Skip to main navigation Skip to main content
  • KSCN
  • E-Submission

CNR : Clinical Nutrition Research

OPEN ACCESS
ABOUT
BROWSE ARTICLES
EDITORIAL POLICIES
FOR CONTRIBUTORS

Articles

Original Article

Association Between Usual Vitamin K Intake and Anticoagulation in Patients Under Warfarin Therapy

Clinical Nutrition Research 2015;4(4):235-241.
Published online: October 31, 2015

1Department of Food and Nutrition, Sookmyung Women's University, Seoul 04310, Korea.

2Department of Nutrition, Seoul St. Mary's Hospital, The Catholic University of Korea, Seoul 06591, Korea.

Corresponding author: Mi-Kyung Sung. Address: Department of Food and Nutrition, Sookmyung Women's University, 100 Cheongpa-ro 47-gil, Yongsan-gu, Seoul 04310, Korea. Tel: +82-2-710-9453, Fax: +82-2-710-9395, mksung@sm.ac.kr
• Received: October 13, 2015   • Revised: October 24, 2015   • Accepted: October 26, 2015

© 2015 The Korean Society of Clinical Nutrition

This is an Open Access article distributed under the terms of the Creative Commons Attribution Non-Commercial License (http://creativecommons.org/licenses/by-nc/3.0/) which permits unrestricted non-commercial use, distribution, and reproduction in any medium, provided the original work is properly cited.

  • 2,158 Views
  • 10 Download
  • 12 Crossref
prev next
  • This study aimed to explore the correlation between usual vitamin K intake and response to anticoagulant therapy among patients under warfarin therapy. We conducted a retrospective survey of patients (n = 50) on continuous warfarin therapy. Clinical information and laboratory parameters were sourced from medical records. Anticoagulant effect was evaluated by using the percent time in therapeutic range (TTR) and the coefficient of variation (CV) of International normalized ratio (INR). Dietary vitamin K intake was assessed using a semi-quantitative food frequency questionnaire that has been developed for the purpose of assessing dietary intake of vitamin K. A total of 50 patients aged between 21 and 87 years were included in the study. The mean vitamin K intake was 262.8 ± 165.2 µg/day. Study subjects were divided into tertiles according to their usual vitamin K intake. The proportion of men was significantly higher in second and third tertile than first tertile (p = 0.028). The mean percent TTR was 38.4 ± 28.4% and CV of INR was 31.8 ± 11.8%. Long-term warfarin therapy group (≥ 3 years) had a higher percentage of TTR as compared to the control group (< 3 years) (p = 0.046). No statistically significant correlation was found between usual vitamin K intake and percent TTR (p > 0.05). In conclusion, no significant association was observed between usual vitamin K intake and anticoagulant effects. Further studies are required to consider inter-individual variability of vitamin K intake. Development of assessment tools to measure inter-individual variability of vitamin K intake might be helpful.
The prevalence of atrial fibrillation is predicted to increase significantly as the elderly population increases [1]. Approximately 4% of Koreans aged over 80 years have atrial fibrillation [2]. Warfarin is a vitamin K antagonist that is prescribed for patients who are at increased risk of blood clot formation. Long-term anticoagulant therapy is required for patients with mechanical heart valves, chronic atrial fibrillation, and venous thromboembolism [3].
Warfarin produces an anticoagulant effect by interfering with the regeneration of vitamin K hydroquinone from vitamin K epoxide. It inhibits the reductase enzymes in the vitamin K cycle [4]. The international normalized ratio (INR) is used to monitor the effectiveness of the anticoagulants. If anticoagulant effect of warfarin is excessive, INR can be increased and bleeding can occur as a side effect. Reversely, if anticoagulant effect wears off, INR can be decreased and risk of blood clot increases [5]. Warfarin therapy requires close monitoring owing to its narrow therapeutic range [6]. Several factors such as age, alcohol consumption, diet, exercise, concomitant medications, and environmental changes are known to affect the response to anticoagulants [3, 7, 8]. Dietary vitamin K is an independent factor that influences changes in INR [9].
Vitamin K is a fat-soluble vitamin. Dark green vegetables, herbs, and vegetable oils are the major sources of the vitamin K [10]. Vitamin K provides function for blood coagulation by helping carboxylation of vitamin K-dependent coagulation factors. A high intake of vitamin K results in reduction of INR and low dose of vitamin K increases INR [9].
For a long time, many studies have been conducted on warfarin use for its drug and food interaction. A high intake of vitamin K is believed to be an inhibiting factor for anticoagulation therapy [11]. On the other hand, low intake of vitamin K has been recognized as a risk factor that causes instability of the anticoagulant effect. It has been addressed that it is required to reconsider restriction of vitamin K intake, as even a small change in diet by patients who restrict to vitamin K intake might cause fluctuation of the anticoagulant effect [12]. Lower variability of intake was found among individuals with high vitamin K intake and that might lead to have more stable anticoagulant therapy [13]. When patients receiving warfarin therapy were divided into stable INR group and unstable INR group, the mean daily intake of vitamin K in the unstable INR group was significantly lower than that in the stable INR group [14]. A study on the relationship of vitamin K intake and stability of anticoagulation control in patients taking long term warfarin confirmed that increasing vitamin K intake resulted in the reduction of warfarin sensitivity [15].
A goal of nutrition educations for patients receiving warfarin therapy is to minimize variance of vitamin K intake [16, 17, 18]. Dietitians recommend that patients taking warfarin should maintain their vitamin K intake constantly and they instruct patients to be cautious for having a sudden vitamin K-rich food item [19]. Although the typical Korean diet includes vegetables high in vitamin K, assessment of vitamin K intake among Korean patients receiving warfarin therapy has not been adequately studied. This study aimed to explore the correlation between routine vitamin K intake and response to anticoagulant therapy among Korean patients receiving warfarin.
Subjects and study period
A retrospective survey of newly hospitalized Korean patients on continuous warfarin therapy was conducted. A total of 50 patients (aged between 21 and 87 years) were included in the study. Patients with short term warfarin therapy, patients newly prescribed warfarin therapy and patients taking additional anticoagulation (aspirin, heparin and etc.) with warfarin were excluded. This study was performed with the approval of the institutional review board of Seoul Saint Mary's Catholic Medical Center (KC15RISI0603). Informed consent was waived by the institutional review board because we retrospectively evaluated the previously acquired data.
Data collection
For each patient, clinical information and laboratory parameters including age, gender, body mass index (BMI), disease diagnosis, warfarin dosage, concomitant medications, INR results and duration of warfarin therapy were collected by reviewing the medical records. Alcohol, tobacco, dietary supplement use and past history of dietary vitamin K intervention during warfarin therapy were determined by medical records and interview.
Assessment of anticoagulation effects
Anticoagulation effect was evaluated by using the percent time in therapeutic INR range (TTR). TTR is a validated indicator of anticoagulation effect. It has been used to determine how long the patient might have been within their therapeutic range. TTR was calculated with the method designed by Rosendaal et al. [20]. Briefly, Rosendaal TTR is assessed by using linear interpolation between consecutive INR values. The therapeutic INR range was 2.0 to 3.0 for most patients and 2.5 to 3.5 for patients with artificial valve replacement. To evaluate stability of anticoagulant effect, we used the coefficient of variation (CV) of INR [15].
Assessment of usual vitamin K intake
We estimated usual vitamin K intake based on a semi-quantitative food frequency questionnaire (FFQ) that has been designed for the purpose of assessing dietary intake of vitamin K [21]. Thirty four items were included by selection of major phylloquinone resources based on the data in the Fifth Korea National Health and Nutrition Examination Survey [22]. Main food sources for vitamin K intake of Koreans, such as cabbage kimchi, spinach, laver, soybean oil, fermented soybean and etc. were included. Response options for food frequency toward each item were never or less than once per month, once per month, 2-3 times per month, 1-2 times per week, 3-4 times per week, 5-6 times per week, daily, 2 times per day, 3 times per day. Standard portion size were specified for each item in amount choices of small (50%), medium (100%) and large (150%). The FFQ records were obtained through face to face interviews by a registered dietitian.
Statistical analysis
Statistical analyses were performed using SAS software (version 9.4, SAS Institute, Cary, NC, USA). Usual vitamin K intake was calculated using CAN-Pro (version 4.0, The Korean Nutrition Society, Seoul, Korea). General characteristics and disease related characteristics were expressed in mean ± standard deviation and percentage. Study subjects were divided into tertiles according to their usual vitamin K intake. General and clinical characteristics of patients were compared among the three groups by the one-way analysis of variance (ANOVA) and the Chi-square tests. Wilcoxon rank-sum test and Kruskal-Wallis test were used to compare usual vitamin K intakes across subgroups. The anticoagulant effect is influenced by confounding factors, including demographic data, alcohol consumption, smoking and diet [3, 7, 23]. Correlations (both crudely and after adjustment for potential confounding factors) between usual vitamin K intake and anticoagulant effects were assessed by Spearman rank correlation coefficient test. Statistical significance was set at a value of p < 0.05.
General and disease-related characteristics
General and clinical information for the study subjects were represented in Table 1. Mean age of the patients was 66 years old, and 64.0% of study subjects were older than 65 years old. Study subjects were divided into tertiles according to their usual vitamin K intake. Usual vitamin K intake was 45.2-150.8 µg/day for the first tertile, 164.5-326.9 µg/day for the second tertile and 328.9-757.9 µg/day for the third tertile. The proportion of men was significantly higher in second and third tertile than first tertile (p = 0.028). The proportion of subjects who currently use of dietary supplement, alcohol and tobacco were 32.0%, 18.0% and 8.0%. The clinical indications for warfarin therapy were atrial fibrillation (46.0%), valve replacement (26.0%), thrombosis and other disease (28.0%). The mean duration of warfarin therapy was 48.8 months and 56.0% of study subjects received warfarin therapy over 3 years. The mean daily dose of warfarin was 3.2 mg (1.0 to 7.5 mg) and mean number of concomitant drugs was 5.4.
Vitamin K intake
The mean vitamin K intake was 262.8 ± 165.2 µg/day. There was high inter-individual variation of usual intake of vitamin K (45.2-757.9 µg/day). The average usual intake of vitamin K was higher in men compared with women (289.0 ± 166.6 µg/day for male and 216.2 ± 156.3 µg/day for female). Main food components to dietary vitamin K1 intake of subjects were represented in Table 2 [22].
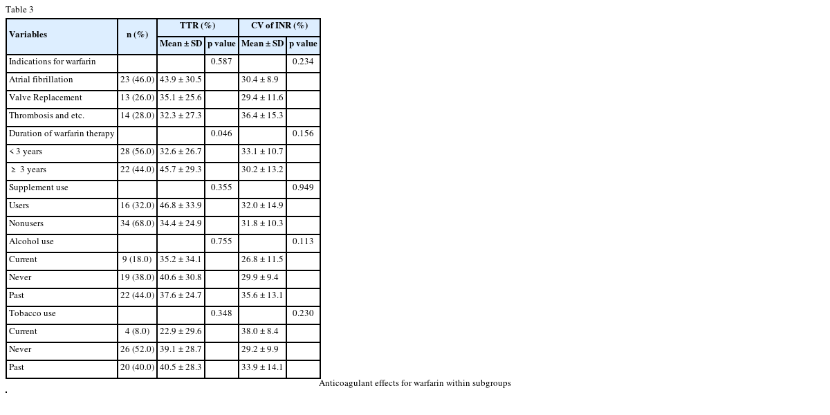
Anticoagulant effect
Percent TTR and CV of INR were used to evaluate anticoagulant effect in the study. Table 3 shows anticoagulant effects within subgroups. The mean percent TTR was 38.4 ± 28.4% and the range of TTR was 5.8 to 91.7%. Long-term warfarin therapy group (≥ 3 years) had higher percent TTR than control group (< 3 years) (p = 0.046). The mean CV of INR was 31.8 ± 11.8%.
Relationship between usual vitamin K intake and anticoagulant effect
The relation of usual vitamin K intake and anticoagulant effect was represented in Table 4. No statistically significant correlation was found between usual vitamin K intake and percent TTR. The same results were found after adjusting for confounding factors, such as age, gender, BMI, use of alcohol, tobacco and dietary supplements.
Warfarin is a medication for preventing blood clot and diseases such as stroke and myocardial infarction caused by blood clot. However, anticoagulation effect of warfarin is affected by environmental changes of patients including dietary vitamin K [7]. Fluctuation of anticoagulation effect results in INR to be out of therapeutic range and thrombosis, bleeding events and mortality increase [24]. Therefore, it is important to minimize the fluctuation of anticoagulant effects and manage INR to be stabilized within the therapeutic range.
Few studies have been reported relationship between dietary vitamin K and anticoagulant effect. It has been reported that higher vitamin K intake is significantly associated with higher percent TTR [25]. A study on the correlation between Mediterranean diet and quality of anticoagulation confirmed that Mediterranean diet is not associated with changes in TTR [26].
Many of the patients in this study have expressed difficulties in diet control. It is observed that some of the subjects tried to completely restrict foods high in vitamin K. Anticoagulated patients are often advised to avoid foods high in vitamin K [27]. Dietary intervention that limits the intake of foods high in vitamin K may lead to excessive restriction of vitamin K intake in patients receiving warfarin therapy. When restricting vitamin K intake excessively, fluctuation of vitamin K intake can be increased and cause instability of INR [28, 29]. European Society of Cardiology recommended that dietary recommendations for warfarin treated patients should not be aimed at avoiding vitamin K-rich food items, but at trying to maintain a stable and not-too-low daily intake [30].
Only limited numbers of studies have been performed for nutrition intervention strategy which can be tried for patients receiving warfarin therapy. A strategy to adjust a frequency of intake of the food high in vitamin K was suggested [31]. This strategy could help to maintain INR within the therapeutic range. However, adherence of patient can be decreased as it is inconvenient to adjust the meal strategy whenever INR fluctuate. Another strategy to maintain weekly vitamin K scores was designed [32]. Vitamin K-rich vegetables were classified into seven score grades according to their relative vitamin K content per serving. This strategy seems to be applicable for the Korean patients.
In this study we could not find statistically relevant correlation between usual vitamin K intake of the patients taking warfarin and TTR, and CV of INR. The possible causes of the results can be inferred by the followings. First of all, there was a possibility that the accuracy of the vitamin K intake assessment has been lowered. In this study, we included phylloquinone (vitamin K1) intakes only, in assessment of usual vitamin K intake and menaquinone (vitamin K2) intake was not assessed due to the lack of data. Also, as some of menaquinone which are synthesized by bacterial flora are absorbed in body [33], dietary intake may underestimate the intake. Lastly, there could be intra-individual differences in bioavailability of dietary vitamin K [27]. Therefore, further studies are required to consider the plasma vitamin K level in addition to vitamin K intake.
The strength of the study is that this is the first study performed to determine the correlation of TTR and usual vitamin K intake by investigating Korean anticoagulated patients. We reflected usual vitamin K intake by performing FFQ for the recent one year. The FFQ are consisted of high contributing items to vitamin K intake and reflect eating habits of the Korean [22].
This study has several limitations. The study is performed only for the patients taking warfarin who are hospitalized in a university hospital located in Seoul. Secondly, we need further validation on FFQ used to figure out usual vitamin K intake of subjects. Validity check was not fully performed in sufficient level for FFQ in this study, however, strong correlations were observed (r = 0.852) between FFQ and 5-days dietary record [21].
No significant association was observed between usual vitamin K intake and anticoagulant effects. Further studies are required to consider inter-individual variability of vitamin K intake. Development of assessment tools to measure inter-individual variability of vitamin K intake might be helpful.

Conflict of Interest: The authors have declared no conflict of interest.

  • 1. Savelieva I, Camm J. Update on atrial fibrillation: part I. Clin Cardiol 2008;31:55-62.
  • 2. Jeong JH. Prevalence of and risk factors for atrial fibrillation in Korean adults older than 40 years. J Korean Med Sci 2005;20:26-30.
  • 3. Siguret V, Pautas E, Gouin-Thibault I. Warfarin therapy: influence of pharmacogenetic and environmental factors on the anticoagulant response to warfarin. Vitam Horm 2008;78:247-264.
  • 4. Hirsh J, Dalen JE, Deykin D, Poller L, Bussey H. Oral anticoagulants. Mechanism of action, clinical effectiveness, and optimal therapeutic range. Chest 1995;108:231S-246S.
  • 5. Oake N, Jennings A, Forster AJ, Fergusson D, Doucette S, van Walraven C. Anticoagulation intensity and outcomes among patients prescribed oral anticoagulant therapy: a systematic review and meta-analysis. CMAJ 2008;179:235-244.
  • 6. Ansell J, Hirsh J, Poller L, Bussey H, Jacobson A, Hylek E. The pharmacology and management of the vitamin K antagonists: the Seventh ACCP Conference on Antithrombotic and Thrombolytic Therapy. Chest 2004;126:204S-233S.
  • 7. Hirsh J, Dalen J, Anderson DR, Poller L, Bussey H, Ansell J, Deykin D. Oral anticoagulants: mechanism of action, clinical effectiveness, and optimal therapeutic range. Chest 2001;119:8S-21S.
  • 8. Cavallari LH, Limdi NA. Warfarin pharmacogenomics. Curr Opin Mol Ther 2009;11:243-251.
  • 9. Franco V, Polanczyk CA, Clausell N, Rohde LE. Role of dietary vitamin K intake in chronic oral anticoagulation: prospective evidence from observational and randomized protocols. Am J Med 2004;116:651-656.
  • 10. Bolton-Smith C, Price RJ, Fenton ST, Harrington DJ, Shearer MJ. Compilation of a provisional UK database for the phylloquinone (vitamin K1) content of foods. Br J Nutr 2000;83:389-399.
  • 11. Wells PS, Holbrook AM, Crowther NR, Hirsh J. Interactions of warfarin with drugs and food. Ann Intern Med 1994;121:676-683.
  • 12. Lurie Y, Loebstein R, Kurnik D, Almog S, Halkin H. Warfarin and vitamin K intake in the era of pharmacogenetics. Br J Clin Pharmacol 2010;70:164-170.
  • 13. Presse N, Kergoat MJ, Ferland G. High usual dietary vitamin K intake is associated with low relative variability in vitamin K intake: implications for anticoagulant therapy. Br J Haematol 2011;153:129-130.
  • 14. Sconce E, Khan T, Mason J, Noble F, Wynne H, Kamali F. Patients with unstable control have a poorer dietary intake of vitamin K compared to patients with stable control of anticoagulation. Thromb Haemost 2005;93:872-875.
  • 15. Kim KH, Choi WS, Lee JH, Lee H, Yang DH, Chae SC. Relationship between dietary vitamin K intake and the stability of anticoagulation effect in patients taking long-term warfarin. Thromb Haemost 2010;104:755-759.
  • 16. Booth SL, Centurelli MA. Vitamin K: a practical guide to the dietary management of patients on warfarin. Nutr Rev 1999;57:288-296.
  • 17. Li RC, Finkelman BS, Chen J, Booth SL, Bershaw L, Brensinger C, Kimmel SE. Dietary vitamin K intake and anticoagulation control during the initiation phase of warfarin therapy: a prospective cohort study. Thromb Haemost 2013;110:195-196.
  • 18. Harshman SG, Saltzman E, Booth SL. Vitamin K: dietary intake and requirements in different clinical conditions. Curr Opin Clin Nutr Metab Care 2014;17:531-538.
  • 19. Jun MH, Lee CK, Lee YH, Park YG, Gang SM. A study on the relationship between drug related knowledge, sick role behavior and quality of life of patients taking warfarin. J Korean Clin Nurs Res 2014;20:53-63.
  • 20. Rosendaal FR, Cannegieter SC, van der Meer FJ, Briët E. A method to determine the optimal intensity of oral anticoagulant therapy. Thromb Haemost 1993;69:236-239.
  • 21. Kim ES. The development of a food frequency questionnaire and a survey on vitamin K1 (Phylloquinone) intakes in Koreans: based on 2010~2012 Korean National Health and Nutrition Examination Survey [Unpublished master's thesis]. Iksan: Wonkwang University; 2014.
  • 22. Kim ES, Kim MS, Na WR, Sohn CM. Estimation of vitamin K intake in Koreans and determination of the primary vitamin K-containing food sources based on the fifth Korean National Health and Nutrition Examination Survey (2010-2011). Nutr Res Pract 2013;7:503-509.
  • 23. Penning-van Beest FJ, Geleijnse JM, van Meegen E, Vermeer C, Rosendaal FR, Stricker BH. Lifestyle and diet as risk factors for overanticoagulation. J Clin Epidemiol 2002;55:411-417.
  • 24. White HD, Gruber M, Feyzi J, Kaatz S, Tse HF, Husted S, Albers GW. Comparison of outcomes among patients randomized to warfarin therapy according to anticoagulant control: results from SPORTIF III and V. Arch Intern Med 2007;167:239-245.
  • 25. Leblanc C, Presse N, Lalonde G, Dumas S, Ferland G. Higher vitamin K intake is associated with better INR control and a decreased need for INR tests in long-term warfarin therapy. Thromb Res 2014;134:210-212.
  • 26. Pignatelli P, Pastori D, Vicario T, Bucci T, Del Ben M, Russo R, Tanzilli A, Nardoni ML, Bartimoccia S, Nocella C, Ferro D, Saliola M, Cangemi R, Lip GY, Violi F. Relationship between Mediterranean diet and time in therapeutic range in atrial fibrillation patients taking vitamin K antagonists. Europace 2015;17:1223-1228.
  • 27. Holmes MV, Hunt BJ, Shearer MJ. The role of dietary vitamin K in the management of oral vitamin K antagonists. Blood Rev 2012;26:1-14.
  • 28. Booth SL. Dietary vitamin K guidance: an effective strategy for stable control of oral anticoagulation? Nutr Rev 2010;68:178-181.
  • 29. Palareti G, Cosmi B. Bleeding with anticoagulation therapy - who is at risk, and how best to identify such patients. Thromb Haemost 2009;102:268-278.
  • 30. De Caterina R, Husted S, Wallentin L, Andreotti F, Arnesen H, Bachmann F, Baigent C, Huber K, Jespersen J, Kristensen SD, Lip GY, Morais J, Rasmussen LH, Siegbahn A, Verheugt FW, Weitz JI. Vitamin K antagonists in heart disease: current status and perspectives (Section III). Position paper of the ESC Working Group on Thrombosis--Task Force on Anticoagulants in Heart Disease. Thromb Haemost 2013;110:1087-1107.
  • 31. de Assis MC, Rabelo ER, Avila CW, Polanczyk CA, Rohde LE. Improved oral anticoagulation after a dietary vitamin k-guided strategy: a randomized controlled trial. Circulation 2009;120:1115-1122.
  • 32. Chang CH, Wang YW, Yeh Liu PY, Kao Yang YH. A practical approach to minimize the interaction of dietary vitamin K with warfarin. J Clin Pharm Ther 2014;39:56-60.
  • 33. Walther B, Karl JP, Booth SL, Boyaval P. Menaquinones, bacteria, and the food supply: the relevance of dairy and fermented food products to vitamin K requirements. Adv Nutr 2013;4:463-473.
Table 1

General and disease-related characteristics of subjects by tertiles of usual vitamin K intake

Table 1
Overall
(n = 50)
First tertile
(n = 16)
Second tertile
(n = 17)
Third tertile
(n = 17)
p value
Age, years 66.0 ± 13.9* 71.0 ± 9.0 61.6 ± 15.0 65.6 ± 15.7 0.155
Male, % 64.0 37.5 76.5 76.5 0.028
BMI, kg/m2 23.8 ± 3.2 23.5 ± 2.2 23.4 ± 3.5 24.4 ± 3.8 0.638
Supplement use, % 32.0 18.8 35.3 41.2 0.362
Alcohol use, % 18.0 0.0 29.4 23.5 0.069
Tobacco use, % 8.0 0.0 17.7 5.9 0.456
Indications for warfarin, % 0.936
 Atrial fibrillation 46.0 50.0 47.1 41.2
 Valve Replacement 26.0 18.7 29.4 29.4
 Thrombosis and etc. 28.0 31.3 23.5 29.4
Duration of warfarin therapy, % 0.667
 < 3 year 56.0 43.8 70.6 64.7
 ≥ 3 years 44.0 56.2 29.4 35.3
Daily warfarin dose, mg 3.2 ± 1.6 3.0 ± 1.1 3.6 ± 2.0 2.9 ± 1.5 0.468
Number of drugs, n 5.4 ± 3.4 6.6 ± 3.6 4.2 ± 3.1 5.6 ± 3.4 0.130

p-values were calculated by ANOVA and Chi-square test.

BMI: body mass index.

*Mean ± standard deviation; Percentage.

Table 2

Main food components to dietary vitamin K1 intake of subjects

Table 2
Food components Standard portion size*
(g)
Vitamin K1
(µg / portion size)
Vitamin K1*
(µg / 100 g)
Spinach 70 345.5 493.6
Radish leaves 70 238.0 340.0
Cheongguk-jang 15 130.5 870.0
Lettuce 70 121.5 173.6
Broccoli 70 98.8 141.1
Cabbage kimchi 40 25.2 63.0
Seasoned laver 2 13.0 650.0
Soybean oil 5 9.9 197.6
Doenjang 15 2.9 19.0

*Data from the Korean nutrition society 2009.

Table 3

Anticoagulant effects for warfarin within subgroups

Table 3
Variables n (%) TTR (%) CV of INR (%)
Mean ± SD p value Mean ± SD p value
Indications for warfarin 0.587 0.234
 Atrial fibrillation 23 (46.0) 43.9 ± 30.5 30.4 ± 8.9
 Valve Replacement 13 (26.0) 35.1 ± 25.6 29.4 ± 11.6
 Thrombosis and etc. 14 (28.0) 32.3 ± 27.3 36.4 ± 15.3
Duration of warfarin therapy 0.046 0.156
 < 3 years 28 (56.0) 32.6 ± 26.7 33.1 ± 10.7
 ≥ 3 years 22 (44.0) 45.7 ± 29.3 30.2 ± 13.2
Supplement use 0.355 0.949
 Users 16 (32.0) 46.8 ± 33.9 32.0 ± 14.9
 Nonusers 34 (68.0) 34.4 ± 24.9 31.8 ± 10.3
Alcohol use 0.755 0.113
 Current 9 (18.0) 35.2 ± 34.1 26.8 ± 11.5
 Never 19 (38.0) 40.6 ± 30.8 29.9 ± 9.4
 Past 22 (44.0) 37.6 ± 24.7 35.6 ± 13.1
Tobacco use 0.348 0.230
 Current 4 (8.0) 22.9 ± 29.6 38.0 ± 8.4
 Never 26 (52.0) 39.1 ± 28.7 29.2 ± 9.9
 Past 20 (40.0) 40.5 ± 28.3 33.9 ± 14.1

p-values were calculated by Wilcoxon rank-sum test and Kruskal-Wallis test.

TTR: Time in therapeutic range, CV: Coefficient of variance, INR: International normalized ratio.

Table 4

Spearman's rank correlation coefficients for the relation of usual vitamin K intake and anticoagulant effect

Table 4
Time in therapeutic INR range Coefficient value of INR
Unadjusted Adjusted* Unadjusted Adjusted
Spearman r -0.078 -0.126 -0.043 -0.080
p value 0.589 0.408 0.769 0.599

*Adjusted for age, gender, BMI, use of alcohol, tobacco and dietary supplements.

INR: International normalized ratio.

Download Citation

Download a citation file in RIS format that can be imported by all major citation management software, including EndNote, ProCite, RefWorks, and Reference Manager.

Format:

Include:

Association Between Usual Vitamin K Intake and Anticoagulation in Patients Under Warfarin Therapy
Clin Nutr Res. 2015;4(4):235-241.   Published online October 31, 2015
Download Citation

Download a citation file in RIS format that can be imported by all major citation management software, including EndNote, ProCite, RefWorks, and Reference Manager.

Format:
Include:
Association Between Usual Vitamin K Intake and Anticoagulation in Patients Under Warfarin Therapy
Clin Nutr Res. 2015;4(4):235-241.   Published online October 31, 2015
Close
Association Between Usual Vitamin K Intake and Anticoagulation in Patients Under Warfarin Therapy
Association Between Usual Vitamin K Intake and Anticoagulation in Patients Under Warfarin Therapy
Table 1 General and disease-related characteristics of subjects by tertiles of usual vitamin K intake

p-values were calculated by ANOVA and Chi-square test.

BMI: body mass index.

*Mean ± standard deviation; Percentage.

Table 2 Main food components to dietary vitamin K1 intake of subjects

*Data from the Korean nutrition society 2009.

Table 3 Anticoagulant effects for warfarin within subgroups

p-values were calculated by Wilcoxon rank-sum test and Kruskal-Wallis test.

TTR: Time in therapeutic range, CV: Coefficient of variance, INR: International normalized ratio.

Table 4 Spearman's rank correlation coefficients for the relation of usual vitamin K intake and anticoagulant effect

*Adjusted for age, gender, BMI, use of alcohol, tobacco and dietary supplements.

INR: International normalized ratio.