Skip to main navigation Skip to main content
  • KSCN
  • E-Submission

CNR : Clinical Nutrition Research

OPEN ACCESS
ABOUT
BROWSE ARTICLES
EDITORIAL POLICIES
FOR CONTRIBUTORS

Articles

Original Article

Comparative nutritional assessment of vegetarian and nonvegetarian ready-to-eat foods

Clinical Nutrition Research 2026;15(1):36-44.
Published online: January 31, 2026

1Graduate School of Education, Kongju National University, Yesan, Korea

2Department of Food and Nutrition, Kongju National University, Yesan, Korea

Correspondence to: Mi-Kyeong Choi Department of Food and Nutrition, Kongju National University, 54 Daehak-ro, Yesan 32439, Korea Email: mkchoi67@kongju.ac.kr
• Received: October 23, 2025   • Revised: December 31, 2025   • Accepted: January 8, 2026

© 2026 The Korean Society of Clinical Nutrition

This is an Open Access article distributed under the terms of the Creative Commons Attribution Non-Commercial License (http://creativecommons.org/licenses/by-nc/4.0) which permits unrestricted non-commercial use, distribution, and reproduction in any medium, provided the original work is properly cited.

  • 966 Views
  • 16 Download
prev next
  • Objective
    This study aimed to assess the nutritional adequacy of vegetarian ready-to-eat convenience foods, focusing on gimbap, rice ball, and sandwich products.
  • Methods
    We examined 114 vegetarian and 414 nonvegetarian ready-to-eat products and compared their energy and nutrient contents to gain useful insights for consumers when making informed choices and for producers when developing nutritionally balanced vegetarian convenience foods.
  • Results
    Compared with nonvegetarian products, vegetarian convenience foods had a significantly greater carbohydrate content per serving and significantly lower protein, sodium, and cholesterol contents. Although vegetarian gimbap was significantly more costly than the nonvegetarian gimbap, its cholesterol and saturated fat contents were significantly lower. Vegetarian rice balls had a significantly lower trans fat content than their nonvegetarian counterparts. Sandwiches in the vegetarian options had a significantly higher sugars content but had significantly lower protein and sodium contents than those in the nonvegetarian options. Vegetarian convenience foods did not meet one-third of the daily nutrient reference values for a single meal, similar to their nonvegetarian counterparts, but their sodium content exceeded the daily reference value. However, unlike the nonvegetarian options, the sodium content of vegetarian sandwiches did not exceed the daily value.
  • Conclusion
    Vegetarian convenience foods contain higher levels of carbohydrates and sugars and lower levels of protein, sodium, and cholesterol than nonvegetarian convenience foods. Foods such as vegetarian gimbap, rice balls, and sandwiches do not provide sufficient energy or nutrients to meet the nutritional requirements for a single meal. Creating nutritionally balanced vegetarian convenience foods should be the focus when developing new vegetarian food products.
Veganism is a broad concept that not only adheres to a plant-based diet but also avoids products containing animal-derived ingredients or produced through animal-exploiting processes [1]. Vegetarian diets are classified according to the degree to which animal-derived foods are restricted. These include strict vegan diets, which completely exclude all animal products; ovo-lacto vegetarian diets, which allow eggs and dairy but exclude meat; pescatarian diets, which avoid all meat except for fish and seafood; and flexitarian diets, which occasionally include meat [2].
Interest in and adoption of vegetarianism have been steadily increasing locally and globally. In 2020, the global vegetarian population reached approximately 180 million, while the local population was between 1 and 1.5 million [3]. Ethical and environmental concerns, as well as health-related considerations, prompt certain individuals to choose a vegetarian lifestyle [4]. From a sustainability perspective, vegetarianism helps reduce greenhouse gas emissions, improve land use efficiency, and minimize biodiversity loss, making it an increasingly important approach to sustainable food consumption [5]. Furthermore, plant-based diets are typically lower in saturated fat and cholesterol but richer in dietary fiber, phytochemicals, vitamin C, folate, and magnesium than animal-based diets, thereby beneficial in preventing cardiovascular diseases and certain types of cancer [6]. However, highly processed plant-based foods may contain excessive amounts of added sugars, sodium, and saturated fats, potentially increasing the risk of metabolic disorders [7].
Home meal replacements (HMRs) are processed food products designed to shorten meal preparation time. HMRs are typically classified into four categories according to the level of preparation needed: ready-to-eat (RTE; consumed immediately upon purchase), ready-to-heat (requiring minimal heating), ready-to-end-cook (requiring substantial heating), and ready-to-cook (containing preprocessed ingredients and still requiring partial or complete cooking) [8]. Economic growth and rising national income have notably reshaped consumer lifestyles, driving rapid expansion of the HMR market to meet the increasing consumer demand for convenient and time-saving options [9]. Additionally, since the onset of the COVID-19 pandemic in 2019, the consumption of convenience foods has continued to increase [10].
In modern society, where lifestyles prioritizing convenience and simplicity have become ever more common, nutritional research on the convenience of vegetarian foods has become increasingly important, given the increasing number of individuals adopting vegetarian diets for various reasons. While previous studies have examined vegetarian consumer motivations for food selection, satisfaction, perceptions, and dietary habits [11,12], the nutritional contents of commercially available vegetarian convenience foods remain uninvestigated, indicating a significant gap in the literature. In particular, research on RTE foods, which are designed for immediate consumption and frequently chosen by modern consumers, should be prioritized.
This study aimed to conduct a nutritional evaluation of vegetarian convenience foods to provide evidence-based insights for consumers selecting convenience food products. Hence, we compared and analyzed the nutritional composition (energy, carbohydrate, protein, fat, trans fat, saturated fat, cholesterol, sodium, and sugars contents) of vegetarian and nonvegetarian convenience foods available on the local market.
Ethics statement
This study did not involve human participants or animal subjects and was based solely on publicly available product label information; therefore, institutional review board approval was not required.
Study targets
We conducted a survey from December 2024 to February 2025 to evaluate the nutritional content of vegetarian convenience foods, particularly RTE foods. Using the search terms “gimbap,” “rice balls,” “triangular gimbap,” “sandwiches,” and “hamburgers” on local portal sites and convenience store applications, we identified 528 products currently available on the market. Of these, 114 were vegetarian convenience foods, and 414 were nonvegetarian. By product type, 155, 120, and 253 were gimbap, rice ball, and sandwich products, respectively.
Survey contents and methods
Data on product type, storage method, weight, nutritional content per unit weight (including energy, carbohydrate, protein, fat, trans fat, saturated fat, cholesterol, sodium, and sugars contents), and price were collected from the labels printed on the packaging. Vegetarian convenience foods were classified as vegan, ovo-lacto vegetarian, or pescatarian according to the ingredient lists and allergen information provided on the labels. To evaluate the nutritional adequacy of a single meal composed of vegetarian versus nonvegetarian convenience foods, we calculated the proportion of one-third of the daily reference value provided by a single serving.
Statistical analysis
Descriptive statistics, including means, standard deviations, and frequencies, were obtained from the survey data. The nutritional contents of vegetarian and nonvegetarian convenience foods were compared using Student t-test. To compare nutritional contents across different types of convenience foods and vegetarian categories, we used one-way analysis of variance. When significant differences were identified, we conducted post hoc analysis using Duncan's new multiple range test. All statistical data were analyzed using IBM SPSS ver. 30.0 (IBM Corp.). A P-value below 0.05 was considered statistically significant.
General characteristics of vegetarian and nonvegetarian RTE foods
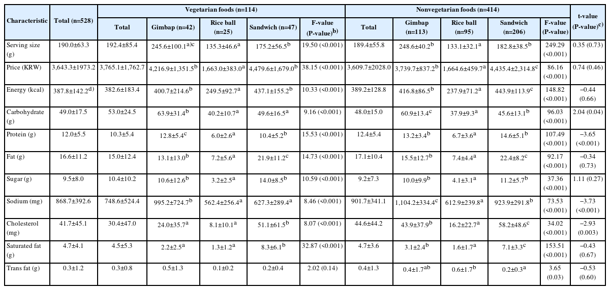
Table 1 summarizes the basic and nutritional characteristics of vegetarian and nonvegetarian convenience foods. Across all products, the mean serving size was 190.0 g, while the mean price per serving was 3,643.3 South Korean won (KRW), with no significant differences noted between vegetarian and nonvegetarian items. The carbohydrate content per serving was significantly higher among vegetarian convenience foods than among nonvegetarian products (53.0 g vs. 48.0 g, P<0.05). Conversely, the protein (10.3 g vs. 12.4 g, P<0.001), sodium (748.6 mg vs. 901.7 mg, P<0.001), and cholesterol (30.4 mg vs. 44.6 mg, P<0.01) contents were also significantly lower in vegetarian products. Among the types of vegetarian convenience foods, gimbap had the highest average weight per serving (245.6 g), followed by sandwiches (175.2 g) and rice balls (135.3 g, P<0.001). Sandwich-type (4,479.6 KRW, 437.1 kcal) and gimbap-type (4,216.9 KRW, 400.7 kcal) products had significantly higher price and energy contents than rice ball-type items (1,663.0 KRW, 249.5 kcal; P<0.001 for both). Gimbap products also had significantly higher levels of carbohydrate, protein, and sodium, whereas sandwiches contained significantly higher levels of fat, sugars, cholesterol, and saturated fat.
Nutrient contents of vegetarian and nonvegetarian gimbaps
Table 2 lists the energy and nutrient contents of vegetarian and nonvegetarian gimbap, categorized by vegetarian diet type. The vegetarian gimbap had significantly lower contents of cholesterol (24.0 mg vs. 43.9 mg, P<0.01) and saturated fat (2.2 g vs. 3.1 g, P<0.05) per serving than nonvegetarian gimbap. Per 100 g, the cholesterol (10.0 mg vs. 17.4 mg, P<0.05) and saturated fat (0.8 g vs. 1.3 g, P<0.05) contents were significantly lower in the vegetarian gimbap than in the nonvegetarian gimbap, whereas the carbohydrate content was significantly greater (25.9 g vs. 24.5 g, P<0.05). Fat content, both per serving and per 100 g, showed significant differences according to vegetarian type; however, differences between individual types were not significant.
Nutrient contents of vegetarian and nonvegetarian rice balls
Table 3 presents the energy and nutrient contents of the vegetarian and nonvegetarian rice balls, categorized by vegetarian diet type. The trans fat content per serving and per 100 g was significantly lower in vegetarian rice balls than in nonvegetarian rice balls (0.1 g vs. 0.6 g, P<0.05; 0.1 g vs. 0.5 g, P<0.01). Regarding the vegetarian type, the pescatarian rice balls had significantly greater weight per serving (154.2 g vs. 102.5 g) and saturated fat content per 100 g (1.1 g vs. 0.3 g) than the vegan rice balls (P<0.05 for both).
Nutrient contents of vegetarian and nonvegetarian sandwiches
Table 4 presents the nutritional content differences between vegetarian and nonvegetarian sandwiches, as well as among various types of vegetarian sandwiches. The vegetarian sandwiches had significantly higher sugars content per serving (14.0 g vs. 11.2 g per serving, P<0.05) and per 100 g (8.5 g vs. 6.1 g per 100 g, P<0.05) than the nonvegetarian sandwiches. Conversely, their protein content (10.4 g vs. 14.6 g per serving, P<0.001; 5.9 g vs. 8.0 g per 100 g, P<0.001) and sodium content (627.3 mg vs. 923.9 mg per serving, P<0.001; 349.3 mg vs. 504.7 mg per 100 g, P<0.001) were significantly lower. Meanwhile, their saturated fat content per 100 g was significantly higher than that of nonvegetarian sandwiches (4.9 g vs. 3.9 g, P<0.05). Moreover, serving weights and sodium content per serving significantly differed among vegetarian sandwiches according to vegetarian type. Vegan sandwiches had the highest serving weight (213.0 g, P<0.05) and sodium content per serving (806.0 mg, P<0.01). Energy, carbohydrate, fat, and saturated fat contents per 100 g also varied significantly by vegetarian type, with the highest values noted in ovo-lacto vegetarian sandwiches (280.5 kcal, 32.5 g carbohydrates, 13.6 g fat, and 6.2 g saturated fat). Meanwhile, pescatarian sandwiches had the highest sodium content per 100 g (411.7 mg).
Nutritional adequacy of vegetarian and nonvegetarian RTE foods
Table 5 lists the results comparing the nutritional adequacy of vegetarian and nonvegetarian RTE products, evaluated as single meals against one-third of the daily reference values. Both vegetarian and nonvegetarian products were generally below the reference values for energy and most nutrients. However, the sodium content of gimbap in both the vegetarian and nonvegetarian versions exceeded the reference value. While sandwiches exceeded the reference values for fat and saturated fat, no significant differences were found between the vegetarian and nonvegetarian options. The sodium content of the vegetarian sandwiches was below the reference value, whereas that of the nonvegetarian sandwiches exceeded it, showing a statistically significant difference (P<0.001).
Given that convenience-oriented lifestyles have become more widespread and that interest in vegetarianism continues to grow, this study evaluated whether the nutrients found in vegetarian RTE convenience foods are adequate. Results showed that vegetarian convenience foods contain higher levels of carbohydrates and sugars but lower levels of protein, sodium, and cholesterol than their nonvegetarian counterparts. Similar nutritional trends were observed in specific product categories, including gimbap, rice balls, and sandwiches.
In general, vegetarian diets, particularly vegan diets, exclude animal-based foods such as meat and fish; therefore, their nutritional characteristics are distinct from those of typical omnivorous diets. Shridhar et al. [13] investigated the nutritional intake of 6,555 adults and reported that vegetarians, who do not consume eggs, fish, poultry, and meat, had higher intakes of carbohydrates, dietary fiber, and folate but consumed lower amounts of fat, protein, vitamin B12, and zinc than nonvegetarians. A vegetarian diet is characterized by low levels of saturated fat and cholesterol and high levels of dietary fiber, phytochemicals, vitamin C, folate, and magnesium; thus, it has been associated with a reduced risk of cardiovascular disease and certain cancer types [6]. This association is a key factor when evaluating vegetarianism as a health-promoting dietary pattern [14-16]. This study revealed that some vegetarian RTE foods contain low levels of cholesterol and saturated fat, consistent with the findings of previous research.
Contrary to the health benefits of a vegetarian diet, highly processed vegetarian foods often contain elevated levels of sugars and sodium, increasing the risk of metabolic diseases [7]. In this study, vegetarian RTE foods had significantly greater contents of carbohydrate and sugars than nonvegetarian products, while the sodium content was lower. When the nutritional adequacy of vegetarian RTE foods as a single meal was evaluated by comparing their nutrient content with dietary reference intake values, both the carbohydrate and sugars contents did not meet the recommended values. While the sodium content in vegetarian sandwiches remained within the recommended limits, that in nonvegetarian sandwiches exceeded the reference value. Therefore, vegetarian RTE foods may be more nutritionally appropriate in terms of sodium content. The nutritional evaluation of local vegetarian RTE products examined in this study may differ from that of vegetarian diets or foreign vegetarian RTE products; therefore, conducting comparative studies on this topic is warranted.
Consuming vegetarian diets may lead to deficiencies in nutrients such as protein, zinc, iron, vitamin B12, and vitamin D [17-19]. Although we did not assess vitamin and mineral contents, we found that the protein content of vegetarian RTE foods was significantly lower than that of nonvegetarian products, consistent with previous findings. Owing to this scientific evidence, concerns have been raised regarding the potential of developing nutritional deficiencies among growing children who follow vegetarian diets [20,21]. This concern is particularly relevant, given that the foods evaluated in this study (gimbap, rice balls, and sandwiches) are commonly consumed by children and adolescents during critical growth periods, underscoring the need for proper nutritional management. We evaluated the protein adequacy of these RTE foods as a single meal and found that both vegetarian and nonvegetarian versions of gimbap, rice balls, and sandwiches failed to meet the recommended protein intake standards. Notably, rice balls supplied below 50% of one-third of the daily protein reference value. RTE foods are consumed either as a full meal, partial meal, or snack. Given that this study compared the nutritional characteristics of individual products by using one-third of the daily reference value, further research is needed to examine whether nutritional adequacy can be achieved when incorporating plant-based products into real-world meals.
Therefore, when children and adolescents consume gimbap, rice balls, or sandwiches as a single meal, pairing them with other foods that can help supplement protein intake is important. Although the differences between dietary types were not statistically significant, the protein content tended to be lowest in vegan products, followed by ovo-lacto vegetarian and pescatarian products. Therefore, when developing RTE vegetarian products, considering potential nutritional deficiencies and tailoring formulations are essential to meet the nutritional requirements.
Vegetarian diets not only offer health and nutritional benefits but also potentially address the climate crisis [22], making them increasingly relevant to environmental education. In countries such as Germany, France, Denmark, and South Korea, vegetarian meal options have been introduced in school cafeterias [23]. Furthermore, Poinsot et al. [24] assessed the nutritional adequacy of vegetarian and nonvegetarian diets in France. Despite having low levels of vitamin B12, vitamin D, vitamin B2, and calcium, vegetarian diets were considered to have a generally favorable nutritional profile. This finding was attributed to the appropriate inclusion of eggs and dairy products, depending on the vegetarian diet type. Dahmani et al. [25] reported no significant differences between the proportions of vegetarian and nonvegetarian school meal menus that met nutritional adequacy standards in French elementary schools. They found that 87.5% of vegetarian menus and 88.5% of nonvegetarian menus met the standards, indicating that both types of menus were nutritionally adequate.
Choi et al. [26] also compared vegetarian and nonvegetarian meal menus provided in an elementary school service in South Chungcheong Province. Vegetarian meals had lower protein and vitamin B1 contents but higher vitamin A and calcium levels than nonvegetarian meals. This study also emphasizes the need to develop a wider variety of vegetarian menus that meet nutritional requirements. With the increasing prevalence of convenience-oriented lifestyles and growing interest in vegetarianism, developing more nutritionally balanced vegetarian convenience foods that reflect the specific nutritional profile of plant-based diets is needed.
Limitations
This study has several limitations in terms of generalizability. Despite a thorough investigation, the variety of vegetarian RTE products was limited; consequently, the number of items included for the analysis was insufficient. Certain categories of RTE foods contained very few vegetarian options; thus, our analysis was merely focused on gimbap, rice balls, and sandwiches. The nutritional content and adequacy of vegetarian diets were evaluated primarily according to the energy and macronutrients specified on nutritional labels. Future research should expand to analyze and assess micronutrients such as vitamin B12, iron, calcium, and zinc, which are critically discussed in relation to vegetarian diets. Nevertheless, we were able to identify the nutritional characteristics of vegetarian RTE foods. These findings may help consumers make more appropriate product choices and may support the development of more nutritious vegetarian products. The development of such products is particularly important, given the rising demand for vegetarian options and the widespread consumption of convenience foods.
Conclusion
Vegetarian RTE convenience foods contain higher carbohydrate and sugars levels and lower protein, sodium, and cholesterol levels than nonvegetarian convenience foods do. Vegetarian versions of gimbap, rice balls, and sandwiches are deficient in energy or nutrients, failing to meet the nutritional requirements of a single meal. Thus, future product development should aim to produce nutritionally balanced vegetarian convenience foods.

Authors' contributions

Conceptualization: MKC. Formal analysis: JP, SRH. Investigation: JP. Methodology: JP, MKC. Supervision: MKC. Writing - original draft: JP, SRH, MKC. Writing - review & editing: JP, SRH, MKC. All authors read and approved the final manuscript.

Conflicts of interest

Mi-Kyeong Choi is an editorial board member of this journal but was not involved in the peer reviewer selection, evaluation, or decision process of this article. No other potential conflict of interest relevant to this article was reported.

Funding

None.

Data availability

Data of this research are available from the corresponding author upon reasonable request.

Table 1.
General characteristics of vegetarian and nonvegetarian ready-to-eat foods
Table 1.
Characteristic Total (n=528) Vegetarian foods (n=114) Nonvegetarian foods (n=414) t-value (P-value)c)
Total Gimbap (n=42) Rice ball (n=25) Sandwich (n=47) F-value (P-value)b) Total Gimbap (n=113) Rice ball (n=95) Sandwich (n=206) F-value (P-value)
Serving size (g) 190.0±63.3 192.4±85.4 245.6±100.1a)c 135.3±46.6a 175.2±56.5b 19.50 (<0.001) 189.4±55.8 248.6±40.2b 133.1±32.1a 182.8±38.5b 249.29 (<0.001) 0.35 (0.73)
Price (KRW) 3,643.3±1973.2 3,765.1±1,762.7 4,216.9±1,351.5b 1,663.0±383.0a 4,479.6±1,679.0b 38.15 (<0.001) 3,609.7±2028.0 3,739.7±837.2b 1,664.6±459.7a 4,435.4±2,314.8c 86.16 (<0.001) 0.74 (0.46)
Energy (kcal) 387.8±142.2d) 382.6±183.4 400.7±214.6b 249.5±92.7a 437.1±155.2b 10.33 (<0.001) 389.2±128.8 416.8±86.5b 237.9±71.2a 443.9±113.9c 148.82 (<0.001) −0.44 (0.66)
Carbohydrate (g) 49.0±17.5 53.0±24.5 63.9±31.4b 40.2±10.7a 49.6±16.5a 9.16 (<0.001) 48.0±15.0 60.9±13.4c 37.9±9.3a 45.6±13.1b 96.03 (<0.001) 2.04 (0.04)
Protein (g) 12.0±5.5 10.3±5.4 12.8±5.4c 6.0±2.6a 10.4±5.2b 15.53 (<0.001) 12.4±5.4 13.2±3.4b 6.7±3.6a 14.6±5.1b 107.49 (<0.001) −3.65 (<0.001)
Fat (g) 16.6±11.2 15.0±12.4 13.1±13.0b 7.2±5.6a 21.9±11.2c 14.73 (<0.001) 17.1±10.4 15.5±12.7b 7.4±4.4a 22.4±8.2c 92.17 (<0.001) −0.34 (0.73)
Sugar (g) 9.5±8.0 10.4±10.2 10.6±12.6b 3.2±2.5a 14.0±8.5b 10.59 (<0.001) 9.2±7.3 10.0±9.9b 4.1±3.1a 11.2±5.7b 37.36 (<0.001) 1.11 (0.27)
Sodium (mg) 868.7±392.6 748.6±524.4 995.2±724.7b 562.4±256.4a 627.3±289.4a 8.46 (<0.001) 901.7±341.1 1,104.2±334.4c 612.9±239.8a 923.9±291.8b 73.53 (<0.001) −3.73 (<0.001)
Cholesterol (mg) 41.7±45.1 30.4±47.0 24.0±35.7a 8.1±10.1a 51.1±61.5b 8.07 (<0.001) 44.6±44.2 43.9±37.9b 16.2±22.7a 58.2±48.6c 34.02 (<0.001) −2.93 (0.003)
Saturated fat (g) 4.7±4.1 4.5±5.3 2.2±2.5a 1.3±1.2a 8.3±6.1b 32.87 (<0.001) 4.7±3.6 3.1±2.4b 1.6±1.7a 7.1±3.3c 153.51 (<0.001) −0.43 (0.67)
Trans fat (g) 0.3±1.2 0.3±0.8 0.5±1.3 0.1±0.2 0.2±0.4 2.02 (0.14) 0.4±1.3 0.4±1.7ab 0.6±1.7b 0.2±0.3a 3.65 (0.03) −0.53 (0.60)

Values are presented as mean±standard deviation.

KRW, Korean won.

a)Values with different superscripts within a row are different by Duncan new multiple range test;

b)P-value was determined by one-way analysis of variance;

c)P-value was determined by Student t-test;

d)Energy and nutrient content per serving.

Table 2.
Nutrient contents of the vegetarian and nonvegetarian gimbaps
Table 2.
Characteristic Total (n=155) Vegetarian gimbap (n=42) Nonvegetarian gimbap (n=113) t-value (P-value)a) Vegetarian type F-value (P-value)b)
Vegan (n=16) Ovo-lacto vegetarian (n=4) Pescatarian (n=22)
Per serving
 Weight (g) 247.8±62.0 245.6±100.1 248.6±40.2 −0.19 (0.85) 224.1±34.3 266.5±62.6 257.4±132.6 0.60 (0.56)
 Energy (kcal) 412.4±133.3 400.7±214.6 416.8±86.5 −0.47 (0.64) 327.6±59.3 422.0±185.3 450.1±275.3 1.57 (0.22)
 Carbohydrate (g) 61.7±19.9 63.9±31.4 60.9±13.4 0.60 (0.55) 60.7±9.6 61.5±12.7 66.6±42.7 0.17 (0.84)
 Protein (g) 13.1±4.1 12.8±5.4 13.2±3.4 −0.51 (0.61) 10.8±3.0 14.5±5.8 14.0±6.4 1.88 (0.17)
 Fat (g) 14.8±12.8 13.1±13.0 15.5±12.7 −1.05 (0.30) 5.7±3.3 16.4±11.1 17.8±15.5 4.92 (0.01)
 Sugar (g) 10.2±10.6 10.6±12.6 10.0±9.9 0.29 (0.77) 7.3±10.4 10.8±10.8 12.9±14.2 0.92 (0.41)
 Sodium (mg) 1,074.6±472.8 995.2±724.7 1,104.2±334.4 −1.28 (0.20) 730.6±257.2 1,083.8±407.2 1,171.6±931.1 1.82 (0.18)
 Cholesterol (mg) 38.5±38.2 24.0±35.7 43.9±37.9 −2.95 (0.002) 5.0±11.8 24.9±43.5 24.0±35.7 4.53 (0.02)
 Saturated fat (g) 2.9±2.5 2.2±2.5 3.1±2.4 −2.15 (0.03) 1.1±1.2 2.1±2.1 3.0±3.0 2.69 (0.08)
 Trans fat (g) 0.4±1.6 0.5±1.3 0.4±1.7 0.17 (0.86) 0.2±0.3 1.4±2.4 0.6±1.4 1.64 (0.21)
Per 100 g
 Energy (kcal) 166.5±27.3 162.4±34.1 168.0±24.3 −0.98 (0.33) 149.4±32.1 153.6±31.0 173.4±33.6 2.63 (0.08)
 Carbohydrate (g) 24.9±3.8 25.9±4.3 24.5±3.6 2.04 (0.04) 27.4±4.3 23.3±2.9 25.4±4.3 1.96 (0.15)
 Protein (g) 5.4±1.4 5.3±1.3 5.4±1.4 −0.44 (0.66) 4.9±1.4 5.3±1.0 5.5±1.2 0.99 (0.38)
 Fat (g) 6.1±5.5 5.3±5.0 6.3±5.6 −1.03 (0.30) 2.6±1.6 5.9±2.8 7.2±6.1 4.49 (0.02)
 Sugar (g) 4.1±4.6 4.4±5.7 4.0±4.2 0.40 (0.69) 3.9±7.2 3.6±3.0 4.8±4.9 0.16 (0.86)
 Sodium (mg) 432.3±130.3 400.3±140.3 444.2±125.0 −1.88 (0.06) 333.5±120.3 402.7±97.5 448.4±144.6 3.48 (0.04)
 Cholesterol (mg) 15.4±14.9 10.0±14.9 17.4±14.4 −2.80 (0.01) 2.3±5.4 9.7±16.7 15.8±17.2 4.42 (0.02)
 Saturated fat (g) 1.1±0.9 0.8±0.8 1.3±0.9 −2.46 (0.01) 0.5±0.6 0.7±0.6 1.1±0.9 2.59 (0.09)
 Trans fat (g) 0.2±0.7 0.2±0.6 0.2±0.8 0.18 (0.86) 0.1±0.2 0.6±1.1 0.3±0.6 1.56 (0.22)

Values are presented as mean±standard deviation.

a)P-value was determined by Student t-test;

b)P-value was determined using one-way analysis of variance.

Table 3.
Nutrient contents of vegetarian and nonvegetarian rice balls
Table 3.
Characteristic Total (n=120) Vegetarian rice ball (n=25) Nonvegetarian rice ball (n=95) t-value (P-value)a) Vegetarian type F-value (P-value)b)
Vegan (n=6) Ovo-lacto vegetarian (n=4) Pescatarian (n=15)
Per serving
 Weight (g) 133.6±35.4 135.3±46.6 133.1±32.1 0.22 (0.83) 102.5±8.8c)a 113.5±25.7a)b 154.2±50.7b 3.93 (0.03)
 Energy (kcal) 240.3±75.9 249.5±92.7 237.9±71.2 0.68 (0.50) 189.2±33.1 207.0±48.5 284.9±102.1 3.33 (0.05)
 Carbohydrate (g) 38.4±9.6 40.2±10.7 37.9±9.3 1.09 (0.28) 34.5±3.2 32.8±5.9 44.5±11.6 3.74 (0.04)
 Protein (g) 6.6±3.4 6.0±2.6 6.7±3.6 −0.95 (0.35) 4.3±0.5 5.3±1.0 6.9±3.0 2.48 (0.11)
 Fat (g) 7.3±4.7 7.2±5.6 7.4±4.4 −0.12 (0.91) 4.0±2.7 6.2±2.7 8.8±6.5 1.77 (0.19)
 Sugar (g) 3.9±3.0 3.2±2.5 4.1±3.1 −1.30 (0.20) 4.0±2.2 2.3±1.7 3.1±2.8 0.58 (0.57)
 Sodium (mg) 602.3±243.1 562.4±256.4 612.9±239.8 −0.92 (0.36) 421.7±61.8 523.8±182.6 629.0±300.9 1.52 (0.24)
 Cholesterol (mg) 14.5±20.9 8.1±10.1 16.2±22.7 −1.75 (0.08) 1.7±4.1 8.3±6.5 10.6±11.7 1.78 (0.19)
 Saturated fat (g) 1.5±1.6 1.3±1.2 1.6±1.7 −0.96 (0.34) 0.4±0.6 0.8±0.6 1.7±1.3 3.67 (0.04)
 Trans fat (g) 0.5±1.6 0.1±0.2 0.6±1.7 −2.85 (0.01) 0.3±0.4 0.0±0.0 0.0±0.1 2.52 (0.10)
Per 100 g
 Energy (kcal) 179.6±24.6 183.4±13.0 178.6±26.8 0.86 (0.39) 183.5±15.1 182.3±9.9 183.6±13.6 0.01 (0.99)
 Carbohydrate (g) 29.3±5.0 30.6±3.8 28.9±5.2 1.48 (0.14) 33.7±2.4 29.1±2.6 29.7±3.9 3.31 (0.06)
 Protein (g) 4.9±2.2 4.4±0.8 5.0±2.5 −1.24 (0.22) 4.3±0.7 4.7±01.0 4.3±0.9 0.38 (0.69)
 Fat (g) 5.3±2.7 4.9±2.2 5.4±2.8 −0.78 (0.44) 3.8±2.1 5.3±1.2 5.2±2.4 1.05 (0.37)
 Sugar (g) 2.9±1.9 2.5±1.9 3.0±1.8 −1.23 (0.22) 4.0±2.2 2.1±1.8 2.0±1.6 2.72 (0.09)
 Sodium (mg) 446.9±117.6 417.3±113.5 454.7±118.0 −1.42 (0.16) 411.6±55.0 474.2±195.1 404.4±108.3 0.59 (0.57)
 Cholesterol (mg) 10.2±12.6 6.4±9.2 11.2±13.2 −1.70 (0.09) 1.4±3.4 6.7±3.4 8.3±11.1 1.27 (0.30)
 Saturated fat (g) 1.1±0.9 0.8±0.6 1.1±1.0 −1.73 (0.09) 0.3±0.5a) 0.8±0.6a)b 1.1±0.5b 4.80 (0.02)
 Trans fat (g) 0.4±1.3 0.1±0.2 0.5±1.4 −2.88 (0.004) 0.2±0.4 0.0±0.0 0.0±0.1 2.48 (0.11)

Values are presented as mean±standard deviation.

a)P-value was determined by Student t-test;

b)P-value was determined by one-way analysis of variance;

c)Values with different superscripts within a row are different by Duncan's new multiple range test.

Table 4.
Nutrient contents of vegetarian and nonvegetarian sandwiches
Table 4.
Characteristic Total (n=253) Vegetarian sandwich (n=47) Nonvegetarian sandwich (n=206) t-value (P-value)a) Vegetarian type F-value (P-value)b)
Vegan (n=5) Ovo-lacto vegetarian (n=27) Pescatarian (n=15)
Per serving
 Weight (g) 181.4±42.4 175.2±56.5 182.8±38.5 −0.88 (0.38) 213.0±13.4ac)b 157.0±62.9a 195.3±38.7ab 3.92 (0.03)
 Energy (kcal) 442.6±122.3 437.1±155.2 443.9±113.9 −0.34 (0.73) 481.0±108.8 438.7±183.4 419.5±110.9 0.29 (0.75)
 Carbohydrate (g) 46.2±13.8 49.6±16.5 45.6±13.1 1.70 (0.09) 69.0±8.5 49.9±17.2 45.6±13.9 1.79 (0.18)
 Protein (g) 13.8±5.4 10.4±5.2 14.6±5.1 −5.08 (<0.001) 12.2±4.9 9.6±5.4 11.3±5.0 0.85 (0.43)
 Fat (g) 22.3±8.7 21.9±11.2 22.4±8.2 −0.31 (0.75) 28.0±11.3 21.8±12.8 21.1±6.7 0.31 (0.73)
 Sugars (g) 11.7±6.4 14.0±8.5 11.2±5.7 2.17 (0.03) 11.2±7.0 15.2±9.4 12.7±7.2 0.68 (0.51)
 Sodium (mg) 868.8±312.9 627.3±289.4 923.9±291.8 −6.30 (<0.001) 806.0±189.6b 506.5±298.2a 785.3±182.7a 6.99 (0.002)
 Cholesterol (mg) 57.0±50.8 51.1±61.5 58.2±48.6 −0.69 (0.50) 5.0±0.0 47.2±61.0 69.1±65.3 1.09 (0.35)
 Saturated fat (g) 7.3±4.0 8.3±6.1 7.1±3.3 1.38 (0.17) 4.8±1.6 9.9±7.3 6.6±3.0 2.47 (0.10)
 Trans fat (g) 0.2±0.3 0.2±0.4 0.2±0.3 0.27 (0.79) 0.5±0.1 0.2±0.4 0.2±0.2 0.60 (0.56)
Per 100 g
 Energy (kcal) 245.7±48.5 254.6±65.1 243.6±43.8 1.10 (0.28) 226.8±55.4a 280.5±60.9b 217.2±55.5a 6.23 (0.004)
 Carbohydrate (g) 25.2±7.4 25.9±13.1 25.0±5.3 0.45 (0.66) 13.2±8.2a 32.5±7.8b 18.1±12.1a 12.95 (<0.001)
 Protein (g) 7.6±2.3 5.9±2.4 8.0±2.2 −5.82 (<0.001) 5.7±2.1 6.1±2.7 5.7±1.9 0.12 (0.88)
 Fat (g) 12.1±4.7 11.2±6.5 12.4±4.2 −1.18 (0.24) 5.4±7.9a 13.6±4.7b 8.7±6.9ab 6.20 (0.004)
 Sugar (g) 6.5±3.7 8.5±5.7 6.1±3.0 2.76 (0.01) 5.4±3.6 10.1±6.4 6.5±3.6 3.06 (0.06)
 Sodium (mg) 475.8±128.4 349.3±119.3 504.7±112.1 −8.47 (<0.001) 378.7±88.8 309.2±121.6 411.7±97.2 4.26 (0.02)
 Cholesterol (mg) 30.9±28.3 24.5±33.7 32.3±26.8 −1.72 (0.09) 1.0±1.3 27.4±36.2 27.1±32.9 1.39 (0.26)
 Saturated fat (g) 4.1±2.1 4.9±3.2 3.9±1.6 2.13 (0.04) 2.3±0.8a 6.2±3.6b 3.4±1.5a 6.98 (0.002)
 Trans fat (g) 0.1±0.2 0.1±0.1 0.1±0.2 −0.66 (0.51) 0.1±0.1 0.1±0.2 0.1±0.1 0.16 (0.86)

Values are presented as mean±standard deviation.

a)P-value was determined by Student t-test;

b)P-value was determined by one-way analysis of variance;

c)Values with different superscripts within a row are different by Duncan's new multiple range test.

Table 5.
Percentage of one-third of the daily value per serving for energy and nutrients in vegetarian and nonvegetarian ready-to-eat foods
Table 5.
Characteristic Gimbap Rice ball Sandwich
Vegetarian (n=42) Nonvegetarian (n=113) t-value (P-value)a) Vegetarian (n=25) Nonvegetarian (n=95) t-value (P-value)a) Vegetarian (n=47) Nonvegetarian (n=206) t-value (P-value)a)
Energy 60.1±32.2 62.5±13.0 −0.47 (0.64) 37.4±13.9 35.7±10.7 0.58 (0.57) 64.9±23.4 62.8±17.6 0.63 (0.53)
Carbohydrate 59.2±29.1 56.4±12.4 0.60 (0.55) 37.3±9.9 35.1±8.6 1.09 (0.28) 38.0±21.8 40.7±13.2 −0.78 (0.44)
Protein 70.0±29.6 72.1±18.6 −0.51 (0.61) 32.7±14.3 36.7±19.6 −0.95 (0.35) 55.7±28.6 75.6±30.7 −3.79 (<0.001)
Fat 72.5±72.4 85.9±70.4 −1.05 (0.30) 40.2±31.0 40.8±24.6 −0.12 (0.91) 101.7±73.2 115.1±43.4 −1.15 (0.25)
Sugars 31.8±37.7 30.1±29.6 0.29 (0.77) 9.6±7.5 12.2±9.3 −1.30 (0.20) 42.7±25.9 28.4±16.5 3.45 (<0.001)
Sodium 149.3±108.7 165.6±50.2 −1.28 (0.20) 84.4±38.5 91.9±36.0 −0.92 (0.36) 90.9±42.8 129.3±45.4 −4.92 (<0.001)
Cholesterol 24.0±35.7 43.9±37.9 −2.95 (0.003) 8.1±10.1 16.2±22.7 −1.75 (0.08) 45.6±61.0 67.3±57.4 −2.14 (0.03)
Saturated fat 43.2±50.4 62.2±48.1 −2.15 (0.03) 25.1±24.5 32.0±33.2 −0.96 (0.34) 172.0±123.0 132.1±70.6 2.04 (0.05)

Values are presented as mean±standard deviation.

a)P-value was determined using Student t-test.

  • 1. Salehi G, Diaz E, Redondo R. Forty-five years of research on vegetarianism and veganism: a systematic and comprehensive literature review of quantitative studies. Heliyon 2023;9:e16091.
  • 2. Hargreaves SM, Raposo A, Saraiva A, Zandonadi RP. Vegetarian diet: an overview through the perspective of quality of life domains. Int J Environ Res Public Health 2021;18:4067.
  • 3. Park J. A study on the introduction of vegetarian•vegan•veganism legal system. Environ Law Rev 2021;43:127-54.
  • 4. Miguel I, Coelho A, Bairrada C. Let’s be vegan? Antecedents and consequences of involvement with vegan products: vegan vs. non-vegan. Sustainability 2024;16:105.
  • 5. Carey CN, Paquette M, Sahye-Pudaruth S, et al. The environmental sustainability of plant-based dietary patterns: a scoping review. J Nutr 2023;153:857-69.
  • 6. Craig WJ. Health effects of vegan diets. Am J Clin Nutr 2009;89:1627S-33S.
  • 7. Wang T, Masedunskas A, Willett WC, Fontana L. Vegetarian and vegan diets: benefits and drawbacks. Eur Heart J 2023;44:3423-39.
  • 8. Costa AIA, Dekker M, Beumer RR, Rombouts FM, Jongen WMF. A consumer-oriented classification system for home meal replacements. Food Qual Prefer 2001;12:229-42.
  • 9. Hong WS. A study on the development strategy of home meal replacement in relation to the consumption trends. Food Sci Ind 2017;50:2-32.
  • 10. Kim MH, Yeon JY. Change of dietary habits and the use of home meal replacement and delivered foods due to COVID-19 among college students in Chungcheong province, Korea. J Nutr Health 2021;54:383-97.
  • 11. Kang JH, Lee GM. The influence of food choice motives of vegetarians on attitude, satisfaction and customer citizenship behavior toward vegan food. J Foodserv Manag 2023;26:27-49.
  • 12. Kim Y, Yu S, Kim S, Koo HG. An exploratory study on the diet of vegetarian consumers by type of vegetarian motivation and level. Consum Policy Educ Rev 2024;20:141-68.
  • 13. Shridhar K, Dhillon PK, Bowen L, et al. Nutritional profile of Indian vegetarian diets: the Indian Migration Study (IMS). Nutr J 2014;13:55.
  • 14. Clarys P, Deliens T, Huybrechts I, et al. Comparison of nutritional quality of the vegan, vegetarian, semi-vegetarian, pesco-vegetarian and omnivorous diet. Nutrients 2014;6:1318-32.
  • 15. Melina V, Craig W, Levin S. Position of the Academy of Nutrition and Dietetics: vegetarian diets. J Acad Nutr Diet 2016;116:1970-80.
  • 16. Thompson AS, Tresserra-Rimbau A, Karavasiloglou N, et al. Association of healthful plant-based diet adherence with risk of mortality and major chronic diseases among adults in the UK. JAMA Netw Open 2023;6:e234714.
  • 17. Cha BK. A study of nutreint intake states and the prevalence of obesity in Buddhist nuns. Korean J Community Nutr 2001;6:227-33.
  • 18. Kim MH, Sung CJ. A comparative study of dietary mineral intake status and serum mineral concentrations of postmenopausal vegetarian women with those of the omnivores. J Nutr Health 2005;38:151-60.
  • 19. Choi KS, Shin KO, Jung TH, Chung KH. A study on the differences in the dietary habits, nutrient intake and health status of vegetarian (lacto-ovo vegetarian) and non-vegetarian Korean elementary school children. J Korean Soc Food Sci Nut 2011;40:416-25.
  • 20. Lemale J, Mas E, Jung C, Bellaiche M, Tounian P. Vegan diet in children and adolescents: recommendations from the French-speaking Pediatric Hepatology, Gastroenterology and Nutrition Group (GFHGNP). Arch Pediatr 2019;26:442-50.
  • 21. Kiely ME. Risks and benefits of vegan and vegetarian diets in children. Proc Nutr Soc 2021;80:159-64.
  • 22. Remesy C, Fardet A. The need for eco-vegetarian diets. World Nutr 2015;6:704-10.
  • 23. De Backer CJ, Hudders L. From meatless Mondays to meatless Sundays: motivations for meat reduction among vegetarians and semi-vegetarians who mildly or significantly reduce their meat intake. Ecol Food Nutr 2014;53:639-57.
  • 24. Poinsot R, Vieux F, Dubois C, Perignon M, Mejean C, Darmon N; The EnScol Network. Nutritional quality of vegetarian and non-vegetarian dishes at school: are nutrient profiling systems sufficiently informative? Nutrients 2020;12:2256.
  • 25. Dahmani J, Nicklaus S, Grenier JM, Marty L. Nutritional quality and greenhouse gas emissions of vegetarian and non-vegetarian primary school meals: a case study in Dijon, France. Front Nutr 2022;9:997144.
  • 26. Choi M, Lee YA, Choi MK. Differences between the food and nutrient composition of the vegetarian and non-vegetarian menus of elementary school foodservices in Chungnam. J Korean Diet Assoc 2024;30:181-91.

Download Citation

Download a citation file in RIS format that can be imported by all major citation management software, including EndNote, ProCite, RefWorks, and Reference Manager.

Format:

Include:

Comparative nutritional assessment of vegetarian and nonvegetarian ready-to-eat foods
Clin Nutr Res. 2026;15(1):36-44.   Published online January 31, 2026
Download Citation

Download a citation file in RIS format that can be imported by all major citation management software, including EndNote, ProCite, RefWorks, and Reference Manager.

Format:
Include:
Comparative nutritional assessment of vegetarian and nonvegetarian ready-to-eat foods
Clin Nutr Res. 2026;15(1):36-44.   Published online January 31, 2026
Close
Comparative nutritional assessment of vegetarian and nonvegetarian ready-to-eat foods
Comparative nutritional assessment of vegetarian and nonvegetarian ready-to-eat foods
Characteristic Total (n=528) Vegetarian foods (n=114) Nonvegetarian foods (n=414) t-value (P-value)c)
Total Gimbap (n=42) Rice ball (n=25) Sandwich (n=47) F-value (P-value)b) Total Gimbap (n=113) Rice ball (n=95) Sandwich (n=206) F-value (P-value)
Serving size (g) 190.0±63.3 192.4±85.4 245.6±100.1a)c 135.3±46.6a 175.2±56.5b 19.50 (<0.001) 189.4±55.8 248.6±40.2b 133.1±32.1a 182.8±38.5b 249.29 (<0.001) 0.35 (0.73)
Price (KRW) 3,643.3±1973.2 3,765.1±1,762.7 4,216.9±1,351.5b 1,663.0±383.0a 4,479.6±1,679.0b 38.15 (<0.001) 3,609.7±2028.0 3,739.7±837.2b 1,664.6±459.7a 4,435.4±2,314.8c 86.16 (<0.001) 0.74 (0.46)
Energy (kcal) 387.8±142.2d) 382.6±183.4 400.7±214.6b 249.5±92.7a 437.1±155.2b 10.33 (<0.001) 389.2±128.8 416.8±86.5b 237.9±71.2a 443.9±113.9c 148.82 (<0.001) −0.44 (0.66)
Carbohydrate (g) 49.0±17.5 53.0±24.5 63.9±31.4b 40.2±10.7a 49.6±16.5a 9.16 (<0.001) 48.0±15.0 60.9±13.4c 37.9±9.3a 45.6±13.1b 96.03 (<0.001) 2.04 (0.04)
Protein (g) 12.0±5.5 10.3±5.4 12.8±5.4c 6.0±2.6a 10.4±5.2b 15.53 (<0.001) 12.4±5.4 13.2±3.4b 6.7±3.6a 14.6±5.1b 107.49 (<0.001) −3.65 (<0.001)
Fat (g) 16.6±11.2 15.0±12.4 13.1±13.0b 7.2±5.6a 21.9±11.2c 14.73 (<0.001) 17.1±10.4 15.5±12.7b 7.4±4.4a 22.4±8.2c 92.17 (<0.001) −0.34 (0.73)
Sugar (g) 9.5±8.0 10.4±10.2 10.6±12.6b 3.2±2.5a 14.0±8.5b 10.59 (<0.001) 9.2±7.3 10.0±9.9b 4.1±3.1a 11.2±5.7b 37.36 (<0.001) 1.11 (0.27)
Sodium (mg) 868.7±392.6 748.6±524.4 995.2±724.7b 562.4±256.4a 627.3±289.4a 8.46 (<0.001) 901.7±341.1 1,104.2±334.4c 612.9±239.8a 923.9±291.8b 73.53 (<0.001) −3.73 (<0.001)
Cholesterol (mg) 41.7±45.1 30.4±47.0 24.0±35.7a 8.1±10.1a 51.1±61.5b 8.07 (<0.001) 44.6±44.2 43.9±37.9b 16.2±22.7a 58.2±48.6c 34.02 (<0.001) −2.93 (0.003)
Saturated fat (g) 4.7±4.1 4.5±5.3 2.2±2.5a 1.3±1.2a 8.3±6.1b 32.87 (<0.001) 4.7±3.6 3.1±2.4b 1.6±1.7a 7.1±3.3c 153.51 (<0.001) −0.43 (0.67)
Trans fat (g) 0.3±1.2 0.3±0.8 0.5±1.3 0.1±0.2 0.2±0.4 2.02 (0.14) 0.4±1.3 0.4±1.7ab 0.6±1.7b 0.2±0.3a 3.65 (0.03) −0.53 (0.60)
Characteristic Total (n=155) Vegetarian gimbap (n=42) Nonvegetarian gimbap (n=113) t-value (P-value)a) Vegetarian type F-value (P-value)b)
Vegan (n=16) Ovo-lacto vegetarian (n=4) Pescatarian (n=22)
Per serving
 Weight (g) 247.8±62.0 245.6±100.1 248.6±40.2 −0.19 (0.85) 224.1±34.3 266.5±62.6 257.4±132.6 0.60 (0.56)
 Energy (kcal) 412.4±133.3 400.7±214.6 416.8±86.5 −0.47 (0.64) 327.6±59.3 422.0±185.3 450.1±275.3 1.57 (0.22)
 Carbohydrate (g) 61.7±19.9 63.9±31.4 60.9±13.4 0.60 (0.55) 60.7±9.6 61.5±12.7 66.6±42.7 0.17 (0.84)
 Protein (g) 13.1±4.1 12.8±5.4 13.2±3.4 −0.51 (0.61) 10.8±3.0 14.5±5.8 14.0±6.4 1.88 (0.17)
 Fat (g) 14.8±12.8 13.1±13.0 15.5±12.7 −1.05 (0.30) 5.7±3.3 16.4±11.1 17.8±15.5 4.92 (0.01)
 Sugar (g) 10.2±10.6 10.6±12.6 10.0±9.9 0.29 (0.77) 7.3±10.4 10.8±10.8 12.9±14.2 0.92 (0.41)
 Sodium (mg) 1,074.6±472.8 995.2±724.7 1,104.2±334.4 −1.28 (0.20) 730.6±257.2 1,083.8±407.2 1,171.6±931.1 1.82 (0.18)
 Cholesterol (mg) 38.5±38.2 24.0±35.7 43.9±37.9 −2.95 (0.002) 5.0±11.8 24.9±43.5 24.0±35.7 4.53 (0.02)
 Saturated fat (g) 2.9±2.5 2.2±2.5 3.1±2.4 −2.15 (0.03) 1.1±1.2 2.1±2.1 3.0±3.0 2.69 (0.08)
 Trans fat (g) 0.4±1.6 0.5±1.3 0.4±1.7 0.17 (0.86) 0.2±0.3 1.4±2.4 0.6±1.4 1.64 (0.21)
Per 100 g
 Energy (kcal) 166.5±27.3 162.4±34.1 168.0±24.3 −0.98 (0.33) 149.4±32.1 153.6±31.0 173.4±33.6 2.63 (0.08)
 Carbohydrate (g) 24.9±3.8 25.9±4.3 24.5±3.6 2.04 (0.04) 27.4±4.3 23.3±2.9 25.4±4.3 1.96 (0.15)
 Protein (g) 5.4±1.4 5.3±1.3 5.4±1.4 −0.44 (0.66) 4.9±1.4 5.3±1.0 5.5±1.2 0.99 (0.38)
 Fat (g) 6.1±5.5 5.3±5.0 6.3±5.6 −1.03 (0.30) 2.6±1.6 5.9±2.8 7.2±6.1 4.49 (0.02)
 Sugar (g) 4.1±4.6 4.4±5.7 4.0±4.2 0.40 (0.69) 3.9±7.2 3.6±3.0 4.8±4.9 0.16 (0.86)
 Sodium (mg) 432.3±130.3 400.3±140.3 444.2±125.0 −1.88 (0.06) 333.5±120.3 402.7±97.5 448.4±144.6 3.48 (0.04)
 Cholesterol (mg) 15.4±14.9 10.0±14.9 17.4±14.4 −2.80 (0.01) 2.3±5.4 9.7±16.7 15.8±17.2 4.42 (0.02)
 Saturated fat (g) 1.1±0.9 0.8±0.8 1.3±0.9 −2.46 (0.01) 0.5±0.6 0.7±0.6 1.1±0.9 2.59 (0.09)
 Trans fat (g) 0.2±0.7 0.2±0.6 0.2±0.8 0.18 (0.86) 0.1±0.2 0.6±1.1 0.3±0.6 1.56 (0.22)
Characteristic Total (n=120) Vegetarian rice ball (n=25) Nonvegetarian rice ball (n=95) t-value (P-value)a) Vegetarian type F-value (P-value)b)
Vegan (n=6) Ovo-lacto vegetarian (n=4) Pescatarian (n=15)
Per serving
 Weight (g) 133.6±35.4 135.3±46.6 133.1±32.1 0.22 (0.83) 102.5±8.8c)a 113.5±25.7a)b 154.2±50.7b 3.93 (0.03)
 Energy (kcal) 240.3±75.9 249.5±92.7 237.9±71.2 0.68 (0.50) 189.2±33.1 207.0±48.5 284.9±102.1 3.33 (0.05)
 Carbohydrate (g) 38.4±9.6 40.2±10.7 37.9±9.3 1.09 (0.28) 34.5±3.2 32.8±5.9 44.5±11.6 3.74 (0.04)
 Protein (g) 6.6±3.4 6.0±2.6 6.7±3.6 −0.95 (0.35) 4.3±0.5 5.3±1.0 6.9±3.0 2.48 (0.11)
 Fat (g) 7.3±4.7 7.2±5.6 7.4±4.4 −0.12 (0.91) 4.0±2.7 6.2±2.7 8.8±6.5 1.77 (0.19)
 Sugar (g) 3.9±3.0 3.2±2.5 4.1±3.1 −1.30 (0.20) 4.0±2.2 2.3±1.7 3.1±2.8 0.58 (0.57)
 Sodium (mg) 602.3±243.1 562.4±256.4 612.9±239.8 −0.92 (0.36) 421.7±61.8 523.8±182.6 629.0±300.9 1.52 (0.24)
 Cholesterol (mg) 14.5±20.9 8.1±10.1 16.2±22.7 −1.75 (0.08) 1.7±4.1 8.3±6.5 10.6±11.7 1.78 (0.19)
 Saturated fat (g) 1.5±1.6 1.3±1.2 1.6±1.7 −0.96 (0.34) 0.4±0.6 0.8±0.6 1.7±1.3 3.67 (0.04)
 Trans fat (g) 0.5±1.6 0.1±0.2 0.6±1.7 −2.85 (0.01) 0.3±0.4 0.0±0.0 0.0±0.1 2.52 (0.10)
Per 100 g
 Energy (kcal) 179.6±24.6 183.4±13.0 178.6±26.8 0.86 (0.39) 183.5±15.1 182.3±9.9 183.6±13.6 0.01 (0.99)
 Carbohydrate (g) 29.3±5.0 30.6±3.8 28.9±5.2 1.48 (0.14) 33.7±2.4 29.1±2.6 29.7±3.9 3.31 (0.06)
 Protein (g) 4.9±2.2 4.4±0.8 5.0±2.5 −1.24 (0.22) 4.3±0.7 4.7±01.0 4.3±0.9 0.38 (0.69)
 Fat (g) 5.3±2.7 4.9±2.2 5.4±2.8 −0.78 (0.44) 3.8±2.1 5.3±1.2 5.2±2.4 1.05 (0.37)
 Sugar (g) 2.9±1.9 2.5±1.9 3.0±1.8 −1.23 (0.22) 4.0±2.2 2.1±1.8 2.0±1.6 2.72 (0.09)
 Sodium (mg) 446.9±117.6 417.3±113.5 454.7±118.0 −1.42 (0.16) 411.6±55.0 474.2±195.1 404.4±108.3 0.59 (0.57)
 Cholesterol (mg) 10.2±12.6 6.4±9.2 11.2±13.2 −1.70 (0.09) 1.4±3.4 6.7±3.4 8.3±11.1 1.27 (0.30)
 Saturated fat (g) 1.1±0.9 0.8±0.6 1.1±1.0 −1.73 (0.09) 0.3±0.5a) 0.8±0.6a)b 1.1±0.5b 4.80 (0.02)
 Trans fat (g) 0.4±1.3 0.1±0.2 0.5±1.4 −2.88 (0.004) 0.2±0.4 0.0±0.0 0.0±0.1 2.48 (0.11)
Characteristic Total (n=253) Vegetarian sandwich (n=47) Nonvegetarian sandwich (n=206) t-value (P-value)a) Vegetarian type F-value (P-value)b)
Vegan (n=5) Ovo-lacto vegetarian (n=27) Pescatarian (n=15)
Per serving
 Weight (g) 181.4±42.4 175.2±56.5 182.8±38.5 −0.88 (0.38) 213.0±13.4ac)b 157.0±62.9a 195.3±38.7ab 3.92 (0.03)
 Energy (kcal) 442.6±122.3 437.1±155.2 443.9±113.9 −0.34 (0.73) 481.0±108.8 438.7±183.4 419.5±110.9 0.29 (0.75)
 Carbohydrate (g) 46.2±13.8 49.6±16.5 45.6±13.1 1.70 (0.09) 69.0±8.5 49.9±17.2 45.6±13.9 1.79 (0.18)
 Protein (g) 13.8±5.4 10.4±5.2 14.6±5.1 −5.08 (<0.001) 12.2±4.9 9.6±5.4 11.3±5.0 0.85 (0.43)
 Fat (g) 22.3±8.7 21.9±11.2 22.4±8.2 −0.31 (0.75) 28.0±11.3 21.8±12.8 21.1±6.7 0.31 (0.73)
 Sugars (g) 11.7±6.4 14.0±8.5 11.2±5.7 2.17 (0.03) 11.2±7.0 15.2±9.4 12.7±7.2 0.68 (0.51)
 Sodium (mg) 868.8±312.9 627.3±289.4 923.9±291.8 −6.30 (<0.001) 806.0±189.6b 506.5±298.2a 785.3±182.7a 6.99 (0.002)
 Cholesterol (mg) 57.0±50.8 51.1±61.5 58.2±48.6 −0.69 (0.50) 5.0±0.0 47.2±61.0 69.1±65.3 1.09 (0.35)
 Saturated fat (g) 7.3±4.0 8.3±6.1 7.1±3.3 1.38 (0.17) 4.8±1.6 9.9±7.3 6.6±3.0 2.47 (0.10)
 Trans fat (g) 0.2±0.3 0.2±0.4 0.2±0.3 0.27 (0.79) 0.5±0.1 0.2±0.4 0.2±0.2 0.60 (0.56)
Per 100 g
 Energy (kcal) 245.7±48.5 254.6±65.1 243.6±43.8 1.10 (0.28) 226.8±55.4a 280.5±60.9b 217.2±55.5a 6.23 (0.004)
 Carbohydrate (g) 25.2±7.4 25.9±13.1 25.0±5.3 0.45 (0.66) 13.2±8.2a 32.5±7.8b 18.1±12.1a 12.95 (<0.001)
 Protein (g) 7.6±2.3 5.9±2.4 8.0±2.2 −5.82 (<0.001) 5.7±2.1 6.1±2.7 5.7±1.9 0.12 (0.88)
 Fat (g) 12.1±4.7 11.2±6.5 12.4±4.2 −1.18 (0.24) 5.4±7.9a 13.6±4.7b 8.7±6.9ab 6.20 (0.004)
 Sugar (g) 6.5±3.7 8.5±5.7 6.1±3.0 2.76 (0.01) 5.4±3.6 10.1±6.4 6.5±3.6 3.06 (0.06)
 Sodium (mg) 475.8±128.4 349.3±119.3 504.7±112.1 −8.47 (<0.001) 378.7±88.8 309.2±121.6 411.7±97.2 4.26 (0.02)
 Cholesterol (mg) 30.9±28.3 24.5±33.7 32.3±26.8 −1.72 (0.09) 1.0±1.3 27.4±36.2 27.1±32.9 1.39 (0.26)
 Saturated fat (g) 4.1±2.1 4.9±3.2 3.9±1.6 2.13 (0.04) 2.3±0.8a 6.2±3.6b 3.4±1.5a 6.98 (0.002)
 Trans fat (g) 0.1±0.2 0.1±0.1 0.1±0.2 −0.66 (0.51) 0.1±0.1 0.1±0.2 0.1±0.1 0.16 (0.86)
Characteristic Gimbap Rice ball Sandwich
Vegetarian (n=42) Nonvegetarian (n=113) t-value (P-value)a) Vegetarian (n=25) Nonvegetarian (n=95) t-value (P-value)a) Vegetarian (n=47) Nonvegetarian (n=206) t-value (P-value)a)
Energy 60.1±32.2 62.5±13.0 −0.47 (0.64) 37.4±13.9 35.7±10.7 0.58 (0.57) 64.9±23.4 62.8±17.6 0.63 (0.53)
Carbohydrate 59.2±29.1 56.4±12.4 0.60 (0.55) 37.3±9.9 35.1±8.6 1.09 (0.28) 38.0±21.8 40.7±13.2 −0.78 (0.44)
Protein 70.0±29.6 72.1±18.6 −0.51 (0.61) 32.7±14.3 36.7±19.6 −0.95 (0.35) 55.7±28.6 75.6±30.7 −3.79 (<0.001)
Fat 72.5±72.4 85.9±70.4 −1.05 (0.30) 40.2±31.0 40.8±24.6 −0.12 (0.91) 101.7±73.2 115.1±43.4 −1.15 (0.25)
Sugars 31.8±37.7 30.1±29.6 0.29 (0.77) 9.6±7.5 12.2±9.3 −1.30 (0.20) 42.7±25.9 28.4±16.5 3.45 (<0.001)
Sodium 149.3±108.7 165.6±50.2 −1.28 (0.20) 84.4±38.5 91.9±36.0 −0.92 (0.36) 90.9±42.8 129.3±45.4 −4.92 (<0.001)
Cholesterol 24.0±35.7 43.9±37.9 −2.95 (0.003) 8.1±10.1 16.2±22.7 −1.75 (0.08) 45.6±61.0 67.3±57.4 −2.14 (0.03)
Saturated fat 43.2±50.4 62.2±48.1 −2.15 (0.03) 25.1±24.5 32.0±33.2 −0.96 (0.34) 172.0±123.0 132.1±70.6 2.04 (0.05)
Table 1. General characteristics of vegetarian and nonvegetarian ready-to-eat foods

Values are presented as mean±standard deviation.

KRW, Korean won.

Values with different superscripts within a row are different by Duncan new multiple range test;

P-value was determined by one-way analysis of variance;

P-value was determined by Student t-test;

Energy and nutrient content per serving.

Table 2. Nutrient contents of the vegetarian and nonvegetarian gimbaps

Values are presented as mean±standard deviation.

P-value was determined by Student t-test;

P-value was determined using one-way analysis of variance.

Table 3. Nutrient contents of vegetarian and nonvegetarian rice balls

Values are presented as mean±standard deviation.

P-value was determined by Student t-test;

P-value was determined by one-way analysis of variance;

Values with different superscripts within a row are different by Duncan's new multiple range test.

Table 4. Nutrient contents of vegetarian and nonvegetarian sandwiches

Values are presented as mean±standard deviation.

P-value was determined by Student t-test;

P-value was determined by one-way analysis of variance;

Values with different superscripts within a row are different by Duncan's new multiple range test.

Table 5. Percentage of one-third of the daily value per serving for energy and nutrients in vegetarian and nonvegetarian ready-to-eat foods

Values are presented as mean±standard deviation.

P-value was determined using Student t-test.