Skip to main navigation Skip to main content
  • KSCN
  • E-Submission

CNR : Clinical Nutrition Research

OPEN ACCESS
ABOUT
BROWSE ARTICLES
EDITORIAL POLICIES
FOR CONTRIBUTORS

Articles

Original Article

Dietary Very Long Chain Saturated Fatty Acids and Metabolic Factors: Findings from the Korea National Health and Nutrition Examination Survey 2013

Clinical Nutrition Research 2015;4(3):182-189.
Published online: July 31, 2015

1Department of Food and Nutrition, Korea University, Seoul 136-701, Korea.

2Department of Public Health Science, BK21PLUS Program in Embodiment: Health-Society Interaction, Graduate School of Korea University, Seoul 136-701, Korea.

3Korea University Guro Hospital, Korea University College of Medicine, Seoul 152-703, Korea.

Corresponding author: Min-Jeong Shin. Address Department of Food and Nutrition, Korea University, 145 Anam-ro, Seongbuk-gu, Seoul 136-701, Korea. Tel +82-2-3290-5643, Fax +82-2-940-2849, mjshin@korea.ac.kr
• Received: June 14, 2015   • Revised: June 30, 2015   • Accepted: July 2, 2015

© 2015 The Korean Society of Clinical Nutrition

This is an Open Access article distributed under the terms of the Creative Commons Attribution Non-Commercial License (http://creativecommons.org/licenses/by-nc/3.0/) which permits unrestricted non-commercial use, distribution, and reproduction in any medium, provided the original work is properly cited.

  • 923 Views
  • 0 Download
  • 18 Crossref
prev next
  • The present study was aim to evaluate the association between very long chain saturated fatty acids (VLSFAs) and metabolic syndrome (MetS) in Korean population. The study population were recruited from the Korea National Health and Nutrition Examination Survey VI (2013). Using the cross-sectional study design, socio-demographic factors, medical history, and clinical measurements were investigated according to quartiles of VLSFAs intake. The associations between each and sum of VLSFAs intake and MetS were assessed by logistic regression. The result indicated that higher intake of VLSFAs was significantly associated with favorable metabolic status, including lower levels of circulating triglyceride (TG) (p < 0.05). Additionally, subjects with higher intake of arachidic acid and total VLSFAs were negatively associated with MetS risk compared to subjects with lower intake of those fatty acids (p < 0.05). In conclusion, dietary VLSFAs intake was associated with metabolic risk factors and lower risk of MetS in Korean population.
Metabolic syndrome (MetS) is a clustering of metabolic disorders such as abdominal obesity, dyslipidemia, elevated blood pressure, and high levels of blood glucose [1]. According to the world reports, the age-adjusted MetS prevalence has been estimated 34.2% between 1999 and 2006 in the US [2] and 31.3% in 2007 in Korea [3]. Although MetS accelerates the risk of developing chronic diseases such as atherosclerosis, cardiovascular disease, and diabetes [4], the exact pathologic mechanisms of MetS have not been identified.
Previous studies, across the observational [5, 6, 7], prospective [8, 9], and meta-analysis study designs [10], have speculated that type of dietary fat and plasma fatty acid (FA) composition contribute to development of insulin resistance and MetS. Furthermore, the intervention studies reported that a change of fat composition in diet affects on a composition of plasma FA as well as metabolic dysfunction [11, 12]. While polyunsaturated FA (PUFA) intake has been reported by its inverse association with the risk of metabolic dysfunction [13, 14], the intake of saturated FA (SFA) has been associated with its adverse effects on the risk of MetS [15, 16]. It is a well established fact that palmitic acid (16:0) and stearic acid (18:0) have atherogenic and cardiovascular effects [17, 18]. However, recent studies have suggested that each SFAs have different effects on metabolic conditions according to their chain length [19]. SFAs with 20 or more carbon atoms such as arachidic acid (20:0), behenic acid (22:0), and lignoceric acid (24:0), were classified as very long chain SFAs (VLSFAs). Previous studies on that VLSFAs reported that intakes of VLSFA have beneficial effects on the metabolic abnormalities, including diabetes and cardiovascular diseases [1, 20, 21, 22]. However, the association between dietary VLSFAs and MetS has not been fully understood.
With respect to nutrition transition the intake of saturated fat has been considerably increased in the Korea. Therefore, we aimed to evaluate the effect of VLSFAs intake on metabolic parameters. Additionally, we also examined the association between dietary VLSFAs intake and MetS prevalence in Korean population.
Study population
This study was based on data from the Korea National Health and Nutrition Examination Survey (KNHANES) VI (2013), the cross-sectional survey conducted by a Ministry of Health and Welfare. Details of the KNHANES are available elsewhere [23]. The KNHANES is composed of the three sections such as a health interview, health examination, and nutrition survey. A nationally representative sample was chosen from the Korean population using household records that were provided by the 2010 Population and Housing Census in Korea. In the KNHANES VI, 8,018 participants was selected from each 192 survey section using a stratified, multistage probability cluster sampling method considering each participant's geographical area, age, and sex (response rate: 79.3% for age ≥1 year). Among the participants, we limited our analyses to adults who is older than 20 years old. We also excluded subjects with missing data for important analytic variables, such as metabolic parameters, and FA intake. Subjects who recorded implausible energy intake (<500 kcal or >5,000 kcal) were excluded. Additionally, subjects who were diagnosed with severe disease such as cancer were excluded. Pregnant or lactating female subjects were excluded due to their unique changes in hormonal status. Finally, 4,232 subjects were included in the statistical analysis. The institutional review board of the Centers for Disease Control and Prevention in Korea approved the KNHANES. All participants in the survey provided informed consent form.
General characteristics of the subjects
We obtained data from KNHANES VI, including demographic, anthropometric, and biochemical measurement data. Demographic variables that were potential confounders including age, education, alcohol use, smoking status, physical activity, nutrient supplementation use, and disease status. Subjects who smoked during the survey period were regarded as current smokers. Subjects who consumed alcohol at least once a month considered as current alcohol consumers. Education level was divided into four categories as elementary school, middle school, high school, or university, according to the subject's highest achieved level. Physical activity was divided into two categories, exercise or do not exercise as an activity of the following at least 5 days a week: intense physical activity for at least 20 minutes, moderate physical activity for at least 30 minutes, or walking for at least 30 minutes. Nutritional supplement use was divided into two categories as "yes" or "no".
Anthropometric and biochemical measurements
Anthropometric measurements were obtained by trained experts following standardized protocols. The body weights and heights of the subjects were measured to the nearest 0.1 kg and 0.1 cm, respectively. Body mass index (BMI) was calculated as weight (kg)/height squared (m2). Waist circumference (WC) was measured on the area between the rib cage and the iliac crest to the nearest 0.1 cm. Systolic blood pressure (SBP) and diastolic blood pressure (DBP) were measured by mercury sphyngmomanometer (Baumanometer, New York, NY, USA) on the right arm. To assess serum levels of biochemical markers, blood samples were collected through an antecubital vein after 10-12 hour of fasting. Serum levels of insulin (µU/mL) were measured by an immunoradiometric assay using a 1,470 Wizard Gamma Counter (PerkinElmer, Turku, Finland). Hemoglobin A1c (HbA1c) level was measured with high performance liquid chromatography-723G7 (Tosoh, Tokyo, Japan). Serum levels of fasting glucose (mg/dL), total cholesterol (TC, mg/dL), triglyceride (TG, mg/dL), high density lipoprotein (HDL) cholesterol (mg/dL), low density lipoprotein (LDL) cholesterol, aspartate aminotransferase (AST, IU/L), and alanine aminotransferase (ALT, IU/L) were measured using a Hitachi Automatic Analyzer 7600 (Hitachi, Tokyo, Japan). To compensate the missing data, LDL cholesterol was calculated by Friedewald formula for subjects in less than 400 mg/dL TG: TC (mg/dL) - HDL cholesterol (mg/dL) - (TG (mg/dL) ÷ 5.0) [24].
Dietary fatty acid measurement
Nutrient intake data were obtained from the section of the nutrition survey in the KNHANES (VI). Food content and consumed amounts were obtained by the 24-hour recall method; then, the nutrient intake was analyzed using the database from the food composition table made by the Rural Development Administration [25]. The ratio of energy intake from each macronutrient to total energy was calculated: percentage of energy intake from carbohydrate (%), percentage of energy intake from fat (%) and percentage of energy intake from protein (%). The percentages of energy intake from VLSFAs (%) were also calculated as same method.
Definition of metabolic syndrome and other disease
According to National Cholesterol Education Program criteria [26], MetS is defined by a co-occurrence of three or more of the following conditions: 1) waist circumference >90 cm in men >80 cm in women using the International Obesity Task Force criteria for the Asian-Pacific population [27]; 2) TG ≥150 mg/dL or medication use; 3) HDL-cholesterol <40 mg/dL in men and <50 mg/dL in women or medication use; 4) blood pressure ≥130/85 mmHg or anti-hypertensive medication use; and 5) fating glucose ≥100 mg/dL or medication use (insulin or oral agents). Disease status was defined using self-reported questionnaires and examination. Subjects were defined as having hypertension (HTN) if they were diagnosed with hypertension by physician, had high blood pressure (≥140/90 mmHg), or took anti-hypertensive medication. Diabetes was defined as subjects who were diagnosed with diabetes, had high levels of fasting blood glucose (≥126 mg/dL), or used anti-diabetic medication. Subjects were defined as having hyperlipidemia if they were diagnosed with hyperlipidemia, had high levels of TC (≥240 mg/dL), or took medication. Cardiovascular disease (CVD) included HTN, stroke, myocardial infarction, and angina pectoris.
Statistical analysis
Statistical analyses were performed using Stata SE 12.0 (Stata Corp, College Station, TX, USA). Continuous variables were described as means ± standard error, and categorical variables were expressed as percentage of subjects. We compared demographic factors and clinical measurements according to quartiles of VLSFA intake, using one-way ANOVA with Bonferroni's correction for multiple comparisons. Chi-square test was used to determine statistical difference in categorical variables. Logistic regression was used to obtain estimates of the VLSFA intake for MetS with the two described models. The first model was adjusted for age and sex. The second model was adjusted for age, sex, BMI, education level, alcohol use, smoking, exercise, coexistence of CVD, and intake of nutrient supplement. For the regression analyses, levels of FA were divided into quartiles. All analyses were performed after testing of normal distribution. For all analyses, p-values < 0.05 were considered significant.
General characteristics of subjects
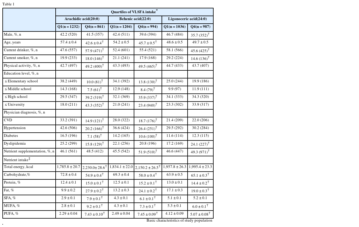
Median level of arachidic acid intake in the diet was 0.04% (0.00%, 0.42%). Median level of behenic and lignoceric acid intake in the diet were 0.01% (0.00%, 0.66%), and 0.001 (0.000%, 0.363%), respectively. The general characteristics of subjects are presented in Table 1. The mean age of the total study population was 49.7 ± 0.2 years (range: 20-92 years), and 42.3% of the total subjects were men. Subjects with higher levels of arachidic and behenic acid were younger, more exercised, achieved higher levels of education, and had lower prevalence of CVD, HTN, diabetes, and dyslipidemia compared to their lowest quartile group (all p < 0.05). Subjects with higher levels arachidic and lignoceric acid had lower proportion of current smoker and alcohol user. Highest quartile groups of behenic and lignoceric acid intake used more nutrient supplementation (p < 0.05). Nutrient intake of subject across the quartiles of VLSFAs are also presented in Table 1. Subjects with higher levels of any of the three kinds of VLSFAs showed higher intake of protein and fat (p < 0.05). Especially, they consumed higher levels of mono-unsaturated FA (MUFA) and PUFA compared with those with lower levels of these three VLSFAs (p < 0.05).
Biochemical measurement according to intake of VLSFAs
To evaluate the effect of VLSFAs intake, we compared the levels of metabolic risk factors across the quartiles of each VLSFAs intake (Table 2). Subjects with higher levels of any of the three VLSFAs showed favorable metabolic status, including lower levels of circulating TG (p < 0.05). Subjects in highest quartile group of arachidic acid and behenic acid intake showed lower levels of BMI, WC, blood pressure, blood glucose, and AST (all p < 0.05), and higher level of HDL cholesterol (p = 0.0003) compared to their lower quartile groups.
Association of intake of VLSFA and prevalence of metabolic syndrome
Based on differences in metabolic risk factors, we further examined the cross-sectional associations of VLSFAs with prevalence of metabolic syndrome (Table 3). Higher intakes of arachidic acid was negatively associated with MetS before and after adjustment (odds ratio [OR]: 0.66, 95% CIs: 0.51, 0.85). Also, after adjustment for potential confounders, sum of intake levels of VLSFAs was associated with lower risk of MetS (OR: 0.75, 95% CIs: 0.59, 0.96). However, there is no significant association between intakes of behenic or lignoceric acid and MetS, in individual manners.
In the present study, we observed significant differences in metabolic risk factors such as WC, blood pressure, and lipid traits according to levels of dietary VLSFAs intake among the Korean population. In the cross-sectional design, subjects with higher intake of the arachidic acid indicated significantly lower prevalence of MetS. Moreover, total intake of arachidic acid, behenic acid, and lignoceric acid showed a protective effect against the risk of MetS.
Arachidic acid, behenic acid, and ligonoceric acid are contained in peanuts, canola oil, cashew nut and macadamia nuts [28]. Although we could not utilize plasma levels of VLSFAs, dietary VLSFAs consumption are generally known to influence plasma levels of VLSFAs [29]. In dietary intervention studies, intakes of macadamia nut, which contains plenty of VLSFAs, elevated plasma levels of VLSFAs and lowered plasma TC and LDL-cholesterol level [30, 31]. VLSFAs attached in phospholipids are synthesized endogenously by elongation of palmitic acid (16:0) and stearic acid (18:0). Elongases such as elovl1, elovl3, and elovl7 are involved in elongation process in the endoplasmic reticulum [32]. Generally, palmitic and stearic acid, which are derived from animal products, have been reported to have adverse effects on CVD, and inflammatory responses [15, 16, 17, 18]. However, the metabolic factors which regulate the conversion of stearic fatty acid into VLSFAs have been unknown [20].
Although the biological mechanism underlying chain length and its distinct effects are not clear, our finding supports diverse metabolic effect of VLSFAs. Beneficial effects of VLSFAs in our results are consistent with previous findings [20, 21, 22, 32]. Large population-based studies reported that the protective effects of VLSFAs on atrial fibrillation and sudden cardiac arrest [21, 32]. Additionally, Fretts et al. [21] reported that a group of subjects in highest level of plasma VLSFA showed 22% (20:0), 38% (22:0), and 32% (24:0) lower risk of atrial fibrillation (AF) respectively. They speculated that VLSFA may prevent apoptosis, which is a main pathophysiology of AF, including fibrosis and the progressive atrial remodeling leading to vascular diseases [33]. Unfortunately, distinct functions of VLSFA are still controversy. Matsumori et al. [1] reported that the level of arachidic acid in erythrocytes was correlated with atherogenic lipid traits in subjects with MetS. Also, one case-cohort study reported that higher quintile of erythrocyte membrane contents of behenic and lignoceric acid were associated with increased risk for type 2 diabetes [34].
Since different VLSFAs have distinct biological functions compared to other SFAs, their association with cardiometabolic risk factors such as insulin resistance are varied [35]. VLSFAs, major elements of ceramides and sphingomyelins affect liver homeostasis, myelin maintenance, and anti-inflammatory response through ceramide synthase expression [36]. Mesicek et al. reported that ceramides properties depended on the chain length of fatty acid, and ceramides produced by lignoceric acid (24:0) and nervonic acid (24:1) exerted protective effects on insulin resistance induced apoptosis in HeLa cells [37]. In other experimental studies, decreased expression of ceramide synthase in mice increased susceptibility to insulin resistance through decreased levels of VLSFA-derived sphingolipids [38, 39]. Furthermore, ceramide synthase 2-deleted mice showed increased level of palmitic acid-derived ceramides in their liver to compensate depleted levels of C22-24 ceramides, and developed hepatopathy [40]. Taken together, the VLSFAs may contribute to lower risk of MetS through endogenous ceramide synthesis. The biological mechanism underlying the association between MetS and VLSFAs needs to be specified with further study.
There are several limitations in the present study. First, a causal relationship between dietary intake of VLSFAs and MetS cannot be estimated since this is a cross-sectional study. Second, the study population size was small without a healthy control group who did not have any metabolic risk factors. Finally, dietary intake of VLSFAs were based on 24-hour recall method, which can be biased by recent SFA intake. Moreover, we could not consider the absorption rate of VLSFAs within the human body since we do not have information of food source and plasma levels of the VLSFAs. Despite of these limitations, the present study has strengths above other studies. This is the first study to investigate the association between dietary VLSFAs and MetS in Korean population. We compared whether each VLSFAs were associated with MetS using a nation-wide scale survey data of homogeneous subjects. Furthermore, coexistence of CVD and nutrient supplementation were adjusted to minimize potential confounding factors.
Our results corroborate that intake of VLSFAs may have beneficial effects on metabolic risk factors in Korean. Specifically, intake of arachidic acid was significantly associated with lower risk of MetS. Considering the prevalence of MetS in Korea, the present study may contribute to preventing and decreasing risk for MetS among Korean population. Further interventional study is necessary to understand the causal effects of dietary intake of VLSFAs and their endogenous metabolism related to the risk of MetS.

Conflict of interest: We declare that we have no conflict of interest.

The authors would like to thank all staff members who were involved in conducting the study.
  • 1. Matsumori R, Miyazaki T, Shimada K, Kume A, Kitamura Y, Oshida K, Yanagisawa N, Kiyanagi T, Hiki M, Fukao K, Hirose K, Ohsaka H, Mokuno H, Daida H. High levels of very long-chain saturated fatty acid in erythrocytes correlates with atherogenic lipoprotein profiles in subjects with metabolic syndrome. Diabetes Res Clin Pract 2013;99:12-18.
  • 2. Mozumdar A, Liguori G. Persistent increase of prevalence of metabolic syndrome among U.S. adults: NHANES III to NHANES 1999-2006. Diabetes Care 2011;34:216-219.
  • 3. Lim S, Shin H, Song JH, Kwak SH, Kang SM, Won Yoon J, Choi SH, Cho SI, Park KS, Lee HK, Jang HC, Koh KK. Increasing prevalence of metabolic syndrome in Korea: the Korean National Health and Nutrition Examination Survey for 1998-2007. Diabetes Care 2011;34:1323-1328.
  • 4. Eckel RH, Grundy SM, Zimmet PZ. The metabolic syndrome. Lancet 2005;365:1415-1428.
  • 5. Lee S, Do HJ, Kang SM, Chung JH, Park E, Shin MJ. Plasma phospholipid fatty acid composition and estimated desaturase activity in heart failure patients with metabolic syndrome. J Clin Biochem Nutr 2012;51:150-155.
  • 6. Kim OY, Lim HH, Lee MJ, Kim JY, Lee JH. Association of fatty acid composition in serum phospholipids with metabolic syndrome and arterial stiffness. Nutr Metab Cardiovasc Dis 2013;23:366-374.
  • 7. Do HJ, Chung HK, Moon J, Shin MJ. Relationship between the estimates of desaturase activities and cardiometabolic phenotypes in Koreans. J Clin Biochem Nutr 2011;49:131-135.
  • 8. Laaksonen DE, Lakka TA, Lakka HM, Nyyssönen K, Rissanen T, Niskanen LK, Salonen JT. Serum fatty acid composition predicts development of impaired fasting glycaemia and diabetes in middle-aged men. Diabet Med 2002;19:456-464.
  • 9. Zheng ZJ, Folsom AR, Ma J, Arnett DK, McGovern PG, Eckfeldt JH. Plasma fatty acid composition and 6-year incidence of hypertension in middle-aged adults: the Atherosclerosis Risk in Communities (ARIC) Study. Am J Epidemiol 1999;150:492-500.
  • 10. Kim YS, Xun P, He K. Fish consumption, long-chain omega-3 polyunsaturated fatty acid intake and risk of metabolic syndrome: a metaanalysis. Nutrients 2015;7:2085-2100.
  • 11. Mayneris-Perxachs J, Sala-Vila A, Chisaguano M, Castellote AI, Estruch R, Covas MI, Fitó M, Salas-Salvadó J, Martínez-González MA, Lamuela-Raventós R, Ros E, López-Sabater MC. PREDIMED Study Investigators. Effects of 1-year intervention with a Mediterranean diet on plasma fatty acid composition and metabolic syndrome in a population at high cardiovascular risk. PLoS One 2014;9:e85202.
  • 12. Summers LK, Fielding BA, Bradshaw HA, Ilic V, Beysen C, Clark ML, Moore NR, Frayn KN. Substituting dietary saturated fat with polyunsaturated fat changes abdominal fat distribution and improves insulin sensitivity. Diabetologia 2002;45:369-377.
  • 13. Shin MJ, Shim E, Kang B, Park S, Lee SH, Shim CY, Park E, Chung N. Increased inflammation, reduced plasma phospholipid eicosapentaenoic acid and reduced antioxidant potential of treated hypertensive patients with metabolic syndrome. Yonsei Med J 2009;50:757-763.
  • 14. Kim YJ, Kim OY, Cho Y, Chung JH, Jung YS, Hwang GS, Shin MJ. Plasma phospholipid fatty acid composition in ischemic stroke: importance of docosahexaenoic acid in the risk for intracranial atherosclerotic stenosis. Atherosclerosis 2012;225:418-424.
  • 15. van Dijk SJ, Feskens EJ, Bos MB, Hoelen DW, Heijligenberg R, Bromhaar MG, de Groot LC, de Vries JH, Müller M, Afman LA. A saturated fatty acid-rich diet induces an obesity-linked proinflammatory gene expression profile in adipose tissue of subjects at risk of metabolic syndrome. Am J Clin Nutr 2009;90:1656-1664.
  • 16. Xiao C, Giacca A, Carpentier A, Lewis GF. Differential effects of monounsaturated, polyunsaturated and saturated fat ingestion on glucose-stimulated insulin secretion, sensitivity and clearance in overweight and obese, non-diabetic humans. Diabetologia 2006;49:1371-1379.
  • 17. French MA, Sundram K, Clandinin MT. Cholesterolaemic effect of palmitic acid in relation to other dietary fatty acids. Asia Pac J Clin Nutr 2002;11:S401-S407.
  • 18. Hodson L, Skeaff CM, Fielding BA. Fatty acid composition of adipose tissue and blood in humans and its use as a biomarker of dietary intake. Prog Lipid Res 2008;47:348-380.
  • 19. Matsumoto C, Hanson NQ, Tsai MY, Glynn RJ, Gaziano JM, Djoussé L. Plasma phospholipid saturated fatty acids and heart failure risk in the Physicians' Health Study. Clin Nutr 2013;32:819-823.
  • 20. Lemaitre RN, Fretts AM, Sitlani CM, Biggs ML, Mukamal K, King IB, Song X, Djoussé L, Siscovick DS, McKnight B, Sotoodehnia N, Kizer JR, Mozaffarian D. Plasma phospholipid very-long-chain saturated fatty acids and incident diabetes in older adults: the Cardiovascular Health Study. Am J Clin Nutr 2015;101:1047-1054.
  • 21. Fretts AM, Mozaffarian D, Siscovick DS, Djousse L, Heckbert SR, King IB, McKnight B, Sitlani C, Sacks FM, Song X, Sotoodehnia N, Spiegelman D, Wallace ER, Lemaitre RN. Plasma phospholipid saturated fatty acids and incident atrial fibrillation: the Cardiovascular Health Study. J Am Heart Assoc 2014;3:e000889.
  • 22. Forouhi NG, Koulman A, Sharp SJ, Imamura F, Kröger J, Schulze MB, Crowe FL, Huerta JM, Guevara M, Beulens JW, van Woudenbergh GJ, Wang L, Summerhill K, Griffin JL, Feskens EJ, Amiano P, Boeing H, Clavel-Chapelon F, Dartois L, Fagherazzi G, Franks PW, Gonzalez C, Jakobsen MU, Kaaks R, Key TJ, Khaw KT, Kühn T, Mattiello A, Nilsson PM, Overvad K, Pala V, Palli D, Quirós JR, Rolandsson O, Roswall N, Sacerdote C, Sánchez MJ, Slimani N, Spijkerman AM, Tjonneland A, Tormo MJ, Tumino R, van der A DL, van der Schouw YT, Langenberg C, Riboli E, Wareham NJ. Differences in the prospective association between individual plasma phospholipid saturated fatty acids and incident type 2 diabetes: the EPIC-InterAct case-cohort study. Lancet Diabetes Endocrinol 2014;2:810-818.
  • 23. Kweon S, Kim Y, Jang MJ, Kim Y, Kim K, Choi S, Chun C, Khang YH, Oh K. Data resource profile: the Korea National Health and Nutrition Examination Survey (KNHANES). Int J Epidemiol 2014;43:69-77.
  • 24. Friedewald WT, Levy RI, Fredrickson DS. Estimation of the concentration of low-density lipoprotein cholesterol in plasma, without use of the preparative ultracentrifuge. Clin Chem 1972;18:499-502.
  • 25. Rural Development Administration (KR). Food composition table. 7th ed. Suwon: Rural Development Administration; 2006.
  • 26. World Health Organization Western Pacific Region (PH). International Association for the Study of Obesity (GB). International Obesity Task Force (GB). The Asia-Pacific perspective: redefining obesity and its treatment. Balmain: Health Communications Australia; 2000.
  • 27. Grundy SM, Cleeman JI, Daniels SR, Donato KA, Eckel RH, Franklin BA, Gordon DJ, Krauss RM, Savage PJ, Smith SC Jr, Spertus JA, Costa F. American Heart Association. National Heart, Lung, and Blood Institute. Diagnosis and management of the metabolic syndrome: an American Heart Association/National Heart, Lung, and Blood Institute Scientific Statement. Circulation 2005;112:2735-2752.
  • 28. United States Department of Agriculture, Agricultural Research Service. USDA National Nutrient Database for Standard Reference: Release 27 [Internet]. 2015. cited 2015 June 11. Available from http://www.ars.usda.gov/Services/docs.htm?docid=8964
  • 29. Lam C, Wong D, Cederbaum S, Lim B, Qu Y. Peanut consumption increases levels of plasma very long chain fatty acids in humans. Mol Genet Metab 2012;107:620-622.
  • 30. Garg ML, Blake RJ, Wills RB. Macadamia nut consumption lowers plasma total and LDL cholesterol levels in hypercholesterolemic men. J Nutr 2003;133:1060-1063.
  • 31. Griel AE, Cao Y, Bagshaw DD, Cifelli AM, Holub B, Kris-Etherton PM. A macadamia nut-rich diet reduces total and LDL-cholesterol in mildly hypercholesterolemic men and women. J Nutr 2008;138:761-767.
  • 32. Lemaitre RN, King IB, Rice K, McKnight B, Sotoodehnia N, Rea TD, Johnson CO, Raghunathan TE, Cobb LA, Mozaffarian D, Siscovick DS. Erythrocyte very long-chain saturated fatty acids associated with lower risk of incident sudden cardiac arrest. Prostaglandins Leukot Essent Fatty Acids 2014;91:149-153.
  • 33. Kim NH, Ahn Y, Oh SK, Cho JK, Park HW, Kim YS, Hong MH, Nam KI, Park WJ, Jeong MH, Ahn BH, Choi JB, Kook H, Park JC, Jeong JW, Kang JC. Altered patterns of gene expression in response to chronic atrial fibrillation. Int Heart J 2005;46:383-395.
  • 34. Kröger J, Zietemann V, Enzenbach C, Weikert C, Jansen EH, Döring F, Joost HG, Boeing H, Schulze MB. Erythrocyte membrane phospholipid fatty acids, desaturase activity, and dietary fatty acids in relation to risk of type 2 diabetes in the European Prospective Investigation into Cancer and Nutrition (EPIC)-Potsdam Study. Am J Clin Nutr 2011;93:127-142.
  • 35. Lauritzen L, Hellgren LI. Plasma phospholipid very-long-chain saturated fatty acids: a sensitive marker of metabolic dysfunction or an indicator of specific healthy dietary components? Am J Clin Nutr 2015;101:901-902.
  • 36. Kihara A. Very long-chain fatty acids: elongation, physiology and related disorders. J Biochem 2012;152:387-395.
  • 37. Mesicek J, Lee H, Feldman T, Jiang X, Skobeleva A, Berdyshev EV, Haimovitz-Friedman A, Fuks Z, Kolesnick R. Ceramide synthases 2, 5, and 6 confer distinct roles in radiation-induced apoptosis in HeLa cells. Cell Signal 2010;22:1300-1307.
  • 38. Turpin SM, Nicholls HT, Willmes DM, Mourier A, Brodesser S, Wunderlich CM, Mauer J, Xu E, Hammerschmidt P, Brönneke HS, Trifunovic A, LoSasso G, Wunderlich FT, Kornfeld JW, Blüher M, Krönke M, Brüning JC. Obesity-induced CerS6-dependent C16:0 ceramide production promotes weight gain and glucose intolerance. Cell Metab 2014;20:678-686.
  • 39. Raichur S, Wang ST, Chan PW, Li Y, Ching J, Chaurasia B, Dogra S, Öhman MK, Takeda K, Sugii S, Pewzner-Jung Y, Futerman AH, Summers SA. CerS2 haploinsufficiency inhibits β-oxidation and confers susceptibility to diet-induced steatohepatitis and insulin resistance. Cell Metab 2014;20:687-695.
  • 40. Pewzner-Jung Y, Park H, Laviad EL, Silva LC, Lahiri S, Stiban J, Erez-Roman R, Brügger B, Sachsenheimer T, Wieland F, Prieto M, Merrill AH Jr, Futerman AH. A critical role for ceramide synthase 2 in liver homeostasis: I. alterations in lipid metabolic pathways. J Biol Chem 2010;285:10902-10910.
Table 1

Basic characteristics of study population

Table 1
Quartiles of VLSFA intake*
Arachidic acid
(20:0)
Behenic acid
(22:0)
Ligonoceric acid
(24:0)
Q1
(n = 1232)
Q4
(n = 861)
Q1
(n = 1204)
Q4
(n = 994)
Q1
(n = 1036)
Q4
(n = 987)
Male, %, n 42.2 (520) 41.5 (357) 42.4 (511) 39.6 (394) 46.7 (484) 35.7 (352)
Age, years 57.4 ± 0.4 42.6 ± 0.4 54.2 ± 0.5 45.7 ± 0.5 48.6 ± 0.5 49.7 ± 0.5
Current drinker, %, n 47.6 (557) 57.9 (471) 52.4 (601) 55.4 (521) 58.1 (566) 45.6 (425)
Current smoker, %, n 19.9 (233) 18.0 (146) 21.1 (241) 17.9 (168) 29.2 (224) 14.6 (136)
Physical activity, %, n 42.7 (497) 49.2 (400) 43.3 (493) 49.5 (465) 44.7 (433) 43.7 (407)
Education level, %, n
 ≤Elementary school 38.2 (449) 10.0 (81) 34.1 (392) 13.8 (130) 25.0 (244) 19.9 (186)
 ≤Middle school 14.3 (168) 7.5 (61) 12.9 (148) 8.4 (79) 9.9 (97) 11.9 (111)
 ≤High school 29.5 (347) 39.2 (319) 32.1 (369) 35.9 (337) 34.1 (333) 34.3 (320)
 ≤University 18.0 (211) 43.3 (352) 21.0 (241) 23.4 (940) 23.3 (302) 33.9 (317)
Physician diagnosis, %, n
 CVD 33.2 (391) 14.9 (121) 28.0 (322) 18.7 (176) 21.4 (209) 22.0 (206)
 Hypertension 42.6 (506) 20.2 (166) 36.6 (424) 26.4 (251) 29.5 (292) 30.2 (284)
 Diabetes 16.5 (196) 7.1 (58) 14.2 (165) 10.6 (100) 11.6 (114) 12.3 (115)
 Dyslipidemia 25.2 (299) 15.8 (129) 22.1 (256) 20.8 (196) 17.2 (169) 24.1 (227)
Nutrient supplementation, %, n 46.1 (561) 48.5 (412) 45.5 (542) 51.9 (510) 46.6 (447) 49.3 (971)
Nutrient intake
Total energy, kcal 1,785.8 ± 20.7 2,230.0± 28.6 1,834.1 ± 22.0 2,150.2 ± 26.5 1,957.8 ± 26.3 1,995.4 ± 23.3
 Carbohydrate,% 72.8 ± 0.4 54.9 ± 0.4 69.3 ± 0.4 58.0 ± 0.4 63.9 ± 0.5 65.1 ± 0.3
 Protein, % 12.4 ± 0.1 15.0 ± 0.1 12.5 ± 0.1 15.2 ± 0.1 13.0 ± 0.1 14.4 ± 0.2
 Fat, % 9.9 ± 0.2 27.9 ± 0.2 13.2 ± 0.3 24.1 ± 0.2 17.1 ± 0.3 19.0 ± 0.3
  SFA, % 2.9 ± 0.1 7.9 ± 0.1 4.3 ± 0.1 6.1 ± 0.1 5.1 ± 0.1 5.2 ± 0.1
  MUFA, % 2.8 ± 0.1 9.2 ± 0.1 4.3 ± 0.1 7.3 ± 0.1 5.3 ± 0.1 6.0 ± 0.1
  PUFA, % 2.29 ± 0.04 7.43 ± 0.10 2.49 ± 0.04 7.45 ± 0.09 4.12 ± 0.09 5.07 ± 0.08

The values of age, body mass index (BMI), risk factors, and nutrient intakes are represented as mean ± S.E., The values of proportion of male subjects, alcohol use, smoking, physical activity, income status, and physician diagnosis are represented as the percentage of total subjects.

VLSFA: very long chain fatty acid, CVD: cardiovascular disease, SFA: saturated fatty acid, MUFA: mono-unsaturated fatty acid, PUFA: poly-unsaturated fatty acid. *Differences between quartile groups were determined by one-way ANOVA with Bonferroni correction for continuous variables, and chi square test for categorical variables (p < 0.05); p-value < 0.05; The ratio of energy intake from each macronutrient to total energy was calculated.

Table 2

Differences in metabolic risk factors according to VLSFA intake

Table 2
Quartiles of VLSFA intake p value*
Q1 Q2 Q3 Q4
Arachidic acid (20:0)
 BMI, kg/m2 24.1 ± 0.1b 24.0 ± 0.1b 23.5 ± 0.1a 23.6 ± 0.1a < 0.0001
 WC, cm 82.1 ± 0.3b 81.1 ± 0.3b 79.4 ± 0.3a 79.2 ± 0.3a < 0.0001
 SBP, mmHg 122.1 ± 0.5c 118.4 ± 0.5b 115.5 ± 0.5a 113.9 ± 0.5a < 0.0001
 DBP, mmHg 75.2 ± 0.3ab 75.9 ± 0.3b 75.0 ± 0.3ab 74.2 ± 0.3a 0.0026
 FBG, mg/dL 102.7 ± 0.7b 101.3 ± 0.7b 97.1 ± 0.6a 96.0 ± 0.6a < 0.0001
 TG, mg/dL 142.2 ± 2.9b 143.0 ± 3.9b 127.5 ± 3.0a 127.5 ± 3.6a 0.0002
 TC, mg/dL 190.3 ± 1.0 189.6 ± 1.1 187.8 ± 1.1 187.6 ± 1.2 0.2093
 HDL, mg/dL 47.2 ± 0.3a 47.4 ± 0.3ab 48.8 ± 0.3c 48.6 ± 0.4b 0.0003
 LDL, mg/dL 116.1 ± 0.9 115.2 ± 1.0 114.8 ± 1.0 115.0 ± 1.1 0.7673
 AST, IU/L 23.0 ± 0.3b 22.2 ± 0.3ab 20.9 ± 0.3a 20.8 ± 0.5a < 0.0001
 ALT, IU/L 22.0 ± 0.6 21.8 ± 0.5 21.0 ± 0.5 21.0 ± 0.7 0.4641
Behenic acid (22:0)
 BMI, kg/m2 24.1 ± 0.1b 24.1 ± 0.1b 23.5 ± 0.1a 23.6 ± 0.1a < 0.0001
 WC, cm 81.8 ± 0.3b 81.3 ± 0.3b 79.5 ± 0.3a 79.5 ± 0.3a < 0.0001
 SBP, mmHg 120.4 ± 0.5c 118.5 ± 0.5b 116.0 ± 0.5a 116.0 ± 0.5a < 0.0001
 DBP, mmHg 75.4 ± 0.3 75.3 ± 0.3 75.1 ± 0.3 74.7 ± 0.3 0.3553
 FBG, mg/dL 101.7 ± 0.7b 100.3 ± 0.7ab 98.1 ± 0.7a 98.0 ± 0.7a 0.0001
 TG, mg/dL 148.0 ± 3.8b 131.6 ± 2.7a 130.7 ± 3.7a 131.2 ± 3.2a 0.0002
 TC, mg/dL 190.2 ± 1.0 188.1 ± 1.1 188.9 ± 1.2 188.6 ± 1.1 0.5530
 HDL, mg/dL 47.3 ± 0.3a 47.8 ± 0.3ab 48.5 ± 0.3b 48.4 ± 0.3ab 0.0221
 LDL, mg/dL 115.9 ± 0.9 114.6 ± 1.0 115.3 ± 1.0 115.3 ± 1.0 0.8220
 AST, IU/L 22.7 ± 0.4b 22.0 ± 0.3ab 21.6 ± 0.4ab 20.9 ± 0.3a 0.0020
 ALT, IU/L 22.3 ± 0.7 21.6 ± 0.5 21.2 ± 0.5 20.9 ± 0.5 0.3368
Lignoceric acid (24:0)
 BMI, kg/m2 23.9 ± 0.1 23.9 ± 0.1 24.0 ± 0.1 23.6 ± 0.1 0.0581
 WC, cm 80.9 ± 0.3 80.7 ± 0.3 80.9 ± 0.3 89.9 ± 0.3 0.0447
 SBP, mmHg 117.4 ± 0.5 118.7 ± 0.5 118.2 ± 0.5 117.2 ± 0.5 0.1562
 DBP, mmHg 75.0 ± 0.3 75.6 ± 0.3 75.2 ± 0.3 74.6 ± 0.3 0.1893
 FBG, mg/dL 99.2 ± 0.6 99.7 ± 0.6 101.0 ± 0.8 98.6 ± 0.6 0.0930
 TG, mg/dL 141.3 ± 0.8b 140.4 ± 0.6b 133.9 ± 0.3ab 127.5 ± 2.7a 0.0155
 TC, mg/dL 187.5 ± 1.1 188.5 ± 1.1 189.3 ± 1.1 190.7 ± 1.1 0.2365
 HDL, mg/dL 47.8 ± 0.3 47.7 ± 0.3 48.1 ± 0.3 48.2 ± 0.3 0.6712
 LDL, mg/dL 113.3 ± 1.0a 114.5 ± 0.9ab 115.8 ± 1.0ab 117.8 ± 1.0b 0.0123
 AST, IU/L 22.0 ± 0.4 21.8 ± 0.3 22.0 ± 0.4 21.6 ± 0.3 0.8782
 ALT, IU/L 22.0 ± 0.7 21.0 ± 0.5 21.5 ± 0.6 21.6 ± 0.6 0.7089

Values are presented as mean ± S.E.

VLSFA: very long chain fatty acid, BMI: body mass index, WC: waist circumference, SBP: systolic blood pressure, DBP: diastolic blood pressure, FBG: fasting blood glucose, TG: triglyceride, TC: total cholesterol, HDL: high density lipoprotein cholesterol, LDL: low density lipoprotein cholesterol, AST: aspartate amino transferase, ALT: alanine aminotransferase.

*p-value was derived from ANOVA with Bonferroni correction for continuous variables. Sharing the same alphabet indicates no significant difference among groups (p < 0.05); Q1 indicates lowest quartile of VLSFA intake.

Table 3

Association of intake of arachidic, behenic, and lignoceric acid with the prevalence of metabolic syndrome

Table 3
Quartiles of VLSFA intake
Q1 Q2 Q3 Q4
Arachidic acid (20:0)
 Total fatty acids* 0.016 (0.000, 0.026) 0.034 (0.026, 0.042) 0.051 (0.042, 0.063) 0.080 (0.063, 0.422)
 Model 1 1 (ref) 0.983 (0.823, 1.174) 0.741 (0.608, 0.903) 0.719 (0.580, 0.892)
 Model 2§ 1 (ref) 1.033 (0.834, 1.278) 0.824 (0.652, 1.042) 0.660 (0.510, 0.854)
Behenic acid (22:0)
 Total fatty acids 0.004 (0.000-0.008) 0.012 (0.008, 0.016) 0.207 (0.016, 0.028) 0.043 (0.028, 0.656)
 Model 1 1 (ref) 0.950 (0.790, 1.141) 0.907 (0.663, 0.982) 0.896 (0.737, 1.090)
 Model 2 1 (ref) 0.919 (0.739, 1.142) 0.899 (0.712, 1.136) 0.917 (0.726, 1.159)
Lignoceric acid (24:0)
 Total fatty acids 0.000 (0.000-0.001) 0.001 (0.001, 0.001) 0.002 (0.001, 0.003) 0.005 (0.003, 0.363)
 Model 1 1 (ref) 0.918 (0.757, 1.114) 0.994 (0.819, 1.208) 0.898 (0.735, 1.098)
 Model 2 1 (ref) 0.863 (0.686, 1.085) 1.012 (0.803, 1.276) 0.929 (0.732, 1.179)
Sum of VLSFA
 Total fatty acids 0.024 (0.000-0.039) 0.050 (0.039, 0.062) 0.075 (0.062, 0.093) 0.124 (0.093, 1.441)
 Model 1 1 (ref) 0.843 (0.704, 1.009) 0.757 (0.622, 0.923) 0.751 (0.613, 0.921)
 Model 2 1 (ref) 0.886 (0.715, 1.099) 0.818 (0.646, 1.035) 0.748 (0.585, 0.956)

VLSFA: very long chain fatty acid.

*Total fatty acids was represented as percentage of energy from fatty acid intake; Median: range in parentheses (all such values); Model 1: adjusted for age and sex; §Model 2: adjusted for age, sex, BMI, education level, alcohol use, smoking, exercise, coexistence of CVD, and intake of nutrient supplement; Q1 indicates lowest quartile of VLSFA.

Download Citation

Download a citation file in RIS format that can be imported by all major citation management software, including EndNote, ProCite, RefWorks, and Reference Manager.

Format:

Include:

Dietary Very Long Chain Saturated Fatty Acids and Metabolic Factors: Findings from the Korea National Health and Nutrition Examination Survey 2013
Clin Nutr Res. 2015;4(3):182-189.   Published online July 31, 2015
Download Citation

Download a citation file in RIS format that can be imported by all major citation management software, including EndNote, ProCite, RefWorks, and Reference Manager.

Format:
Include:
Dietary Very Long Chain Saturated Fatty Acids and Metabolic Factors: Findings from the Korea National Health and Nutrition Examination Survey 2013
Clin Nutr Res. 2015;4(3):182-189.   Published online July 31, 2015
Close
Dietary Very Long Chain Saturated Fatty Acids and Metabolic Factors: Findings from the Korea National Health and Nutrition Examination Survey 2013
Dietary Very Long Chain Saturated Fatty Acids and Metabolic Factors: Findings from the Korea National Health and Nutrition Examination Survey 2013
Table 1 Basic characteristics of study population

The values of age, body mass index (BMI), risk factors, and nutrient intakes are represented as mean ± S.E., The values of proportion of male subjects, alcohol use, smoking, physical activity, income status, and physician diagnosis are represented as the percentage of total subjects.

VLSFA: very long chain fatty acid, CVD: cardiovascular disease, SFA: saturated fatty acid, MUFA: mono-unsaturated fatty acid, PUFA: poly-unsaturated fatty acid. *Differences between quartile groups were determined by one-way ANOVA with Bonferroni correction for continuous variables, and chi square test for categorical variables (p < 0.05); p-value < 0.05; The ratio of energy intake from each macronutrient to total energy was calculated.

Table 2 Differences in metabolic risk factors according to VLSFA intake

Values are presented as mean ± S.E.

VLSFA: very long chain fatty acid, BMI: body mass index, WC: waist circumference, SBP: systolic blood pressure, DBP: diastolic blood pressure, FBG: fasting blood glucose, TG: triglyceride, TC: total cholesterol, HDL: high density lipoprotein cholesterol, LDL: low density lipoprotein cholesterol, AST: aspartate amino transferase, ALT: alanine aminotransferase.

*p-value was derived from ANOVA with Bonferroni correction for continuous variables. Sharing the same alphabet indicates no significant difference among groups (p < 0.05); Q1 indicates lowest quartile of VLSFA intake.

Table 3 Association of intake of arachidic, behenic, and lignoceric acid with the prevalence of metabolic syndrome

VLSFA: very long chain fatty acid.

*Total fatty acids was represented as percentage of energy from fatty acid intake; Median: range in parentheses (all such values); Model 1: adjusted for age and sex; §Model 2: adjusted for age, sex, BMI, education level, alcohol use, smoking, exercise, coexistence of CVD, and intake of nutrient supplement; Q1 indicates lowest quartile of VLSFA.