, or disability of the neck [35]. These results are broadly consistent with the results of our study.
For the 30–49 and 50–64 age groups, subjective health was worse in the women in the depression group than in the women in the non-depression group. A previous study in middle-aged women also reported that better health was associated with milder depression severity, and that severity of depression increased with poorer self-perception of physical condition [36]. Another study on the relationship between depression and subjective health perception reported that milder depression sensitivity was associated with better self-perception of health [37].
For the 19–29 and 50–64 age groups, the depression group showed a significantly higher proportion of subjects who had experienced menopause. In a previous study, a group of individuals who had experienced menopause showed a higher severity of depression [38], while a study investigating intermediary variables between menopause and depression in 45–54-year-old Turkish women reported that sleeping difficulties and changes in memory, as symptoms of menopause, were significant predictive factors of depression [39]. Although the age of menopause varies among countries, the average age of menopause for women in developed countries is generally 52 years, while the average age in Korean women is 49.3 years, in Turkish women it is 45.8 years, and in Mexican women it is 48 years [40,41,42].
For the 30–49 age group in the present study, the proportion of subjects currently diagnosed with at least one chronic disease was significantly higher in the depression group than in the nondepression group. This is consistent with other results, such as the findings of a study of 40-year-old adults that women with an existing disease were more likely to experience depressed moods [43], and a study reporting a higher rate of depression in a group with hypertension, stroke, myocardial infarction, or angina compared to the group without any of these diseases [35]. The vascular depression hypothesis is based on the idea that vascular diseases such as diabetes, hypertension, and cardiac disease cause cerebral small vessel disease in subcortical regions of the brain, and that this, in turn, causes depression through the impairment of neurobiological function [44]. Conversely, there are also reports that the excessive secretion of adrenocortical hormones in depression causes accumulation of fat, abdominal obesity, diabetes, and hypertension [45].
Perceived everyday stress was significantly higher in the depression group for the 30–49 and 50–64 age groups. In one study of factors affecting depression in menopausal women, stress had the most explanatory power at 53%, compared to 3% for menopausal symptoms, 2% for marriage adaptation, and 1% for health promoting behaviors [38].
In terms of suicidal thoughts in the last year, the depression group showed a significantly higher proportion of subjects with suicidal thoughts compared to the non-depression group, for all age groups. Similarly, a study of female dental hygiene students showed that higher levels of depression were associated with more frequent thoughts about death, experience of suicidal impulses, and suicide attempts [46]. A study in rural areas in Iowa, in the US, also reported that suicidal thoughts were most common in middle-aged individuals of 45–64 years, and showed a strong association with depression [47].
In terms of food intake, for the 19–29 age group, the depression group showed a lower intake of cereal, chocolate, meat, and carbonated drinks compared to the non-depression group. For the 30–49 age group, the depression group showed a lower intake of rice with mixed grains, and a higher intake of instant noodles and cup noodles. For the 50–64 age group, the depression group showed a significantly lower intake of vegetables, mushrooms, and seaweed.
In a previous study, high intake of fruits, vegetables, and fish was reported to protect against depressive symptoms in 19–29-year-old women, while processed meats, chocolate, sweet desserts, fried food, refined grains, and high-fat dairy products were reported to increase vulnerability to depressive symptoms [48]. The diet used for depression in a study from the United Kingdom consisted of reducing sugar and stimulants such as caffeinated drinks and nicotine, increasing fruit and vegetable intake to five servings/day, consuming oily fish such as mackerel, tuna, salmon, or herring at least twice a week, and consuming plenty of protein from fish, meat, eggs, beans, and pulses [49].
For 30–49-year-old women, a prospective cohort study in the United Kingdom showed that high scores for depression were associated with a high intake of sweet desserts, fried food, processed meat, refined grains, and high-fat dairy products [50], while a higher prevalence of psychiatric symptoms was reported in subjects with deficiency of folic acid from fruit, vegetables, beans, and seaweed [51]. A study from Spain also reported that fast food could increase the risk of depression [52]. However, a study of the 20–39-year-old subjects who participated in the US National Health and Nutrition Examination Survey in 1999–2000 and 2001–2002 did not discover a significant association between depression and consumption of fish or seafood [53].
For 50–64-year-old women, one study of middle-aged adults in the United Kingdom reported a negative correlation between depressive symptoms and meals consisting of natural foods, including large amounts of vegetables, fruit, and fish, while the authors also reported a positive correlation with processed foods, including large amounts of processed meat, fried food, refined grains, and sweet desserts [50]. Another study from China reported a relationship between depression and intake of fish, and high intake of fish was reported to reduce the risk of depression in Europe, but was reported to show no correlation in Asia, North America, South America, or Oceania [54].
In terms of nutrient intake, the 50–64 age group showed a significantly lower intake of fat, saturated fat, and n-3 fatty acids in the depression group compared to the non-depression group. A study of female college students in Spain reported that low intake of n-3 fatty acids was related to depression [55]. N-3 fatty acids (omega-3 fatty acids), eicosapentanoic acid, and docosahexanoic acid are specific polyunsaturated fatty acids that are found in high concentrations in the brain and the phospholipid membranes of nerve cells [56], and a lack of n-3 fatty acids can lead to changes in plasma membrane microviscosity that can alter the neurotransmitter systems and progress to mood disorders [57]. A study from France reported that Eskimos consume up to 16 g of fish oil per day, and that this high intake of n-3 fatty acids promotes production of the neurotransmitter dopamine over the long-term, causing the emotional centers of the brain to produce a pleasant mood and improving the efficacy of treatment for depression [58]. In a study from the United States, a high ratio of n-6 fatty acids to n-3 fatty acids in the diet was reported to contribute to an increased incidence of depression and worsening severity of depression [59]. However, in a case-control study from Japan, depression was not associated with any difference in consumption frequency of fish or polyunsaturated fatty acids [60].
For the 19–29 age group, the INQs for protein, iron, and niacin were lower in the depression group than in the non-depression group, while for the 50–64 age group, the INQ of niacin was significantly lower in the depression group. In a previous study of adult women, the INQs for protein, phosphorus, calcium, vitamin A, vitamin B1, and vitamin B2 were lower in the depression group than in the non-depression group, while the INQs for calcium and vitamin B2 were below 0.75 in both groups, indicating a poor quality of meals for these nutrients [13,61].
The RFS is a method of assessing the quality of meals based on the weekly frequency of consumption of healthy foods, such as mixed grains, fruit, vegetables, lean meat, and low-fat dairy products. For the 50–64 age group, the depression group showed a significantly lower RFS than the non-depression group, and a high RFS was associated with less depression. A study of adults in Japan found that a healthy Japanese diet, characterized by high intake of vegetables, fruit, tofu, and mushrooms, was associated with a reduced prevalence of depressive symptoms [62].
This study had several limitations: first, since the KNHANES was a cross-sectional study, it is unable to elucidate causation for the factors that affect depression. Second, nutrient intake was calculated as daily intake based on the 24-hour dietary recall method, but this does not provide a perfect estimate of everyday intake. Nevertheless, by using data from the food consumption frequency survey, consisting of 112 foods commonly eaten by Koreans, it was possible to examine the relationship between intake of each food and depression. In spite of its limitations, this study can be considered important insofar as it has investigated various factors related to depression within sociodemographic characteristics, health, and nutrition for different age groups of adult women in South Korea.
In terms of sociodemographic characteristics, South Korean women with depression were more likely to drink and smoke, were more likely to live in an rural area, were more likely to be unemployed or economically inactive, and were more likely to be separated, bereaved, or divorced, while they showed lower education levels and incomes. For all age groups studied, women with depression showed poorer health than healthy subjects, and the 30–49 and 50–64 age groups, in particular, demonstrated significant differences for many variables. Depressed subjects also showed poorer nutrition than healthy subjects for all age groups. Therefore, in adult Korean women of different ages, health and nutrition were found to be related to depression, while this association was increased for older age groups.
Nutritional deficiencies that result from depression can be important factors that worsen mental health and can cause other diseases. Therefore, together with efforts to improve health and diet, various psychological factors also need to be considered when planning and implementing a nutrition plan to manage dietary habits in individuals with depression. In the future, we think it will be necessary to continue performing research into various factors that can provide directions for dietary management in depression for adult women of different age groups. Prospective and clinical studies should be favored over crosssectional studies.

Conflict of interest: The authors have declared no conflict of interest.

  • 1. Sung KS. Study on relationships between depression and the quality of life (EQ-5D): centered on the subjects of 『Survey on national health and nutrition the fourth period the first year(2007)』 [master's thesis]. Seoul: Yonsei University; 2009.
  • 2. Choi MK, Lee YH. Depression, powerlessness, social support, and socioeconomic status in middle aged community residents. J Korean Acad Psychiatr Ment Health Nurs 2010;19:196-204.
  • 3. Hong KW. Korean depression genetics studies. Public Health Wkly Rep 2012;5:342-345.
  • 4. Kwon SM. Relationship between depression and anxiety: Their commonness and difference in related life events and cognitions. Psychol Sci 1996;5:13-38.
  • 5. Health Insurance Review & Assessment Service (KR). Total medical expenses status and care personal by gender's depression [Internet]. 2014. cited 2015 March 15. Available from http://www.hira.or.kr/co/search.do?collection=ALL&query=%EC%9A%B0%EC%9A%B8&x=0&y=0
  • 6. Ministry of Health and Welfare. Korea Centers for Disease Control and Prevention. Korea Health Statistics 2013: Korea National Health and Nutrition Examination Survey (KNHANES VI-1). Cheongju: Korea Centers for Disease Control and Prevention; 2014.
  • 7. Shim RS, Baltrus P, Ye J, Rust G. Prevalence, treatment, and control of depressive symptoms in the United States: results from the National Health and Nutrition Examination Survey (NHANES), 2005-2008. J Am Board Fam Med 2011;24:33-38.
  • 8. Lucas M, Chocano-Bedoya P, Shulze MB, Mirzaei F, O'Reilly EJ, Okereke OI, Hu FB, Willett WC, Ascherio A. Inflammatory dietary pattern and risk of depression among women. Brain Behav Immun 2014;36:46-53.
  • 9. World Health Organization. Burden of mental and behavioral disorder. The world health report 2001-mental health: new understanding, new hope. Geneva: World Health Organization; 2001, pp 19-46.
  • 10. Kim HY, Koh HJ. Study on depression and ego identity of middle-aged women. J Korean Acad Womens Health Nurs 1997;3:117-138.
  • 11. Woods NF, Mitchell ES. Pathways to depressed mood for midlife women: observations from the Seattle Midlife Women's Health Study. Res Nurs Health 1997;20:119-129.
  • 12. Kim JY. A study of the relationship between self concept and depression of middle-aged women. J Korean Acad Womens Health Nurs 1997;3:103-116.
  • 13. Lee JW. A comparative study on eating habits and nutrients intake of depressed and normal subjects: base on 2008 Korean National Health and Nutrition Examination Survey [master's thesis]. Daejeon: Chungnam National University; 2009.
  • 14. Rogers PJ. A healthy body, a healthy mind: long-term impact of diet on mood and cognitive function. Proc Nutr Soc 2001;60:135-143.
  • 15. Song SJ, Kim MS. Case study on insomniac, melancholiac, schizophrenic patients taking well-balanced nutrition & vitamin B group. J Korean Soc Jungshin Sci 2002;6:11-28.
  • 16. Christensen L. Psychological distress and diet: effects of sucrose and caffeine. J Appl Nutr 1988;40:44-50.
  • 17. Li F, Liu X, Zhang D. Fish consumption and risk of depression: a meta-analysis. J Epidemiol Community Health 2016;70:299-304.
  • 18. Wurtman RJ, Hefti F, Melamed E. Precursor control of neurotransmitter synthesis. Pharmacol Rev 1980;32:315-335.
  • 19. Bruinsma KA, Taren DL. Dieting, essential fatty acid intake, and depression. Nutr Rev 2000;58:98-108.
  • 20. Young SN. The use of diet and dietary components in the study of factors controlling affect in humans: a review. J Psychiatry Neurosci 1993;18:235-244.
  • 21. Yim YH. The effect of calcium supplementation and supplementary duration with depression at Korean home-maker [master's thesis]. Busan: Dong-A University; 2004.
  • 22. Kim JM, Stewart R, Kim SW, Yang SJ, Shin IS, Yoon JS. Predictive value of folate, vitamin B12 and homocysteine levels in late-life depression. Br J Psychiatry 2008;192:268-274.
  • 23. Skarupski KA, Tangney C, Li H, Ouyang B, Evans DA, Morris MC. Longitudinal association of vitamin B-6, folate, and vitamin B-12 with depressive symptoms among older adults over time. Am J Clin Nutr 2010;92:330-335.
  • 24. Ministry of Health and Welfare. Korea Centers for Disease Control and Prevention. Korea Health Statistics 2013: Korea National Health and Nutrition Examination Survey (KNHANES VI-1). Cheongju: Korea Centers for Disease Control and Prevention; 2014.
  • 25. The Korean Nutrition Society. Dietary referece intakes for Koreans. 1st rev. ed. Seoul: The Korean Nutrition Society; 2010.
  • 26. Korean Society for the Study of Obesity. Obesity treatment guidelines: 2012. Seoul: Korean Society for the Study of Obesity; 2012.
  • 27. Oh SY. Analysis of method on dietary quality assessment. Korean J Community Nutr 2000;5:362-367.
  • 28. Kant AK, Schatzkin A, Graubard BI, Schairer C. A prospective study of diet quality and mortality in women. JAMA 2000;283:2109-2115.
  • 29. Kim JY, Yang YJ, Yang YK, Oh SY, Hong YC, Lee EK, Kwon O. Diet quality scores and oxidative stress in Korean adults. Eur J Clin Nutr 2011;65:1271-1278.
  • 30. Yang YJ. Mild cognitive impairment and nutrition in old adults. Hanyang Med Rev 2014;34:53-59.
  • 31. Palinkas LA, Wingard DL, Barrett-Connor E. Depressive symptoms in overweight and obese older adults: a test of the "jolly fat" hypothesis. J Psychosom Res 1996;40:59-66.
  • 32. Lee JH, Kim GH, Kim JW. Differences in depression, anxiety, self-esteem according to the degree of obesity in women: a pilot study. J Orient Neuropsychiatry 2002;13:93-100.
  • 33. Onyike CU, Crum RM, Lee HB, Lyketsos CG, Eaton WW. Is obesity associated with major depression? Results from the third national health and nutrition examination survey. Am J Epidemiol 2003;158:1139-1147.
  • 34. Kwon BS, Park HS. A study of the actual conditions and influencing factors on depression of female adults with disabilities. Korean J Soc Welf 2005;57:169-192.
  • 35. Kim JM, Lee JA. Depression and health status in the elderly. J Korean Gerontol Soc 2010;30:1311-1327.
  • 36. Jun SJ, Kim HK, Lee SM, Kim SA. Factors influencing middle-aged women's depression. J Korean Community Nurs 2004;15:266-276.
  • 37. Kang HS, Kim KJ. The correlation between depression and physical health among the aged. J Korean Public Health Assoc 2000;26:451-459.
  • 38. Chang HK, Cha BK. Influencing factors of climacteric women's depression. J Korean Acad Nurs 2003;33:972-980.
  • 39. Bosworth HB, Bastian LA, Kuchibhatla MN, Steffens DC, McBride CM, Skinner CS, Rimer BK, Siegler IC. Depressive symptoms, menopausal status, and climacteric symptoms in women at midlife. Psychosom Med 2001;63:603-608.
  • 40. Melby MK, Lock M, Kaufert P. Culture and symptom reporting at menopause. Hum Reprod Update 2005;11:495-512.
  • 41. Price SL, Storey S, Lake M. Menopause experiences of women in rural areas. J Adv Nurs 2008;61:503-511.
  • 42. Radloff LS. The CES-D scale: a self-report depression scale for research in the general population. Appl Psychol Meas 1977;1:385-401.
  • 43. Chu JE, Lee HJ, Yoon CH, Cho HI, Hwang JY, Park YJ. Relationships between depressed mood and life style patterns in Koreans aged 40 years. J Korean Soc Food Sci Nutr 2014;43:772-783.
  • 44. Alexopoulos GS, Meyers BS, Young RC, Campbell S, Silbersweig D, Charlson M. 'Vascular depression' hypothesis. Arch Gen Psychiatry 1997;54:915-922.
  • 45. Vogelzangs N, Penninx BW. Depressive symptoms, cortisol, visceral fat and metabolic syndrome. Tijdschr Psychiatr 2011;53:613-620.
  • 46. Han SY, Jung UJ, Cheon SY. A study on the degree of depression and death orientation of some students majoring in dental hygiene. J Dent Hyg Sci 2013;13:230-237.
  • 47. Turvey C, Stromquist A, Kelly K, Zwerling C, Merchant J. Financial loss and suicidal ideation in a rural community sample. Acta Psychiatr Scand 2002;106:373-380.
  • 48. Akbaraly TN, Brunner EJ, Ferrie JE, Marmot MG, Kivimaki M, Singh-Manoux A. Dietary pattern and depressive symptoms in middle age. Br J Psychiatry 2009;195:408-413.
  • 49. Holford P. Depression: the nutrition connection. Prim Care Ment Health 2003;1:9-16.
  • 50. Akbaraly TN, Brunner EJ, Ferrie JE, Marmot MG, Kivimaki M, Singh-Manoux A. Dietary pattern and depressive symptoms in middle age. Br J Psychiatry 2009;195:408-413.
  • 51. Fava M, Borus JS, Alpert JE, Nierenberg AA, Rosenbaum JF, Bottiglieri T. Folate, vitamin B12, and homocysteine in major depressive disorder. Am J Psychiatry 1997;154:426-428.
  • 52. Sánchez-Villegas A, Toledo E, de Irala J, Ruiz-Canela M, Pla-Vidal J, Martínez-González MA. Fast-food and commercial baked goods consumption and the risk of depression. Public Health Nutr 2012;15:424-432.
  • 53. Mora K. Diet and depression: a secondary analysis from NHANES 1999-2002 [doctor's thesis]. Tucson (AZ): The University of Arizona; 2006.
  • 54. Li F, Liu X, Zhang D. Fish consumption and risk of depression: a meta-analysis. J Epidemiol Community Health 2016;70:299-304.
  • 55. Sánchez-Villegas A, Henríquez P, Bes-Rastrollo M, Doreste J. Mediter-ranean diet and depression. Public Health Nutr 2006;9:1104-1109.
  • 56. Freeman MP. Omega-3 fatty acids in psychiatry: a review. Ann Clin Psychiatry 2000;12:159-165.
  • 57. Maidment ID. Are fish oils an effective therapy in mental illness--an analysis of the data. Acta Psychiatr Scand 2000;102:3-11.
  • 58. Chalon S, Delion-Vancassel S, Belzung C, Guilloteau D, Leguisquet AM, Besnard JC, Durand G. Dietary fish oil affects monoaminergic neurotransmission and behavior in rats. J Nutr 1998;128:2512-2519.
  • 59. Bruinsma KA, Taren DL. Dieting, essential fatty acid intake, and depression. Nutr Rev 2000;58:98-108.
  • 60. Su KP, Huang SY, Chiu CC, Shen WW. Omega-3 fatty acids in major depressive disorder. A preliminary double-blind, placebo-controlled trial. Eur Neuropsychopharmacol 2003;13:267-271.
  • 61. Park KS, Lee KA. A case study on the effect of Ca intake on depression and anxiety. Korean J Nutr 2002;35:45-52.
  • 62. Nanri A, Kimura Y, Matsushita Y, Ohta M, Sato M, Mishima N, Sasaki S, Mizoue T. Dietary patterns and depressive symptoms among Japanese men and women. Eur J Clin Nutr 2010;64:832-839.
Table 1

General characteristics between depression group and non-depression group

Table 1
Variables 19–29 years p-value 30–49 years p-value 50–64 years p-value*
Depression Group Non-Depression Group Depression Group Non-Depression Group Depression Group Non-Depression Group
(n = 45) (n = 322) (n = 119) (n = 958) (n = 151) (n = 641)
Age, years 23.6 ± 0.5 24.1 ± 0.2 0.327 40.9 ± 0.6 39.6 ± 0.2 0.028 56.7 ± 0.4 56.4 ± 0.2 0.508
Weight, kg 58.5 ± 1.7 56.0 ± 0.7 0.197 59.1 ± 1.0 58.0 ± 0.3 0.297 56.9 ± 0.6 59.5 ± 0.4 0.0004
Height, cm 162.4 ± 1.1 161.9 ± 0.3 0.653 160.2 ± 0.5 159.5 ± 0.2 0.231 154.6 ± 0.5 155.9 ± 0.2 0.009
Waist circumference, cm 72.7 ± 1.3 70.8 ± 0.7 0.197 77.0 ± 0.9 75.1 ± 0.3 0.045 79.9 ± 0.7 80.5 ± 0.4 0.415
BMI, kg/m2 22.1 ± 0.6 21.4 ± 0.3 0.269 23.0 ± 0.4 22.8 ± 0.1 0.494 23.8 ± 0.2 24.5 ± 0.2 0.007
Education - 0.001 0.001
 Elementary school or less 0 (0.0)§ 4 (0.9) 5 (4.4) 26 (2.5) 72 (48.5) 216 (33.9)
 Middle school graduate 0 (0.0) 7 (2.3) 12 (9.7) 32 (3.3) 29 (20.2) 137 (20.9)
 High school graduate 27 (60.9) 150 (45.0) 57 (48.5) 409 (43.6) 44 (28.1) 213 (33.3)
 College or more 18 (39.1) 160 (51.8) 45 (37.5) 490 (50.6) 6 (3.2) 75 (11.9)
Frequency of alcohol 0.073 0.0001 0.010
 None 4 (7.3) 26 (8.3) 20 (17.2) 137 (15.5) 34 (31.0) 123 (23.1)
 ≤ 1 time/month 18 (45.4) 132 (44.6) 41 (36.5) 375 (44.5) 41 (36.6) 239 (47.1)
 2–4 times/month 6 (17.8) 99 (33.8) 25 (24.4) 233 (25.9) 24 (19.0) 97 (19.3)
 2–3 times/week 12 (22.1) 37 (11.0) 11 (10.1) 107 (12.3) 9 (6.4) 38 (8.9)
 ≥ 4 times/week 3 (7.3) 5 (2.2) 11 (11.7) 19 (1.8) 6 (7.0) 9 (1.6)
Smoking 0.002 0.0002 0.012
 Current smoker 13 (28.4) 31 (9.7) 19 (18.0) 58 (6.4) 12 (8.8) 19 (3.0)
 Past smoker 3 (5.5) 30 (9.2) 9 (8.4) 46 (5.6) 6 (5.4) 20 (2.7)
 Non-smoker 29 (66.1) 261 (81.1) 91 (73.5) 854 (88.0) 133 (85.9) 602 (94.2)
Moderate physical activity 0.075 0.316 0.329
 No 42 (91.3) 314 (97.6) 112 (92.2) 910 (94.8) 146 (96.8) 606 (94.9)
 Yes 3 (8.7) 8 (2.4) 7 (7.8) 47 (5.2) 5 (3.2) 35 (5.1)

BMI: body mass index.

*p-values for continuous variables by t-test, for categorical variables by Chi-square test; Mean ± SD (standard deviation); Waist circumference criteria: ≥ 85 cm (women), ≥ 90 cm (men): Korean Society for the Study of Obesity; §n (%); llModerate physical activity: ≥ half-hour/1 time, ≥ 5 days/week.

Table 2

Socioeconomic characteristics between depression group and non-depression group

Table 2
Variables 19–29 years p-value 30–49 years p-value 50–64 years p-value*
Depression Group Non-Depression Group Depression Group Non-Depression Group Depression Group Non-Depression Group
(n = 45) (n = 322) (n = 119) (n = 958) (n = 151) (n = 641)
Residence 0.007 0.738 0.033
 City 35 (76.5) 289 (89.8) 100 (84.2) 801 (83.1) 110 (72.2) 520 (80.8)
 Rural area 10 (23.5) 33 (10.2) 19 (15.8) 157 (16.9) 41 (27.8) 121 (19.2)
Economic activity state 0.003 0.899 0.743
 Yes 18 (37.1) 205 (63.7) 65 (56.1) 554 (55.4) 79 (52.2) 340 (53.7)
 No 27 (62.9) 117 (36.3) 54 (43.9) 404 (44.6) 72 (47.8) 301 (46.3)
Incomes (quartile) 0.596 0.003 0.079
 Low 12 (26.2) 79 (24.8) 43 (37.6) 215 (23.2) 47 (31.2) 137 (22.2)
 Mid-low 9 (22.1) 85 (25.6) 30 (24.9) 236 (25.3) 37 (23.4) 163 (25.8)
 Mid-high 7 (17.4) 81 (24.5) 27 (22.2) 249 (26.3) 35 (25.6) 161 (24.9)
 High 16 (34.3) 77 (25.1) 19 (15.3) 252 (25.3) 32 (19.8) 178 (27.2)
Marital status 0.609 < 0.0001 0.050
 Currently married 10 (19.9) 55 (16.8) 90 (75.8) 825 (86.9) 109 (73.1) 532 (82.5)
 Separation, bereave divorce 0 (0.0) 0 (0.0) 19 (17.6) 49 (4.6) 41 (26.0) 101 (16.5)
 Never married 35 (80.1) 265 (83.2) 10 (6.6) 80 (8.5) 1 (0.9) 7 (1.0)

*p-values by Chi-square test; n (%).

Table 3

Obesity status and weight control attempt between depression group and non-depression group

Table 3
Variables 19–29 years p-value 30–49 years p-value 50–64 years p-value*
Depression Group Non-Depression Group Depression Group Non-Depression Group Depression Group Non-Depression Group
(n = 45) (n = 322) (n = 119) (n = 958) (n = 151) (n = 641)
Classification of obesity 0.452 0.931 0.017
 Underweight 6 (18.9) 65 (22.2) 8 (6.2) 57 (6.3) 1 (0.7) 9 (1.5)
 Normal 27 (59.7) 212 (64.6) 83 (71.0) 690 (72.6) 108 (74.1) 396 (60.6)
 Obesity 10 (21.4) 45 (13.2) 27 (22.9) 207 (21.1) 42 (25.2) 236 (37.9)
Weight control attempt during last year 0.984 0.001 0.043
 Weight loss attempt 24 (52.5) 169 (51.5) 64 (55.7) 483 (49.6) 70 (46.0) 310 (49.2)
 Weight maintenance attempt 7 (14.9) 45 (13.5) 16 (12.9) 200 (21.2) 32 (21.5) 153 (22.8)
 Weight gain attempt 1 (4.1) 11 (3.5) 11 (9.9) 24 (2.7) 12 (9.1) 19 (3.2)
 None ever done 13 (28.5) 97 (31.5) 28 (21.6) 251 (26.4) 37 (23.3) 159 (24.8)

*p-values by Chi-square test; n (%); Obesity criteria: Underweight BMI < 18.5 kg/m2, Normal BMI ≥ 18.5 kg/m2~< 24.9 kg/m2, Obesity BMI ≥ 25 kg/m2: Korean Society for the Study of Obesity.

Table 4

Physical health status between depression group and non-depression group

Table 4
Variables 19–29 years p-value 30–49 years p-value 50–64 years p-value*
Depression Group Non-Depression Group Depression Group Non-Depression Group Depression Group Non-Depression Group
(n = 45) (n = 322) (n = 119) (n = 958) (n = 151) (n = 641)
Daily activity 0.0004 < 0.0001 < 0.0001
 No problem 42 (91.4) 319 (99.2) 104 (86.5) 934 (96.8) 117 (77.3) 584 (91.7)
 Having problem 3 (8.6) 3 (0.8) 15 (13.5) 24 (3.2) 34 (22.7) 57 (8.3)
Subjective health status 0.220 < 0.0001 0.0003
 Good, Very good 17 (44.3) 135 (43.0) 24 (19.0) 376 (37.7) 22 (13.8) 165 (25.8)
 Normal 20 (39.7) 164 (49.1) 61 (50.3) 483 (51.4) 74 (50.8) 350 (54.7)
 Poor, Very poor 8 (16.0) 23 (7.8) 34 (30.6) 99 (10.8) 55 (35.4) 125 (19.5)
Menopausal status 0.030 0.315 0.027
 Yes 2 (3.5) 3 (0.8) 11 (9.4) 59 (6.5) 136 (91.8) 555 (85.3)
 No 43 (96.5) 319 (99.2) 108 (90.6) 899 (93.5) 15 (8.2) 86 (14.7)
Diagnosis of one or more chronic diseases†‡ - 0.0003 0.340
 Yes 0 (0.0) 2 (0.4) 18 (19.3) 73 (7.4) 64 (45.8) 268 (40.7)
 No 45 (100.0) 320 (99.6) 101 (80.7) 885 (92.6) 87 (54.2) 373 (59.3)

*p-values by Chi-square test; n (%); Chronic disease: hypertension, hyperlipidemia, stroke, cardiac infarction, angina, diabetes mellitus, cancer.

Table 5

Mental health status between depression group and non-depression group

Table 5
Variables 19–29 years p-value 30–49 years p-value 50–64 years p-value*
Depression Group Non-Depression Group Depression Group Non-Depression Group Depression Group Non-Depression Group
(n = 45) (n = 322) (n = 119) (n = 958) (n = 151) (n = 641)
Average daily sleeping hours 0.314 0.1244 0.124
 ≤ 5 hours 7 (12.3) 25 (7.2) 19 (16.9) 101 (10.4) 43 (29.0) 136 (20.5)
 6–7 hours 26 (55.9) 164 (50.9) 65 (56.7) 593 (61.5) 79 (54.1) 370 (59.2)
 ≥ 8 hours 12 (31.8) 132 (41.8) 33 (26.3) 263 (28.1) 27 (16.9) 133 (20.3)
Perception of stress - < 0.0001 < 0.0001
 Stressed very much 13 (25.6) 5 (2.0) 16 (14.1) 25 (2.6) 18 (13.6) 14 (2.1)
 Stressed much 25 (61.3) 64 (20.4) 48 (39.2) 160 (18.0) 57 (38.8) 79 (12.4)
 Stressed a little bit 7 (13.1) 209 (64.1) 51 (43.8) 671 (69.3) 68 (41.5) 428 (66.5)
 Almost not stressed 0 (0.0) 44 (13.5) 4 (2.9) 102 (10.1) 8 (6.0) 120 (19.0)
Suicidal thinking during past one year < 0.0001 < 0.0001 < 0.0001
 Yes 15 (34.3) 9 (2.3) 27 (19.4) 16 (1.9) 29 (20.9) 18 (2.7)
 No 30 (65.7) 313 (97.7) 92 (80.6) 942 (98.1) 122 (79.1) 623 (97.3)

*p-values by Chi-square test; n (%).

Table 6

Food groups intake between depression group and non-depression group

Table 6
Variables (Serving/day) 19–29 years p-value 30–49 years p-value 50–64 years p-value*
Depression Group Non-Depression Group Depression Group Non-Depression Group Depression Group Non-Depression Group
(n = 45) (n = 322) (n = 119) (n = 958) (n = 151) (n = 641)
White rice 0.70 ± 0.18 0.74 ± 0.04 0.844 0.81 ± 0.08 0.65 ± 0.03 0.079 0.51 ± 0.09 0.49 ± 0.04 0.886
Rice with mixed grains 0.87 ± 0.12 0.78 ± 0.04 0.484 0.90 ± 0.09 1.22 ± 0.04 0.002 1.52 ± 0.11 1.59 ± 0.05 0.526
Other rice 0.28 ± 0.05 0.23 ± 0.01 0.349 0.24 ± 0.03 0.19 ± 0.01 0.108 0.08 ± 0.01 0.09 ± 0.01 0.398
Noodles 0.20 ± 0.04 0.24 ± 0.02 0.285 0.21 ± 0.02 0.17 ± 0.01 0.195 0.13 ± 0.02 0.12 ± 0.01 0.933
Instant and cup noodles 0.26 ± 0.05 0.19 ± 0.01 0.167 0.19 ± 0.02 0.13 ± 0.01 0.004 0.04 ± 0.01 0.05 ± 0.00 0.133
Rice cakes 0.12 ± 0.03 0.15 ± 0.01 0.282 0.12 ± 0.01 0.12 ± 0.01 0.830 0.08 ± 0.01 0.09 ± 0.01 0.633
Bread products 0.16 ± 0.04 0.16 ± 0.02 0.994 0.14 ± 0.02 0.16 ± 0.01 0.561 0.08 ± 0.02 0.09 ± 0.01 0.737
Pizza, hamburger, sandwich 0.15 ± 0.03 0.12 ± 0.01 0.405 0.06 ± 0.01 0.06 ± 0.00 0.372 0.02 ± 0.01 0.02 ± 0.00 0.719
Cereals 0.04 ± 0.02 0.11 ± 0.02 0.008 0.05 ± 0.02 0.04 ± 0.00 0.600 0.01 ± 0.01 0.02 ± 0.00 0.169
Snacks 0.45 ± 0.10 0.38 ± 0.03 0.536 0.19 ± 0.03 0.24 ± 0.01 0.161 0.06 ± 0.01 0.07 ± 0.01 0.398
Chocolate 0.15 ± 0.04 0.25 ± 0.03 0.029 0.07 ± 0.01 0.07 ± 0.01 0.695 0.03 ± 0.01 0.05 ± 0.01 0.083
Starchy root vegetables 0.27 ± 0.07 0.22 ± 0.02 0.429 0.32 ± 0.03 0.29 ± 0.01 0.302 0.37 ± 0.05 0.35 ± 0.02 0.703
Sugars and sweets 0.45 ± 0.17 0.31 ± 0.04 0.447 0.56 ± 0.06 0.63 ± 0.02 0.317 0.51 ± 0.07 0.52 ± 0.03 0.884
Beans and their products 0.68 ± 0.13 0.70 ± 0.05 0.869 0.93 ± 0.07 0.89 ± 0.03 0.534 1.02 ± 0.07 0.99 ± 0.04 0.801
Nuts and seeds 0.09 ± 0.03 0.13 ± 0.02 0.325 0.19 ± 0.03 0.16 ± 0.02 0.287 0.22 ± 0.04 0.20 ± 0.02 0.798
Vegetables, mushrooms, seaweeds 2.21 ± 0.35 2.14 ± 0.10 0.848 3.08 ± 0.20 2.89 ± 0.07 0.373 2.65 ± 0.17 3.04 ± 0.10 0.045
Kimchi group 1.93 ± 0.34 1.92 ± 0.12 0.964 2.40 ± 0.19 2.77 ± 0.08 0.059 3.03 ± 0.23 2.98 ± 0.11 0.816
Fruits 2.51 ± 0.45 2.00 ± 0.15 0.287 2.05 ± 0.18 1.67 ± 0.07 0.060 1.86 ± 0.24 1.99 ± 0.13 0.632
Meats 0.53 ± 0.06 0.68 ± 0.04 0.048 0.61 ± 0.06 0.49 ± 0.02 0.082 0.29 ± 0.03 0.31 ± 0.02 0.645
Meat processed products 0.19 ± 0.04 0.25 ± 0.02 0.231 0.23 ± 0.05 0.15 ± 0.01 0.139 0.03 ± 0.01 0.03 ± 0.00 0.912
Eggs 0.74 ± 0.17 0.52 ± 0.04 0.213 0.55 ± 0.04 0.50 ± 0.02 0.288 0.33 ± 0.04 0.32 ± 0.02 0.791
Fishes and shellfish 0.58 ± 0.12 0.49 ± 0.04 0.454 0.77 ± 0.09 0.70 ± 0.03 0.467 0.79 ± 0.09 0.90 ± 0.05 0.319
Fish and shellfish processed products 0.10 ± 0.03 0.09 ± 0.01 0.787 0.17 ± 0.04 0.10 ± 0.01 0.116 0.06 ± 0.01 0.08 ± 0.02 0.330
Milk and dairy products 1.04 ± 0.17 1.11 ± 0.06 0.690 0.80 ± 0.09 0.80 ± 0.03 0.962 0.87 ± 0.12 0.79 ± 0.04 0.558
Fat and oils 0.44 ± 0.17 0.30 ± 0.04 0.410 0.47 ± 0.06 0.54 ± 0.02 0.339 0.37 ± 0.05 0.42 ± 0.03 0.411
Coffee 1.02 ± 0.24 0.85 ± 0.07 0.472 0.96 ± 0.11 1.06 ± 0.04 0.426 0.65 ± 0.09 0.74 ± 0.03 0.389
Carbonated drinks 0.16 ± 0.04 0.27 ± 0.02 0.022 0.13 ± 0.04 0.08 ± 0.01 0.175 0.03 ± 0.01 0.03 ± 0.01 0.725
Teas 0.30 ± 0.12 0.23 ± 0.03 0.541 0.18 ± 0.04 0.18 ± 0.02 0.999 0.22 ± 0.04 0.21 ± 0.03 0.906
Ethanol 1.44 ± 0.52 0.71 ± 0.08 0.158 1.45 ± 0.51 0.67 ± 0.05 0.136 0.42 ± 0.26 0.25 ± 0.05 0.524

*p-values by t-test; Mean ± S.D.

Table 7

Mean daily nutrient intake between depression group and non-depression group

Table 7
Variables 19–29 years p-value 30–49 years p-value 50–64 years p-value*
Depression Group Non-Depression Group Depression Group Non-Depression Group Depression Group Non-Depression Group
(n = 35) (n = 274) (n = 110) (n = 898) (n = 134) (n = 587)
Energy, kcal 2098.2 ± 211.2 1864.4 ± 64.9 0.279 1757.2 ± 86.8 1809.9 ± 28.1 0.555 1765.7 ± 78.7 1768.8 ± 29.6 0.970
Protein, g 69.3 ± 7.8 68.0 ± 2.7 0.877 61.1 ± 4.9 64.4 ± 1.3 0.503 60.7 ± 4.1 61.9 ± 1.3 0.778
Fat, g 60.3 ± 8.8 52.1 ± 2.7 0.374 44.3 ± 4.3 43.2 ± 1.2 0.788 28.6 ± 2.1 33.4 ± 1.1 0.045
Saturated fatty acid, g 18.9 ± 3.3 16.0 ± 0.9 0.389 13.1 ± 1.2 12.7 ± 0.4 0.733 7.5 ± 0.6 9.2 ± 0.3 0.013
Monounsaturated fatty acid, g 19.7 ± 3.2 16.6 ± 1.0 0.358 14.4 ± 1.5 13.9 ± 0.4 0.735 8.7 ± 0.7 10.1 ± 0.4 0.097
Polyunsaturated fatty acid, g 12.8 ± 1.5 12.3 ± 0.7 0.771 10.4 ± 1.4 10.5 ± 0.3 0.929 8.2 ± 0.7 9.1 ± 0.3 0.259
n-3 fatty acid, g 1.79 ± 0.30 1.50 ± 0.09 0.372 1.63 ± 0.42 1.48 ± 0.07 0.719 1.29 ± 0.11 1.55 ± 0.08 0.033
n-6 fatty acid, g 11.3 ± 1.3 10.9 ± 0.6 0.791 8.8 ± 1.0 9.0 ± 0.3 0.775 7.0 ± 0.6 7.6 ± 0.3 0.363
Carbohydrate, g 291.6 ± 26.4 267.7 ± 8.6 0.368 262.2 ± 11.0 280.7 ± 4.1 0.113 307.6 ± 14.3 300.1 ± 5.3 0.615
Fiber, g 4.87 ± 0.59 5.75 ± 0.40 0.167 5.92 ± 0.44 6.63 ± 0.19 0.145 9.31 ± 0.74 8.78 ± 0.32 0.516
Calcium, mg 459.3 ± 56.3 435.1 ± 17.7 0.686 427.9 ± 30.9 467.1 ± 12.0 0.240 496.6 ± 33.4 481.7 ± 12.9 0.666
Phosphorus, mg 1042.2 ± 105.8 981.9 ± 31.7 0.591 953.3 ± 64.2 1014.5 ± 20.6 0.351 1006.4 ± 56.8 1041.4 ± 20.1 0.540
Iron, mg 14.3 ± 1.6 13.7 ± 0.5 0.691 15.4 ± 1.0 16.0 ± 0.3 0.576 18.1 ± 1.2 17.5 ± 0.4 0.659
Sodium, mg 3812.3 ± 433.3 3372.1 ± 180.1 0.329 3573.1 ± 357.6 3691.9 ± 92.2 0.748 3746.1 ± 287.8 3569.0 ± 131.6 0.560
Potassium, mg 2562.2 ± 250.4 2574.7 ± 74.7 0.962 2616.9 ± 150.5 2746.2 ± 49.8 0.409 3221.6 ± 190.0 3170.8 ± 77.3 0.804
Vitamin A, µgRE 864.4 ± 179.6 570.2 ± 38.9 0.111 687.9 ± 106.6 667.5 ± 23.9 0.856 700.2 ± 65.6 807.2 ± 55.0 0.163
Carotene, µg 3958.4 ± 986.6 2457.2 ± 218.8 0.138 2970.9 ± 334.5 3170.1 ± 130.9 0.595 3780.6 ± 401.8 4109.5 ± 296.0 0.473
Retinol, µg 151.8 ± 34.2 126.0 ± 9.3 0.471 171.5 ± 67.7 108.9 ± 7.4 0.364 59.5 ± 7.7 107.5 ± 24.0 0.082
Thiamin, mg 1.82 ± 0.22 1.78 ± 0.08 0.841 1.84 ± 0.12 1.91 ± 0.03 0.556 2.02 ± 0.16 1.99 ± 0.05 0.858
Riboflavin, mg 1.47 ± 0.17 1.33 ± 0.05 0.432 1.30 ± 0.12 1.30 ± 0.03 0.980 1.19 ± 0.07 1.26 ± 0.03 0.364
Niacin, mg 14.1 ± 1.4 14.7 ± 0.6 0.706 14.4 ± 1.2 14.7 ± 0.3 0.768 13.8 ± 0.9 14.7 ± 0.3 0.337
Vitamin C, mg 81.9 ± 14.7 81.2 ± 6.6 0.969 87.7 ± 11.5 96.4 ± 4.3 0.472 127.9 ± 16.1 129.8 ± 6.6 0.906

*p-values by general linear model (GLM) after adjusting for age; Mean ± standard error.

Table 8

INQ and RFS between depression group and non-depression group

Table 8
Variables 19–29 years p-value 30–49 years p-value 50–64 years p-value*
Depression Group Non-Depression Group Depression Group Non-Depression Group Depression Group Non-Depression Group
(n = 35) (n = 274) (n = 110) (n = 898) (n = 134) (n = 587)
INQ
 Protein 1.33 ± 0.07 1.53 ± 0.04 0.017 1.42 ± 0.05 1.49 ± 0.02 0.191 1.36 ± 0.06 1.39 ± 0.02 0.563
 Calcium 0.71 ± 0.06 0.79 ± 0.03 0.306 0.72 ± 0.03 0.77 ± 0.01 0.123 0.72 ± 0.04 0.71 ± 0.02 0.714
 Phosphorus 1.48 ± 0.07 1.61 ± 0.03 0.065 1.46 ± 0.04 1.53 ± 0.01 0.070 1.44 ± 0.05 1.52 ± 0.02 0.093
 Iron 1.01 ± 0.07 1.17 ± 0.04 0.038 1.18 ± 0.06 1.23 ± 0.02 0.395 2.24 ± 0.11 2.24 ± 0.04 0.986
 Vitamin A 1.26 ± 0.22 1.02 ± 0.05 0.290 1.04 ± 0.08 1.11 ± 0.05 0.478 1.16 ± 0.11 1.37 ± 0.10 0.140
 Vitamin B1 1.61 ± 0.10 1.84 ± 0.05 0.053 1.83 ± 0.08 1.87 ± 0.02 0.672 1.80 ± 0.07 1.86 ± 0.03 0.386
 Vitamin B2 1.18 ± 0.09 1.26 ± 0.03 0.413 1.12 ± 0.05 1.15 ± 0.02 0.600 0.99 ± 0.04 1.06 ± 0.02 0.056
 Niacin 1.00 ± 0.06 1.20 ± 0.03 0.003 1.10 ± 0.06 1.11 ± 0.01 0.813 0.99 ± 0.04 1.07 ± 0.02 0.045
 Vitamin C 0.86 ± 0.15 0.97 ± 0.07 0.534 1.17 ± 0.25 1.05 ± 0.05 0.629 1.37 ± 0.18 1.29 ± 0.06 0.641
RFS 12.34 ± 1.20 12.70 ± 0.38 0.782 15.35 ± 0.85 15.08 ± 0.28 0.749 13.75 ± 0.63 15.23 ± 0.39 0.045

INQ: index of nutritional quality, RFS: recommended food score.

*p-values by t-test; Mean ± standard deviation.

Download Citation

Download a citation file in RIS format that can be imported by all major citation management software, including EndNote, ProCite, RefWorks, and Reference Manager.

Format:

Include:

Comparison of Health Status and Nutrient Intake between Depressed Women and Non-depressed Women: Based on the 2013 Korea National Health and Nutrition Examination Survey
Clin Nutr Res. 2016;5(2):112-125.   Published online April 30, 2016
Download Citation

Download a citation file in RIS format that can be imported by all major citation management software, including EndNote, ProCite, RefWorks, and Reference Manager.

Format:
Include:
Comparison of Health Status and Nutrient Intake between Depressed Women and Non-depressed Women: Based on the 2013 Korea National Health and Nutrition Examination Survey
Clin Nutr Res. 2016;5(2):112-125.   Published online April 30, 2016
Close
Comparison of Health Status and Nutrient Intake between Depressed Women and Non-depressed Women: Based on the 2013 Korea National Health and Nutrition Examination Survey
Comparison of Health Status and Nutrient Intake between Depressed Women and Non-depressed Women: Based on the 2013 Korea National Health and Nutrition Examination Survey
Table 1 General characteristics between depression group and non-depression group

BMI: body mass index.

*p-values for continuous variables by t-test, for categorical variables by Chi-square test; Mean ± SD (standard deviation); Waist circumference criteria: ≥ 85 cm (women), ≥ 90 cm (men): Korean Society for the Study of Obesity; §n (%); llModerate physical activity: ≥ half-hour/1 time, ≥ 5 days/week.

Table 2 Socioeconomic characteristics between depression group and non-depression group

*p-values by Chi-square test; n (%).

Table 3 Obesity status and weight control attempt between depression group and non-depression group

*p-values by Chi-square test; n (%); Obesity criteria: Underweight BMI < 18.5 kg/m2, Normal BMI ≥ 18.5 kg/m2~< 24.9 kg/m2, Obesity BMI ≥ 25 kg/m2: Korean Society for the Study of Obesity.

Table 4 Physical health status between depression group and non-depression group

*p-values by Chi-square test; n (%); Chronic disease: hypertension, hyperlipidemia, stroke, cardiac infarction, angina, diabetes mellitus, cancer.

Table 5 Mental health status between depression group and non-depression group

*p-values by Chi-square test; n (%).

Table 6 Food groups intake between depression group and non-depression group

*p-values by t-test; Mean ± S.D.

Table 7 Mean daily nutrient intake between depression group and non-depression group

*p-values by general linear model (GLM) after adjusting for age; Mean ± standard error.

Table 8 INQ and RFS between depression group and non-depression group

INQ: index of nutritional quality, RFS: recommended food score.

*p-values by t-test; Mean ± standard deviation.