Skip to main navigation Skip to main content
  • KSCN
  • E-Submission

CNR : Clinical Nutrition Research

OPEN ACCESS
ABOUT
BROWSE ARTICLES
EDITORIAL POLICIES
FOR CONTRIBUTORS

Articles

Original Article

The Association Between Dietary Energy Density and Musculoskeletal Pain in Adult Men and Women

Clinical Nutrition Research 2022;11(2):110-119.
Published online: April 26, 2022

1Department of Nutrition, Science and Research Branch, Islamic Azad University (SRBIAU), Tehran 1477893855, Iran.

2Department of Nutritional Sciences and Dietetics, Tehran University of Medical Sciences (TUMS), Tehran 14155-6117, Iran.

3Centre for Intelligent Healthcare, Coventry University, Coventry CV1 5FB, UK.

Correspondence to Niki Bahrampour. Department of Nutrition, Science and Research Branch, Islamic Azad University (SRBIAU), Shodada Hesarak blvd, Daneshgah Square, Sattari Highway, Tehran 1477893855, Iran. b.nik742@gmail.com, niki.bahrampour@srbiau.ac.ir
• Received: January 23, 2022   • Revised: April 4, 2022   • Accepted: April 5, 2022

Copyright © 2022. The Korean Society of Clinical Nutrition

This is an Open Access article distributed under the terms of the Creative Commons Attribution Non-Commercial License (https://creativecommons.org/licenses/by-nc/4.0/) which permits unrestricted non-commercial use, distribution, and reproduction in any medium, provided the original work is properly cited.

  • 643 Views
  • 1 Download
  • 1 Crossref
prev next
  • Musculoskeletal pains (MPs), defined as persistent or recurrent pain, is a complex health problem. High overall calorie and fat intake have been related to obesity and MPs. Dietary energy density (DED), defined as energy content of food and beverages (in kcal) per unit total weight, has been associated with chronic muscle, cartilage, bone damage and pain. Thus, the purpose of this study is to investigate the association between DED and MPs in adult men and women. A total of 175 men and women (> 18 years) with MP participated in the study. A validated short form physical activity (PA) questionnaire, demographic, and McGill Pain Questionnaire were used. Anthropometric measurements were evaluated via standard protocols. Furthermore, a seven-day 24-hour recall of diet was used to determine the dietary intake. Total DED was calculated and divided into quartiles. Linear regression was used to discern the association between DED and MPs in adults. Participants assigned in the highest category of DED were characterized by lower intake of potassium, magnesium, vitamin C, folate, and fiber. However, results showed displayed higher intake of sodium, vitamin E, vitamin B3, fat, protein, cholesterol, saturated fatty acids, monounsaturated fatty acids, and polyunsaturated fatty acids (p < 0.001). Finally, after adjustment for confounders such as age, gender, PA, body mass index, waist circumference, education, job, marital status, history of some chronic diseases and vitamin C supplementation, a significant positive association was detected between DED and pain intensity. There was no significant association between DED and pain frequency in all models.
Musculoskeletal pains (MPs), defined as persistent or recurrent pain, is a complex health problem and it is essential to manage the severity and frequency of pain in patients who suffer from MPs effectively [1]. As understanding of chronic (musculoskeletal) pain has evolved over the last few decades, many new approaches have emerged [2]. A significant number of the population are affected by MPs [3, 4], where the average prevalence of MPs was shown to be 30% (ranging from 13.5%–47%) across 15 different countries [5]. Studies have shown that there is a bidirectional relationship between chronic musculoskeletal pain and depression, anxiety, pain catastrophizing, and kinesiophobia [2]. Moreover, MPs is the leading cause of disability and can affect different musculoskeletal structures, such as, bone and muscle, especially shoulders, neck, back and knees [6]. Further, inability to maintain homeostasis and organ response to stressors are as a result of severe and chronic pain [7].
Chronic pain management is increasingly focused on lifestyle factors such as sleep quality, smoking, alcohol intake, psychological and cognitive factors, level of physical activity (PA) and type of diet [2]. Indeed, the World Health Organization (WHO) regards diet as one of the most important lifestyle factors related to chronic disease, such as musculoskeletal diseases [8]. For example, overweight and obesity, excessive consumption of sodium, sugar and fat, and also high overall calorie intake, have routinely been related to MPs [5]. Dietary energy density (DED), defined as energy content of food and beverages (in kcal) per unit total weight [9], has been reported to impact the regulation of our total daily energy intake (EI), and reduction of DED can lead to reduction of EI. Diets with low energy density (ED) have higher water and fiber, such as whole grains, vegetables, fruits, low-fat dairies and lean meat; however, diets with high ED have higher fat content and are low in water, such as refined grain, animal fat and process meat [10]. Several previous studies have shown there is positive association between DED and overweight and obesity, whereas low DEE has a negative association, and this excessive calorie consumption may be related to chronic pain and MPs [5, 10, 11]. Previous studies have suggested that moderate consumption of protein foods rich in glutamic acid, tryptophan, and leucine, such as soy, egg, cod, dairy products, lean meat, poultry, and fish, can be support and prevent muscle pain and muscle-wasting [7, 12]. It is well known that vitamin D and dietary magnesium (Mg++) may have some beneficial effect on MPs [13, 14]; indeed, some studies have reported that supplements such as vitamin E have a positive effect on reducing muscle pain symptoms [15]. Plant-derived substances, such as curcumin and ginger, have been shown contribute to decreasing MPs [7], and elicit positive improvements in chronic pain, function, and quality of life [16]. In a review study, it was shown that patients with chronic rheumatoid arthritis pain had inadequate intake of magnesium, calcium, zinc, vitamin B6 and B9 [2]. On the other hand, there was a negative relation with pain severity and carbohydrates, proteins, lipids, vitamin A-E-K-B9, selenium, and zinc in fibromyalgia [2]. However, in another study, there was a positive association between pain threshold and protein intake in fibromyalgia [17]. Further, in patients with osteoarthritis, pain severity was associated with higher intake of sugar and fat [18]. However, some cross-sectional evidence disputes this finding, and noted no significant correlation between pain severity and any nutrient intakes [19]. Thus, given the inconclusive results of previous studies, the objective of this study was to investigate the association between DED and MPs in adult men and women.
Study population
This cross-sectional study was conducted by means of multistage cluster random sampling, from February to October 2020. Participants in this study were volunteers in district 2 and 3 of Tehran, Iran, who had been referred to physiotherapy and orthopedic clinics. A total of 175 men and women, above 18 years of age, participated in the study. A demographic questionnaire was used to assess persistence of pain for more than three months, age, gender, education level, job, history of chronic diseases, supplementation and vitamin usage, pain relief drugs consumption, smoking status and marital status. The exclusion criteria were having a bone fracture in the last three months, pregnancy, breastfeeding, and psychosomatic disorders.
Anthropometric and PA measuring
For height measurements, subjects were in a standing position and unshod, and recorded to the nearest 0.1 cm. The weight of participants was measured, using a Seca scale to the nearest 0.1 kg, while they were unshod and with light clothes. Body mass index (BMI) was computed as weight (kg) divided by height squared (m2). A non-elastic tape, with an accuracy of 0.1 cm, was used to measure waist circumference (WC) at a point midway between the iliac crest and lower rib margin. The anthropometric measurements were performed by a dietitian trained in anthropometry to reduce individual error. In addition, PA was assessed using the validated short form of the International Physical Activity Questionnaire (IPAQ) [20]. PA was divided to low, moderate and high.
Dietary assessment and evaluation of DED
The dietary data were collected via a face-to-face interview using a seven-day 24-hour recall of diet. All foods and beverages consumed during the preceding week were asked to be recalled by participants [21]. We converted the portion-sizes of foods and beverages to grams. Nutritionist IV (version 7.0; N-Squared Computing, Salem, OR, USA) Software modified for Iranian foods [22] was used to analyze all foods and beverages for their energy and nutrient content. Food composition tables from the United States Department of Agriculture (USDA) were used to develop the software database. The analysis considered energy intake in the range of 800–4,000 kcal, anything outside of this range being excluded. To calculate ED, the total daily energy (in kcal) was divided by food weight (in g) consumed in a single day [2, 23].
Pain assessment
In order to assess pain severity, we used the validated McGill Pain Questionnaire, which consists of 20 questions with a score range of 0 (no pain) to 78 (severe pain) [24]. According to the number of days they feel pain in a week, the frequency of pain was evaluated. A qualified clinician performed all measurements.
Statistical analysis
Normal distribution of data was checked by Kolmogorov-Smirnov test. DED were transformed to quartiles based on the trend, quantitative variables were described by means and standard deviations, whereas qualitative variables were described using the frequencies (percentage). To compare qualitative and quantitative factors across DED quartiles, χ2 test and one-way analysis of variance (ANOVA) and ANCOVA were used. For non-normally distributed data, non-parametric test (Kruskal-Wallis test) was used to find the differences between DED quartiles. To discern the relationship between DED and pain, linear logistic regression was used. Three models were created: crude model, model 1, which was adjusted for age, gender, PA, and BMI, and model 2, which was adjusted for model 1+ education, job, and marital status, history of kidney disease and vitamin C supplementation. Final model was adjusted for model 2+ history of osteoporosis, gout, carpal tunnel syndrome, migraine, tennis elbow, rheumatoid arthritis, hereditary disorders of the skeleton and limb-length discrepancy. The results of the study were analyzed using SPSS 26 software (IBM Corp., Armonk, NY, USA), and, for all tests, values of less than 0.05 were considered statistically significant.
Ethics statement
The National Committee for Ethics in Biomedical Research approved this study under code IR.IAU.SRB.REC.1399.084. The data are not publicly available because of containing information that could compromise the privacy of the research. All participants signed written informed consent forms.
Study population and general characteristics
In total, 175 patients were included in the statistical analysis. General characteristics of participants across quartiles of DED are provided in Table 1. With regard to all general characteristics, no differences were observed between participants in the highest category compared to those in bottom one except history of kidney disease and vitamin C supplementation (p < 0.05).
Table 1

General characteristics of participants across DED

Table 1
Variables DED
Q1 (n = 43) Q2 (n = 44) Q3 (n = 44) Q4 (n = 44) p value
Education 0.73
Diploma or less 8 (18.6) 8 (18.2) 3 (6.8) 5 (11.4)
Bachelor’s degree 16 (37.2) 18 (40.9) 19 (43.2) 21 (47.7)
Master’s degree 10 (23.3) 13 (29.5) 12 (27.3) 10 (22.7)
PhD or higher 9 (20.9) 5 (11.4) 10 (22.7) 8 (18.2)
Job 0.82
Housekeeper 5 (11.6) 4 (9.1) 6 (13.6) 1 (2.3)
Labor 0 (0) 1 (2.3) 0 (0) 1 (2.3)
Management employee 7 (16.3) 7 (15.9) 5 (11.4) 4 (9.1)
Non-managerial employee 9 (20.9) 8 (18.2) 10 (22.7) 12 (27.3)
Pensionary 1 (2.3) 4 (9.1) 4 (9.1) 4 (9.3)
University student 12 (27.9) 8 (18.2) 9 (20.5) 14 (31.8)
No work 1 (2.3) 3 (6.8) 2 (4.5) 1 (2.3)
Other 5 (11.6 (5) 9 (20.5) 8 (18.2) 10 (22.7)
Marriage 0.47
Married 21 (48.8) 21 (47.7) 18 (40.9) 12 (27.3)
Single 21 (48.8) 22 (50.0) 25 (56.8) 30 (68.2)
Divorce 1 (2.3) 1 (2.3) 1 (2.3) 2 (4.5)
Gender 0.58
Men 9 (20.9) 13 (29.5) 15 (34.1) 13 (29.5)
Women 34 (79.1) 31 (70.5) 29 (65.9) 31 (70.5)
Smoking 0.92
Yes 8 (18.6) 7 (15.9) 6 (13.6) 5 (11.4)
No 33 (76.7) 35 (79.5) 37 (84.1) 36 (81.8)
Before 2 (4.7) 2 (4.5) 1 (2.3) 3 (6.8)
Age 0.11
Younger adult (18–45) 23 (21.9) 22 (21) 25 (23.8) 35 (33.3)
Middle-aged (46–64) 16 (30.2) 17 (32.1) 14 (26.4) 6 (11.3)
Elderly (> 65) 4 (23.5) 5 (29.4) 5 (29.4) 3 (17.6)
PA 0.07
Low 19 (24.1) 22 (27.8) 21 (26.6) 17 (21.5)
Medium 4 (20.0) 2 (10.0) 3 (15.0) 11 (55.0)
High 20 (26.3) 20 (26.3) 20 (26.3) 16 (21.1)
History of kidney disease 0.02
Yes 0 (0.0) 5 (62.5) 3 (37.5) 0 (0.0)
No 43 (25.7) 39 (23.4) 41 (24.6) 44 (26.3)
Osteoporosis 0.36
Yes 3 (33.3) 4 (44.4) 1 (11.1) 1 (11.1)
No 40 (24.1) 40 (24.1) 43 (25.9) 43 (25.9)
Arthritis 0.64
Yes 5 (38.5) 2 (15.4) 3 (23.1) 3 (23.1)
No 38 (23.5) 42 (25.9) 41 (25.3) 41 (25.3)
Gout 0.37
Yes 1 (100.0) 0 (0.0) 0 (0.0) 0 (0.0)
No 42 (24.1) 44 (25.3) 44 (25.3) 44 (25.3)
Carpal tunnel syndrome 0.56
Yes 1 (50.0) 0 (0.0) 1 (50.0) 0 (0.0)
No 42 (24.3) 44 (25.4) 43 (24.9) 44 (25.4)
Migraine 0.25
Yes 3 (60.0) 1 (20.0) 1 (20.0) 0 (0.0)
No 40 (23.5) 43 (25.3) 43 (25.3) 44 (25.9)
Tennis elbow 0.29
Yes 0 (0.0) 1 (33.3) 2 (66.7) 0 (0.0)
No 43 (25.0) 43 (25.0) 42 (24.4) 44 (25.6)
Rheumatoid arthritis 0.57
Yes 0 (0.0) 1 (50.0) 0 (0.0) 1 (50.0)
No 43 (24.9) 43 (24.9) 44 (25.4) 43 (24.9)
Hereditary disorders of the skeleton 0.10
Yes 0 (0.0) 3 (75.0) 0 (0.0) 1 (25.0)
No 43 (25.1) 41 (24.0) 44 (25.7) 43 (25.1)
limb-length discrepancy 0.43
Yes 1 (50.0) 1 (50.0) 0 (0.0) 0 (0.0)
No 42 (24.3) 43 (24.9) 44 (25.4) 44 (25.4)
Vitamin C supplementation 0.04
Yes 12 (38.7) 6 (19.4) 10 (32.3) 3 (9.7)
No 31 (21.5) 38 (26.4) 34 (23.6) 41 (28.5)
Vitamin D supplementation 0.50
Yes 20 (23.5) 18 (21.2) 25 (29.4) 22 (25.9)
No 23 (25.6) 26 (28.9) 19 (21.1) 22 (24.4)
Multivitamin supplementation 0.07
Yes 15 (29.4) 6 (11.8) 16 (31.4) 14 (27.5)
No 28 (22.6) 38 (30.6) 28 (22.6) 30 (24.2)
Zinc supplementation 0.47
Yes 9 (23.7) 9 (23.7) 7 (18.4) 13 (34.2)
No 34 (24.8) 35 (25.5) 37 (27.0) 31 (22.6)
Calcium supplementation 0.33
Yes 10 (32.3) 8 (25.8) 9 (29.0) 4 (12.9)
No 33 (22.9) 36 (25.0) 35 (24.3) 40 (27.8)
Omega 3 supplementation 0.53
Yes 4 (25.0) 2 (12.5) 6 (37.5) 4 (25.0)
No 39 (24.5) 42 (26.4) 38 (23.9) 40 (25.2)
Taking: Acetaminophen 0.88
Yes 1 (16.7) 2 (33.3) 2 (33.3) 1 (16.7)
No 42 (24.9) 42 (24.9) 42 (24.9) 43 (25.4)
Taking: Ibuprofen 0.07
Yes 2 (12.5) 7 (43.8) 6 (37.5) 1 (6.3)
No 41 (25.8) 37 (23.3) 38 (23.9) 43 (27.0)
Taking: Celecoxib 0.51
Yes 40.0 (2) 0.0 40.0 (2) 20.0 (1)
No 24.1 (41) 25.9 (44) 24.7 (42) 25.3 (43)
Weight (kg/m2) 68.56 ± 16.66 68.73 ± 13.33 72.34 ± 16.46 67.75 ± 14.21 0.50
Height (cm) 165.36 ± 8.89 165.75 ± 8.74 168.04 ± 9.22 167.43 ± 8.41 0.42
BMI (kg/m2) 24.88 ± 4.59 24.98 ± 4.25 25.37 ± 3.94 24.12 ± 4.52 0.58
WC (cm) 87.55 ± 23.31 86.79 ± 19.10 89.04 ± 16.94 83.15 ± 14.63 0.50
WHR 0.52 ± 0.14 0.52 ± 0.11 0.52 ± 0.08 0.49 ± 0.09 0.50
Total pain result* 15.11 ± 19.09 14.13 ± 14.39 20.68 ± 18.73 18.29 ± 16.72 0.08
Pain frequency (number per week)* 2.07 ± 2.50 1.39 ± 1.61 2.07 ± 2.09 1.45 ± 1.84 0.53
Quantitative variables were described by means and standard deviations, whereas qualitative variables were described using the frequencies (percentage). The bold-faced p values < 0.05 was considered significant.
DED, dietary energy density; BMI, body mass index; PA, physical activity; WC, waist circumference; WHR, waist to height ratio.
Calculated by χ2 and analysis of variance for qualitative and quantitative variables, respectively; *Kruskal Wallis test was used.
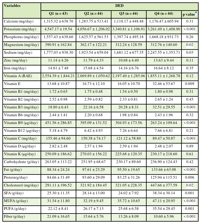
Comparison of daily nutrient intake in participants across DED quartiles
Energy adjusted selected nutrients and food group intakes of participants across quartiles of DED are represented in Table 2. Participants in the highest category of DED were characterized by lower intake of potassium (p < 0.001), magnesium (p = 0.02), vitamin C (p < 0.001), folate (p < 0.001), and fiber (p < 0.001). However, they displayed higher intake of sodium (p = 0.03), vitamin E (p = 0.009), vitamin B3 (p < 0.001), fat (p < 0.001), protein (p = 0.006), cholesterol (p = 0.02), saturated fatty acids (SFA) (p = 0.001), monounsaturated fatty acids (MUFA) (p < 0.001), and polyunsaturated fatty acids (PUFA) (p = 0.001).
Table 2

Energy-adjusted dietary intakes across DED

Table 2
Variables DED
Q1 (n = 43) Q2 (n = 44) Q3 (n = 44) Q4 (n = 44) p value*
Calcium (mg/day) 1,315.32 ± 638.70 1,283.75 ± 513.41 1,118.17 ± 448.48 1,176.47 ± 605.94 0.31
Potassium (mg/day) 4,547.17 ± 19.54 4,056.67 ± 1,206.02 3,340.81 ± 1,106.91 3,261.49 ± 1,408.90 < 0.001
Phosphorus (mg/day) 1,557.43 ± 638.60 1,625.57 ± 561.53 1,397.74 ± 495.18 1,668.18 ± 931.73 0.26
Magnesium (mg/day) 390.91 ± 162.84 362.17 ± 122.21 312.24 ± 128.59 312.76 ± 140.60 0.02
Sodium (mg/day) 1,777.03 ± 938.30 1,923.54 ± 659.04 1,681.12 ± 677.35 2,247.55 ± 1,353.71 0.03
Zinc (mg/day) 11.14 ± 4.26 11.79 ± 4.33 10.68 ± 4.40 13.63 ± 9.44 0.11
Iron (mg/day) 14.81 ± 7.48 15.68 ± 4.54 14.16 ± 6.76 16.64 ± 8.12 0.35
Vitamin A (RAE) 2,554.39 ± 1,844.21 2,069.89 ± 1,050.62 2,197.40 ± 1,285.06 1,855.11 ± 1,268.78 0.12
Vitamin E 13.68 ± 10.87 16.73 ± 12.10 16.05 ± 10.70 32.46 ± 53.67 0.009
Vitamin B1 (mg/day) 1.72 ± 0.65 1.75 ± 0.48 1.54 ± 0.50 1.80 ± 0.98 0.31
Vitamin B2 (mg/day) 2.52 ± 0.98 2.59 ± 0.82 2.33 ± 0.81 2.65 ± 1.24 0.45
Vitamin B3 (mg/day) 18.80 ± 6.43 22.16 ± 6.58 20.28 ± 8.31 32.51 ± 29.55 < 0.001
Vitamin B6 (mg/day) 2.44 ± 1.41 2.20 ± 0.68 1.98 ± 0.84 2.43 ± 1.96 0.32
Vitamin B9 (μg/day) 451.56 ± 286.85 395.09 ± 131.52 304.93 ± 173.56 263.24 ± 109.64 < 0.001
Vitamin B12 (μg/day) 5.18 ± 4.79 6.42 ± 4.93 7.26 ± 6.64 7.66 ± 6.81 0.21
Vitamin C (mg/day) 155.46 ± 94.60 150.38 ± 74.17 121.12 ± 58.80 89.47 ± 50.87 < 0.001
Vitamin D (μg/day) 2.82 ± 2.48 2.57 ± 1.94 2.59 ± 1.94 2.48 ± 2.07 0.89
Vitamin K (μg/day) 250.09 ± 186.62 270.03 ± 156.22 225.68 ± 120.35 230.17 ± 218.60 0.61
Carbohydrate (g/day) 263.05 ± 113.22 251.95 ± 68.67 230.17 ± 89.60 236.90 ± 124.43 0.42
Fat (g/day) 88.34 ± 24.24 97.61 ± 23.29 95.50 ± 19.65 133.66 ± 63.98 < 0.001
Protein(g/day) 84.66 ± 31.49 93.60 ± 29.09 83.25 ± 31.26 125.94 ± 115.51 0.006
Cholesterol (mg/day) 291.11 ± 196.52 321.92 ± 184.45 321.05 ± 228.35 447.66 ± 377.59 0.02
SFA (g/day) 25.30 ± 11.35 28.14 ± 13.00 24.02 ± 7.92 38.34 ± 30.14 0.001
MUFA (g/day) 31.54 ± 11.80 32.19 ± 9.45 35.72 ± 10.65 47.11 ± 20.95 < 0.001
PUFA (g/day) 22.12 ± 8.41 26.17 ± 7.13 25.68 ± 6.58 35.54 ± 29.45 0.001
Fiber (g/day) 21.09 ± 16.65 15.64 ± 5.76 13.26 ± 8.09 10.60 ± 5.96 < 0.001
Variables were described by means and standard deviations. Calculated by analysis of covariance. The bold-faced p values < 0.05 was considered significant.
DED, dietary energy density; RAE, retinol activity equivalents; SFA, saturated fatty acid; MUFA, monounsaturated fatty acid; PUFA, polyunsaturated fatty acid.
*Adjusted for energy intake.
Association of DED and intensity and frequency of pain among patients
As detailed in Table 3, in the crude model, there was no significant relationship between DED and pain intensity (β = 1.61; 95% confidence interval [CI] = −0.70 to 3.92; p = 0.17). However, after adjustment for confounders such as age, gender, PA, BMI, WC, education, job, marital status, history of kidney disease, vitamin C supplementation, osteoporosis, arthritis, gout, carpal tunnel syndrome, migraine, tennis elbow, rheumatoid arthritis, hereditary disorders of the skeleton and limb-length discrepancy a significant positive association was detected in model 1 (β = 2.26; 95% CI = −0.01 to 4.53; p = 0.05), model 2 (β = 2.35; 95% CI = 0.07 to 4.64; p = 0.04) and model 3 (β = 3.03; 95% CI = 0.88 to 5.19; p = 0.006). There was no significant association between DED and pain frequency in all models (p > 0.05).
Table 3

Association of DED with intensity and frequency of pain among patients

Table 3
DED (kcal/g) Pain intensity* Pain frequency*
β 95% CI p value β 95% CI p value
Crude 1.61 (−0.70, 3.92) 0.17 −0.11 (−0.38, 0.15) 0.40
M1 2.26 (−0.01, 4.53) 0.05 0.01 (−0.23, 0.26) 0.90
M2 2.35 (0.07, 4.64) 0.04 0.02 (−0.21, 0.26) 0.82
M3 3.03 (0.88, 5.19) 0.006 0.09 (−0.15, 0.33) 0.45
The bold-faced p value < 0.05 was considered significant. Beta coefficient shows the degree of change in the outcome variable.
M1: Adjusted for age, gender, physical activity, BMI; M2: Adjusted for age, gender, physical activity, BMI, education, job, marital status, history of kidney disease, vitamin C supplementation; M3: M2 + osteoporosis, gout, carpal tunnel syndrome, migraine, tennis elbow, rheumatoid arthritis, hereditary disorders of the skeleton, limb-length discrepancy.
DED, dietary energy density; CI, confidence interval.
*Linear regression was used.
This study presented a novel investigation into the relationship between DED and pain intensity among Iranian adults. Our finding that a positive association between DED and pain intensity was evident may play an important role in a long-term plan of pain management. According to previous studies, higher consumption of energy-dense foods, which are rich in fat and low in water, may be related to inflammation all over the body [25]. On other hand, inflammation is known to be associated with chronic diseases like MPs [2]. Indeed, neuroglia cells commence neuro-inflammation in response to a poor diet which is full of energy dense foods like fats. The MPs may be affected by probable mechanisms such as oxidative stress, peripheral inflammation, and changes in the gut microbiome [26].
High energy dense foods include high fat content, red and processed meats, as well as fast food and desserts [2]. Based on the present study, consumption of protein, fat, cholesterol, SFA and PUFA were higher concurrent with DED quartiles, which is supportive of previous results. Animal proteins can increase inflammation and MPs [2], however, contrary to this, and indeed the present study, some past studies reported beneficial effects of dietary protein in muscle health [27]. Andersen found that dietary cholesterol can modulate T lymphocyte activity and degradation in joint in patients with rheumatoid arthritis [28]. In addition, Sekar et al. [29] showed dietary SFA could contribute to pain in mice with osteoarthritis via underlying mechanisms which are related to pro-inflammatory markers like interleukin-1β and interferon-γ. Fried foods are often prepared with plant oils which are rich in PUFAs (mostly omega 6) in Iran, and this can aggregate pain [30]. Oxidized linoleic acid derived mediators like oxylipins may be relevant to pain signaling and adaptation to chronic pain in the brain [31]. Indeed, high speed prepared foods are often rich in sodium and sugar, and according to the American Heart Association, the amount of dietary sodium should be less than 1,500 mg per day. The present study population consumed more than 1,500 mg/d, and this may be associated with a systemic increase in chronic inflammation and pain severity [32].
On the other hand, subjects in the present study consumed lower levels of potassium, vitamin C, magnesium, and fiber, which are abundant in fruits and vegetables, across DED quartiles. In line with this study, previous studies found that adherence to a plant-based diet can reduce chronic pain via high content of fiber, phytochemicals, and vitamins [16]. Indeed, higher intakes of vitamins B can directly decrease homocysteine plasma level, which may be responsible for many chronic conditions, including MPs [33]. Overall, fruits and vegetables, termed low energy dense foods, are full of water and phytochemicals, and can increase the antioxidant capacity of the body [2]. Interestingly, although the intake of vitamin D was not statistically different, total intake of was very low, particularly given the ability of vitamin D to reduce inflammation [34]. Furthermore, green leafy vegetables are high in magnesium and potassium, where dietary magnesium can help muscle function and may improve MPs [35]. In line with this study, many previous studies found a strength association between dietary approach to stop hypertension (DASH) diet and improving body composition (reducing body fat and increasing muscle strength) and relieving pain [36]. Finally, in the present study, pain frequency was not associated with DED, which may be attributable to low frequency of feeling pain in weeks.
Although we have provided a novel addition to the literature, there are several limitations that should be acknowledged. Indeed, the present work was cross-sectional, which therefore precludes causal inferences being made. In addition, the number of women who participated in this study was greater than male counterparts, which could have influenced the results. Furthermore, MPs are more prevalent in older adults, however, older adults comprised only 17% of the study population. In addition, we did not evaluated muscle mass of subjects which may have effect on the results. Nevertheless, our findings suggest that a balanced diet, with greater adherence to low energy dense foods like vegetables, whole grains and whole fruits, and lower consumption of high energy dense foods, is recommended for improving pain intensity.
In conclusion, we found that greater consumption of energy dense foods may be related to prevalence of musculoskeletal pains in adults. However, to confirm the veracity of these findings, further studies with larger sample sizes are needed.

Conflict of Interest: The authors declare that they have no competing interests.

Author Contributions:

  • Conceptualization: Bahrampour N.

  • Data curation: Bahrampour N.

  • Formal analysis: Bahrampour N.

  • Writing - original draft: Bahrampour N, Rasaei N, Gholami F, Clark CCT.

  • Writing - review & editing: Bahrampour N, Clark CCT.

The authors thank the study participants for their cooperation.
  • 1. Malik KM, Beckerly R, Imani F. Musculoskeletal disorders a universal source of pain and disability misunderstood and mismanaged: a critical analysis based on the US model of care. Anesth Pain Med 2018;8:e85532.
  • 2. Elma Ö, Yilmaz ST, Deliens T, Coppieters I, Clarys P, Nijs J, Malfliet A. Do nutritional factors interact with chronic musculoskeletal pain? A systematic review. J Clin Med 2020;9:702.
  • 3. Mendonça CR, Noll M, Castro MC, Silveira EA. Effects of nutritional interventions in the control of musculoskeletal pain: an integrative review. Nutrients 2020;12:3075.
  • 4. Kirsch Micheletti J, Bláfoss R, Sundstrup E, Bay H, Pastre CM, Andersen LL. Association between lifestyle and musculoskeletal pain: cross-sectional study among 10,000 adults from the general working population. BMC Musculoskelet Disord 2019;20:609.
  • 5. Elma Ö, Yilmaz ST, Deliens T, Clarys P, Nijs J, Coppieters I, Polli A, Malfliet A. Chronic musculoskeletal pain and nutrition: where are we and where are we heading? PM R 2020;12:1268-1278.
  • 6. Babatunde OO, Jordan JL, Van der Windt DA, Hill JC, Foster NE, Protheroe J. Effective treatment options for musculoskeletal pain in primary care: a systematic overview of current evidence. PLoS One 2017;12:e0178621.
  • 7. Perna S, Alalwan TA, Al-Thawadi S, Negro M, Parimbelli M, Cerullo G, Gasparri C, Guerriero F, Infantino V, Diana M, D’Antona G, Rondanelli M. Evidence-based role of nutrients and antioxidants for chronic pain management in musculoskeletal frailty and sarcopenia in aging. Geriatrics (Basel) 2020;5:16.
  • 8. World Health Organization. Diet, nutrition, and the prevention of chronic diseases: report of a joint WHO/FAO expert consultation. Geneva: World Health Organization; 2003.
  • 9. Rasaei N, Sajjadi SF, Mirzababaei A, Pooyan S, Rashidbeygi E, Yekaninejad MS, Imani H, Mirzaei K. The association between resting metabolic rate (RMR), respiratory quotient (RQ) and dietary energy density (DED) in overweight and obese women: resting metabolic rate, respiratory quotient and dietary energy density. Prog Nutr 2019;21:145-151.
  • 10. Correa-Rodríguez M, González-Jiménez E, Fernández-Aparicio Á, Luis Gómez-Urquiza J, Schmidt-RioValle J, Rueda-Medina B. Dietary energy density is associated with body mass index and fat mass in early adulthood. Clin Nurs Res 2021;30:591-598.
  • 11. Yarizadeh H, Setayesh L, Majidi N, Rasaei N, Mehranfar S, Ebrahimi R, Casazzza K, Mirzaei K. Nutrient patterns and their relation to obesity and metabolic syndrome in Iranian overweight and obese adult women. Eat Weight Disord 2021.
  • 12. Maruya K, Fujita H, Arai T, Asahi R, Morita Y, Ishibashi H. Sarcopenia and lower limb pain are additively related to motor function and a history of falls and fracture in community-dwelling elderly people. Osteoporos Sarcopenia 2019;5:23-26.
  • 13. Dibaba DT, Xun P, He K. Dietary magnesium intake is inversely associated with serum C-reactive protein levels: meta-analysis and systematic review. Eur J Clin Nutr 2014;68:510-516.
  • 14. McCabe PS, Pye SR, Beth JM, Lee DM, Tajar A, Bartfai G, Boonen S, Bouillon R, Casanueva F, Finn JD, Forti G, Giwercman A, Huhtaniemi IT, Kula K, Pendleton N, Punab M, Vanderschueren D, Wu FC, O’Neill TW. EMAS Study Group. Low vitamin D and the risk of developing chronic widespread pain: results from the European male ageing study. BMC Musculoskelet Disord 2016;17:32.
  • 15. Jafarirad S, Rasaie N, Darabi F. Comparison of anthropometric indices and lifestyle factors between healthy university students and those affected by premenstrual syndrome. Majallah-i Ilmi-i Pizishki-i Jundi/Shapur 2016;15:217-227.
  • 16. Towery P, Guffey JS, Doerflein C, Stroup K, Saucedo S, Taylor J. Chronic musculoskeletal pain and function improve with a plant-based diet. Complement Ther Med 2018;40:64-69.
  • 17. Batista ED, Andretta A, Miranda RC, Nehring J, Paiva ES, Schieferdecker ME. Food intake assessment and quality of life in women with fibromyalgia. Rev Bras Reumatol 2016;56:105-110.
  • 18. Choi KW, Somers TJ, Babyak MA, Sikkema KJ, Blumenthal JA, Keefe FJ. The relationship between pain and eating among overweight and obese individuals with osteoarthritis: an ecological momentary study. Pain Res Manag 2014;19:e159-e163.
  • 19. Hejazi J, Mohtadinia J, Kolahi S, Bakhtiyari M, Delpisheh A. Nutritional status of Iranian women with rheumatoid arthritis: an assessment of dietary intake and disease activity. Womens Health (Lond) 2011;7:599-605.
  • 20. Craig CL, Marshall AL, Sjöström M, Bauman AE, Booth ML, Ainsworth BE, Pratt M, Ekelund U, Yngve A, Sallis JF, Oja P. International physical activity questionnaire: 12-country reliability and validity. Med Sci Sports Exerc 2003;35:1381-1395.
  • 21. Akbarzade Z, Mohammadpour S, Djafarian K, Clark CC, Ghorbaninejad P, Mohtashami M, Shab-Bidar S. Breakfast-based dietary patterns and obesity in Tehranian adults. J Obes Metab Syndr 2020;29:222-232.
  • 22. Mouratidou T, Ford FA, Fraser RB. Reproducibility and validity of a food frequency questionnaire in assessing dietary intakes of low-income Caucasian postpartum women living in Sheffield, United Kingdom. Matern Child Nutr 2011;7:128-139.
  • 23. Ochi E, Tsuchiya Y. Eicosapentaenoic acid (EPA) and docosahexaenoic acid (DHA) in muscle damage and function. Nutrients 2018;10:552.
  • 24. Khosravi M, Sadighi S, Moradi S, Zendehdel K. Persian-McGill pain questionnaire; translation, adaptation and reliability in cancer patients: a brief report. Tehran Univ Med J 2013;71:53-58.
  • 25. Bahrampour N, Mirzababaei A, Shiraseb F, Clark CC, Mirzaei K. The mediatory role of inflammatory markers on the relationship between dietary energy density and body composition among obese and overweight adult women: a cross-sectional study. Int J Clin Pract 2021;75:e14579.
  • 26. Brain K, Burrows TL, Bruggink L, Malfliet A, Hayes C, Hodson FJ, Collins CE. Diet and chronic non-cancer pain: the state of the art and future directions. J Clin Med 2021;10:5203.
  • 27. Carbone JW, Pasiakos SM. Dietary protein and muscle mass: translating science to application and health benefit. Nutrients 2019;11:1136.
  • 28. Andersen CJ. Impact of dietary cholesterol on the pathophysiology of infectious and autoimmune disease. Nutrients 2018;10:E764.
  • 29. Sekar S, Panchal SK, Ghattamaneni NK, Brown L, Crawford R, Xiao Y, Prasadam I. Dietary saturated fatty acids modulate pain behaviour in trauma-induced osteoarthritis in rats. Nutrients 2020;12:509.
  • 30. Salduker S, Allers E, Bechan S, Hodgson RE, Meyer F, Meyer H, Smuts J, Vuong E, Webb D. Practical approach to a patient with chronic pain of uncertain etiology in primary care. J Pain Res 2019;12:2651-2662.
  • 31. Jensen JR, Pitcher MH, Yuan ZX, Ramsden CE, Domenichiello AF. Concentrations of oxidized linoleic acid derived lipid mediators in the amygdala and periaqueductal grey are reduced in a mouse model of chronic inflammatory pain. Prostaglandins Leukot Essent Fatty Acids 2018;135:128-136.
  • 32. Zhu H, Pollock NK, Kotak I, Gutin B, Wang X, Bhagatwala J, Parikh S, Harshfield GA, Dong Y. Dietary sodium, adiposity, and inflammation in healthy adolescents. Pediatrics 2014;133:e635-e642.
  • 33. Dragan S, Șerban MC, Damian G, Buleu F, Valcovici M, Christodorescu R. Dietary patterns and interventions to alleviate chronic pain. Nutrients 2020;12:2510.
  • 34. Straube S, Andrew Moore R, Derry S, McQuay HJ. Vitamin D and chronic pain. Pain 2009;141:10-13.
  • 35. Tarleton EK, Kennedy AG, Rose GL, Littenberg B. Relationship between magnesium intake and chronic pain in U.S. adults. Nutrients 2020;12:2104.
  • 36. Perry CA, Van Guilder GP, Kauffman A, Hossain M. A calorie-restricted DASH diet reduces body fat and maintains muscle strength in obese older adults. Nutrients 2019;12:102.

Download Citation

Download a citation file in RIS format that can be imported by all major citation management software, including EndNote, ProCite, RefWorks, and Reference Manager.

Format:

Include:

The Association Between Dietary Energy Density and Musculoskeletal Pain in Adult Men and Women
Clin Nutr Res. 2022;11(2):110-119.   Published online April 26, 2022
Download Citation

Download a citation file in RIS format that can be imported by all major citation management software, including EndNote, ProCite, RefWorks, and Reference Manager.

Format:
Include:
The Association Between Dietary Energy Density and Musculoskeletal Pain in Adult Men and Women
Clin Nutr Res. 2022;11(2):110-119.   Published online April 26, 2022
Close
The Association Between Dietary Energy Density and Musculoskeletal Pain in Adult Men and Women
The Association Between Dietary Energy Density and Musculoskeletal Pain in Adult Men and Women
0.02 Yes0 (0.0)5 (62.5)3 (37.5)0 (0.0)No43 (25.7)39 (23.4)41 (24.6)44 (26.3)Osteoporosis0.36Yes3 (33.3)4 (44.4)1 (11.1)1 (11.1)No40 (24.1)40 (24.1)43 (25.9)43 (25.9)Arthritis0.64Yes5 (38.5)2 (15.4)3 (23.1)3 (23.1)No38 (23.5)42 (25.9)41 (25.3)41 (25.3)Gout0.37Yes1 (100.0)0 (0.0)0 (0.0)0 (0.0)No42 (24.1)44 (25.3)44 (25.3)44 (25.3)Carpal tunnel syndrome0.56Yes1 (50.0)0 (0.0)1 (50.0)0 (0.0)No42 (24.3)44 (25.4)43 (24.9)44 (25.4)Migraine0.25Yes3 (60.0)1 (20.0)1 (20.0)0 (0.0)No40 (23.5)43 (25.3)43 (25.3)44 (25.9)Tennis elbow0.29Yes0 (0.0)1 (33.3)2 (66.7)0 (0.0)No43 (25.0)43 (25.0)42 (24.4)44 (25.6)Rheumatoid arthritis0.57Yes0 (0.0)1 (50.0)0 (0.0)1 (50.0)No43 (24.9)43 (24.9)44 (25.4)43 (24.9)Hereditary disorders of the skeleton0.10Yes0 (0.0)3 (75.0)0 (0.0)1 (25.0)No43 (25.1)41 (24.0)44 (25.7)43 (25.1)limb-length discrepancy0.43Yes1 (50.0)1 (50.0)0 (0.0)0 (0.0)No42 (24.3)43 (24.9)44 (25.4)44 (25.4)Vitamin C supplementation 0.04 Yes12 (38.7)6 (19.4)10 (32.3)3 (9.7)No31 (21.5)38 (26.4)34 (23.6)41 (28.5)Vitamin D supplementation0.50Yes20 (23.5)18 (21.2)25 (29.4)22 (25.9)No23 (25.6)26 (28.9)19 (21.1)22 (24.4)Multivitamin supplementation0.07Yes15 (29.4)6 (11.8)16 (31.4)14 (27.5)No28 (22.6)38 (30.6)28 (22.6)30 (24.2)Zinc supplementation0.47Yes9 (23.7)9 (23.7)7 (18.4)13 (34.2)No34 (24.8)35 (25.5)37 (27.0)31 (22.6)Calcium supplementation0.33Yes10 (32.3)8 (25.8)9 (29.0)4 (12.9)No33 (22.9)36 (25.0)35 (24.3)40 (27.8)Omega 3 supplementation0.53Yes4 (25.0)2 (12.5)6 (37.5)4 (25.0)No39 (24.5)42 (26.4)38 (23.9)40 (25.2)Taking: Acetaminophen0.88Yes1 (16.7)2 (33.3)2 (33.3)1 (16.7)No42 (24.9)42 (24.9)42 (24.9)43 (25.4)Taking: Ibuprofen0.07Yes2 (12.5)7 (43.8)6 (37.5)1 (6.3)No41 (25.8)37 (23.3)38 (23.9)43 (27.0)Taking: Celecoxib0.51Yes40.0 (2)0.040.0 (2)20.0 (1)No24.1 (41)25.9 (44)24.7 (42)25.3 (43)Weight (kg/m2)68.56 ± 16.6668.73 ± 13.3372.34 ± 16.4667.75 ± 14.210.50Height (cm)165.36 ± 8.89165.75 ± 8.74168.04 ± 9.22167.43 ± 8.410.42BMI (kg/m2)24.88 ± 4.5924.98 ± 4.2525.37 ± 3.9424.12 ± 4.520.58WC (cm)87.55 ± 23.3186.79 ± 19.1089.04 ± 16.9483.15 ± 14.630.50WHR0.52 ± 0.140.52 ± 0.110.52 ± 0.080.49 ± 0.090.50Total pain result* 15.11 ± 19.0914.13 ± 14.3920.68 ± 18.7318.29 ± 16.720.08Pain frequency (number per week)* 2.07 ± 2.501.39 ± 1.612.07 ± 2.091.45 ± 1.840.53 < 0.001 Phosphorus (mg/day)1,557.43 ± 638.601,625.57 ± 561.531,397.74 ± 495.181,668.18 ± 931.730.26Magnesium (mg/day)390.91 ± 162.84362.17 ± 122.21312.24 ± 128.59312.76 ± 140.60 0.02 Sodium (mg/day)1,777.03 ± 938.301,923.54 ± 659.041,681.12 ± 677.352,247.55 ± 1,353.71 0.03 Zinc (mg/day)11.14 ± 4.2611.79 ± 4.3310.68 ± 4.4013.63 ± 9.440.11Iron (mg/day)14.81 ± 7.4815.68 ± 4.5414.16 ± 6.7616.64 ± 8.120.35Vitamin A (RAE)2,554.39 ± 1,844.212,069.89 ± 1,050.622,197.40 ± 1,285.061,855.11 ± 1,268.780.12Vitamin E13.68 ± 10.8716.73 ± 12.1016.05 ± 10.7032.46 ± 53.67 0.009 Vitamin B1 (mg/day)1.72 ± 0.651.75 ± 0.481.54 ± 0.501.80 ± 0.980.31Vitamin B2 (mg/day)2.52 ± 0.982.59 ± 0.822.33 ± 0.812.65 ± 1.240.45Vitamin B3 (mg/day)18.80 ± 6.4322.16 ± 6.5820.28 ± 8.3132.51 ± 29.55 < 0.001 Vitamin B6 (mg/day)2.44 ± 1.412.20 ± 0.681.98 ± 0.842.43 ± 1.960.32Vitamin B9 (μg/day)451.56 ± 286.85395.09 ± 131.52304.93 ± 173.56263.24 ± 109.64 < 0.001 Vitamin B12 (μg/day)5.18 ± 4.796.42 ± 4.937.26 ± 6.647.66 ± 6.810.21Vitamin C (mg/day)155.46 ± 94.60150.38 ± 74.17121.12 ± 58.8089.47 ± 50.87 < 0.001 Vitamin D (μg/day)2.82 ± 2.482.57 ± 1.942.59 ± 1.942.48 ± 2.070.89Vitamin K (μg/day)250.09 ± 186.62270.03 ± 156.22225.68 ± 120.35230.17 ± 218.600.61Carbohydrate (g/day)263.05 ± 113.22251.95 ± 68.67230.17 ± 89.60236.90 ± 124.430.42Fat (g/day)88.34 ± 24.2497.61 ± 23.2995.50 ± 19.65133.66 ± 63.98 < 0.001 Protein(g/day)84.66 ± 31.4993.60 ± 29.0983.25 ± 31.26125.94 ± 115.51 0.006 Cholesterol (mg/day)291.11 ± 196.52321.92 ± 184.45321.05 ± 228.35447.66 ± 377.59 0.02 SFA (g/day)25.30 ± 11.3528.14 ± 13.0024.02 ± 7.9238.34 ± 30.14 0.001 MUFA (g/day)31.54 ± 11.8032.19 ± 9.4535.72 ± 10.6547.11 ± 20.95 < 0.001 PUFA (g/day)22.12 ± 8.4126.17 ± 7.1325.68 ± 6.5835.54 ± 29.45 0.001 Fiber (g/day)21.09 ± 16.6515.64 ± 5.7613.26 ± 8.0910.60 ± 5.96 < 0.001 0.05 0.01(−0.23, 0.26)0.90M22.35(0.07, 4.64) 0.04 0.02(−0.21, 0.26)0.82M33.03(0.88, 5.19) 0.006 0.09(−0.15, 0.33)0.45
Table 1 General characteristics of participants across DED

Quantitative variables were described by means and standard deviations, whereas qualitative variables were described using the frequencies (percentage). The bold-faced p values < 0.05 was considered significant.

DED, dietary energy density; BMI, body mass index; PA, physical activity; WC, waist circumference; WHR, waist to height ratio.

Calculated by χ2 and analysis of variance for qualitative and quantitative variables, respectively; *Kruskal Wallis test was used.

Table 2 Energy-adjusted dietary intakes across DED

Variables were described by means and standard deviations. Calculated by analysis of covariance. The bold-faced p values < 0.05 was considered significant.

DED, dietary energy density; RAE, retinol activity equivalents; SFA, saturated fatty acid; MUFA, monounsaturated fatty acid; PUFA, polyunsaturated fatty acid.

*Adjusted for energy intake.

Table 3 Association of DED with intensity and frequency of pain among patients

The bold-faced p value < 0.05 was considered significant. Beta coefficient shows the degree of change in the outcome variable.

M1: Adjusted for age, gender, physical activity, BMI; M2: Adjusted for age, gender, physical activity, BMI, education, job, marital status, history of kidney disease, vitamin C supplementation; M3: M2 + osteoporosis, gout, carpal tunnel syndrome, migraine, tennis elbow, rheumatoid arthritis, hereditary disorders of the skeleton, limb-length discrepancy.

DED, dietary energy density; CI, confidence interval.

*Linear regression was used.