Skip to main navigation Skip to main content
  • KSCN
  • E-Submission

CNR : Clinical Nutrition Research

OPEN ACCESS
ABOUT
BROWSE ARTICLES
EDITORIAL POLICIES
FOR CONTRIBUTORS

Articles

Original Article

Effects of the Intestinal Status and Clinical Factors of Korean Middle-Aged People Through the Consumption of Functional Foods Containing Auricularia auricula-judae Powder: Prospective, Randomized, Open-Label, and Control Com

Clinical Nutrition Research 2025;14(1):7-16.
Published online: January 22, 2025

1Department of Gerontology, AgeTech-Service Convergence Major, Graduate School of East-West Medical Science, Kyung Hee University, Yongin 17104, Korea.JFIFddDuckydqhttp://ns.adobe.com/xap/1.0/ Adobed     ! 1AQa"q 2#w8B36v7XRr$9bCt%u&Ws'(xy4T5fH  !1AQaq"2B Rbr#u67Ѳ3sTt5v8Sc$4ĂCÔ%UӅFV ?_Aנj- H>>,m*>fzp"TrKkr^r.|_&]|*vPuܶvoQ1mwVJUhu-I"=LniAƕ8"۲ k*ҿ[yu:.vUQ+)%F DHyVBk>Hy8jݹ q~9D4KRmzQ)^ʔ.J%k_tVi5NTjg!'ky|5asOȻ)R۸ߩFMԿ3L4j6dڜ#NIwUF]JqB/(FafJRzq3\G՛ ?~\ 6)6W4m[O^L0E&rRMض*C .]Unl-1 1r#Rj/&QɈ׉˩s6Rj=5Tg.y.·Pӡ:JJS:C8-2u]d&vUz;7p9 5VnL֢"y)">iי(IDDd| Yj0; LRfS:ktYK%*N2^m|&dğth":ey)uPQZW)gcC3Pv&MMWd&Ŵ۲mvTRoժM03*F3Yd6\8,\hݻ kߔi<k NTwSԪmljj[>->ptU%'LR>&EBH$MQAUx[$Z6vi&_a.KIQ{hyƒ j"JOC9eFҝfj;˚Ω<[3_m% lQ@4g=5$(J]Yc-OMq<Ǎ wSzڗ)k$7VIP붾ͯnV+卵*t]iЎD31~SA1éC2u)ʼnQn-Uoi3:grI8ؓWm*G zܕ)ZקJ}Y YlGeJ6cB2I NS3Q>k=KTBT]W6+SOXQgGR? telˊ%-Re\hѯ2TF"C/OJΩ6r[N.0{SpljjX1“jOsӥ;ҭhe}xu`Ք&.)yO̒ Fߑ.$Qw;9Iw2o+RVJMSOj[SoҌZ%;`d$blQ{Ro{Imڌ>3egf\O֝Uzx"䢸g+mv%Gʆ:|V[N'&ס-ޝ'kfE|K,G&˳98Juin/\\Qݿ̋v~Ǩ!rtWU d|E߫R4d}.qPw*Ӭv5YEcn~f5c%MTMkb-F>5JT,})QHg%{("ӔȸWMsYyWNRrkkJr0XドnͫT}r-jj,Ŕʍ\Q2Ri>v$5!]"JB2WɅ)]VԜUc8i|.jeRO6^V.¸ Q&#|ܶ-*uOG%JAtRZRr]FFG\۩w+?'zչSѧt jz>KW&ot{7P&2D;&\\>Q2JzܗAKSfeNn[jRrԕf6,q,F1tRfԗ>vֶևj-&R'Zi2=xv~Elbsvm8=ӛ"ū񕜈BȩlWau[]ٷBߨF~J!|Ipr3R̴#Yp)={7:G{+:\W}n|Q#%)7^-h"Ƒq:M*%J&$T軨I333׎g_- ucBwwjp[6i25$̏bU’ٱRv?G\~#Iͪb7<<}Ezt" q_Inw,7-d,G÷%T* Wg1"䥱kq/A.,_KhqŒxwvo u2ۥۧ.bQ}XκA$֣ +K״ZUNmڸII{.v{5z5ѮRme[moyƾd~cRݾK'j.\i&/S6f|b=5: p!6i_ 4j6=.si˧eƾtS^c.Y^RJVS-Vi3,esi08?H$GvZgg?gi䤟2adw릿:"۪lkSN>q-4kI܋ێe̊qۅgDoѨ9; #T.Q;7#~_Ufstb_'w~Xw1Xk,vcOt._}v}8"(4Z\ۘgk?J?bm_c!g{HZV]Fkk%~gEt)b秴vΰB|꽸}mp~E6ݹv;7P٤v+ri*3Ԣ|'O14_~7nP{7ZU\Vű[ +7󖱅o#:ǥŬ\|3r%TJX]V7ez¨Y]lc|O3V! R zbJ'PnGqVJ"19WVeOF埜EaEJωqCN5Z g-9[S<$sUK5b|7sn\7x qmv##FF\ w[=-43$^ooVSiXօv7iB۴yg>]Vf"r$J3""32!Zh[K%7GvNLs+4nB/B{vlsobJaҺJR:0g%&zR\ S3T[&ִor*ⷳc3ʊO[iozW٨%$gn:ܶWwFBԹjHP&z u&F2\f;ipW73 [; '_̽b;vib!oec dC-tS__$Xs]l9&z$2/N>%'[}b{h/{`{Ji׉׏ YJB/X%}.|+{(S:qz]4_Kѵo`^tY_4S#* ^zvݾMr+TrkQ g.8Ͽ^i>ӈǙvix>$o( ^qt*&t1oJVu-ql5U6jCЉmĻ*"?JT=K'O/|=Vo}l0b}}f?X[?/\JSBe,kP8ETJ==?.p5ފgbU9}ǶdNKk—_$8̸͓ۍ8Di\BԿ-1v{FF]|.^ۅ{vl12׏z7-R7wE?\nh\jN/Kձr_oBw"N QMBZqe-m:ӨSn6j4%!hQ;sv'm4kcM=!8\m[M4{SMliۇ%eֽR&N:{2A8)THLK3Zj[jPBx#BگMf:G1\`edcʮ?|w(-̮vXt,bW2;.ιNHRR#YwTM"<;mk\.foIDjmlJ;vxy7o7i\,KQŊ9d^Mmgc L*.T6tLeIuOH3SJQ3=F/ʿ<9\JM6mN6=<{xkP!F1QR[I$6ُimXu2An2yԒMU q f[IB-'䤯jYm52&JG\zд\~vdg QtHGXw&1Lw+nDEdC1w|YJmvP)HZ>i0BPβә?R:QO["]I_Jʏۍ>QKyu^bycBq4lXF~l [\*N>-J6,Gq(Zr5h]CwYӤU~ʶߑ u*SIv%ZfJ7)! FS*s_\|IŸZ)J ]ܜi4"z[+Z,MOZ))}|Ʀ(RUNIII.S'ˍO~˨rn}M)xxӕ0 eyҵ7YMAB]ӣU:/ѭ*6bcwP͵ "+qēVjŹO|GtY4V j[mLV M -m>",B$ GD1~j6O4|LxnNmqATNR3ε|DŽa[fmn-ڭ+FiK7Pcm;r5 l8r{#-]'nrFh2ruycb;pW=njRqRJ(d mnpckNnʹ+6]tz~E=ʕ l ZZ5jSi3#47.Lcfe`9؏v囜.F\-UZ:*0_<Νu9Lӵm&)_3\^ҹ3"1n1v_|uRʞͫr'iȧN_kH׺8xXrj=\МH)V\ˬ.Xʸ oVRC}ySU9/OBY먌5 ٿwޞ)rw8Ӫi5*5ZΗcGƱ !ZۄlmpjJ -l <R̵/JAպZuq\IdUS 48wXJJtcg4cI~aqߓwŷrm-v)G7yS^7H^-\mŌAq|"m9IBnF㏉9[N+mmy/!KKۉ%n +BdddfFF6FQRN-U5;Sv'm4kcM=Mn)\qιqUd9F%",6MGdT%-+~ f%+y֛^3SrF>6lc(֪vۊN;g._0Sѧ]ETWرkQKzGe9ʨsKA"yC y2\[5 rԭ7Gk5Mzw_4sM3hxЊ'oÍ5jsub )ͪ~tR2H]R͍>̋m6=%(˿(Wrr-܅y5(ܔJ޺YunW̹븹NsqK ]/QR#"ZMDfD|43Qw|._ԡSqTZBg??O Ϥ)/E_U|i}2 9Z?¹0:x'3,whǣ?C y-A~=daJј&M?D1_PS+Oi&;a @;Dž7[ zZC"bv:jjMQk$M RԸ3uA\=wI.AwC"^.{?-\NSiˏ"b}T/}q/ o.1M}R%:-ZniʒL$SgrBW*,Mw'N\ɇ{s\j]VryG'8f`}'N<*/`U숻z CwHq18J+vԕKss4R53/&XTt1bZƟo\=%nO)h$rBi-nKĪ^ ջڜlwkYm[̑+/QrZo%TQ;TLs($2C:s.%+eoNttq۰kK7O0m_t_pZ1SsSM7"mevFZ[w -FJ*T*jФQRg BSu|]g:ɵzjqwmltL.e3sRMچkSmjkmWœިm++¦'tILk*բQ D,PB\lI[9{%Gb R6öۍmX-MaʉA931cs..G4CujQտ[9 }G-xwl)IQz j Ó"rqe&=]꾧֎c)<kӳ+0JrRR3'TnXi^xMF Bު*tIL.[h"2"nKzZe'ZV/RrNYz]8죝n]Ķܩ>^Ժ]u-7^\mZjܣ9+Rmn ߑv?oꋘ?&ƪy^N4o=3-ؔ̿*`}V݁ ƒPu8%$ ݗ]wt;\y\>='OjPIp/nJU8{϶FNMsf"ίNqƹ(+ ݮF2Km |jܴZs%zf*eȫ?]4)I۵nR&FX + [jDh(#哑9q9Eծj8noǕZf\J-l&Z˫}`ӎhyrΉn\űn]9pʌӣ"׮Wt?N4_I_~54#/my1Xr*척aS#DT >q ssΛW;3oUaJSRMDgQnt:Ql,/ ܷfRqiM Ȼ>Cob;A>ڦWقM9X~/!'MW.}Vrߔꔵ!5|iB(0-zF=}okڢE$^wW~nokY߮\6՜̌{i-AF*9)\t9IV6۸5ZUF6R$ŨQIq砳YUZ]eyv >hI櫥N )&l JulwE1GDOuFN2| }馥uC1rޫV+^gdb&W[4<^e4YW,d|htͮsUM)۸8:{3d{AѢ)~ \#J=NdƮꮓ90 |1K$v*?мS ]i$J,C,SG?/_՜pMSƯM|mG1V1$~K>CSvkuj=&) -,yLjuFHK{c駗.SOua;BrSqj-ۍZ#'Jys7[g2z/.u4+XV2VQ.ޕ)$"(%)#Z7suZ%j }BǬݕe)Jvz8zJf:hIN|svO1O#IEcۍjݽ:SdὮvu^@:o^5cs>i/VqmVm]ؔܢn6'vޑ̗J4Wn@OlKbX ;n:hgJ9ŻyǑz8f܌q&Y fN0N;[69 rbׅC2/#kE l&2~èMR.*%g=Ft.%؝e8<.e=Uv{~㻏"EˑnvDѭ͜Lu3u0:U֝$[M5<:oi+V4V9 6nXvx&_ q Qqw3W:uϔ2yb/(ɳ|5zQiJ#r|Hw#.W?4aDŲ\ugWG;Cw鐢K|xg)##=O.dF˟jMUvWĻsr.z]kPc9"]R)mkfOd*uYf١RsB Aîh=k]ʳUrrZsq`d#r$/Ը3o^&lRWȍyuW̦Y4QDUMJ65ƒ[+ygk XK_±k#y:8(TJOSQhJt2.DR}"5[) r)6V6u5k:eXZmv𭤔!푊Q[qQ}ҹLE- 8qIZG|UM4j}Mܕ[Vwm{} Naqµ"ԈM zOpKѰ?IAD3Ir0'/q1itoB5{%wkOBn-ۜduqIzYK60{+DʕܞqIt";r1mG/\/ym[6JƫR \L=S=OT@Ix[TMm{>ݾտ֒ݸӉLYIx>+"JVNzx||5rI?C{oz8۹e\R-^\A2F R+N9 vlT]"ۭ d)t֞i #E2jB@׵=#/N+!ĕhx}I!cM`ąZ*ŻɄҒ߮Y.Z}='/oۙ3IpW̮hT7cTSuz9>B}΄&h!>lӵn~j˅IvU.'v'CSZw8QK3G> ,J59ٷ+HSg䧎hJdzvwv-cvxS5[̊n~ؿ%ַX?O0\6ne 6kn9.ϯ} *h 8_QhLݣ7q +=XBҲ5?[[)+F`=4 }B,sNg==u*Nj9k_GJ)+R~GSPBȒZ:(K]heL=vKPӢwq(NrG^ثϣ?#tC?.ͼ[ۅo؞y#%ǛjVyLSw%T*s92JTM%"YkQО.q)gCͲn8cgi6j1MѾ[{9h^vƘǚםidfi.^RHmg&rׇz:}݃}xT$ضk'5s-狶,\vpbPD،=Okf.c#cdz2FK5T!&)|ntD<+OŹU i-G[EE*FDfeaf2QƤM\UG_{ǹm%\yrGy:.\4wjPGUJޕUV7Do\7Vy_13w;[?c]H\$IJ,*L]3b%L{y.JRKG2sq,B6T}(#nW|km+q5] r㪍bJ@y{byz,b踊3ϻJ,'^xd،)JVw#.Vټc''ÝպWtbRؒJz۠8!o9IۄS95E9ؔ-e9JR{dmnッ<[~n${~Њ$W?&ՐY_? #a.ߑv?oꋘ?&ơ|y^N4o=3t=~7!/M3>n8W홎2M`Qx+ z qy8%]7_~540ۦ彷]Wq CѡwkďyF5Dum_}~P(5.(X,K9vᯐ?leB9;Jhm#3{CxGE-S{;@Fz˙]=O'!ɿ]' r`:7'2bЖ>Iy,/eTy/V<.H?UYY{\^#ѣr9^7?xoRȆ7EoS_&??zϾM?(~Q-K&>"~aߨ t7Emsϛ+?;fCr)fY+>z$tIkjn_>vnrֳki-˹l= t;'EyC¥|/BLwBJdgjۛ$s S1|ɍV%JI6KvəhzIlBYɒ|0"Sy0F>eo5W)O+X˻u';v)2vVq۳kۮws?UʑBǴYO漪e2MIjPAک\b1)DDؚKm6ZWΨgȕ۶yjڳ 2ضN[C[|r@9Jfo<_eI7q.|cÊV߷:i.:$ȋ)1%%)ADZCEBxJ0MJۥy(bNsKM9k43IwNt.\%N簤I'.j|ƃ2$grBEٌ\}9:v*!n7M(ɽ]7c@XxƱԨ37īf62cTTfFK]9wntQHͮvٱI/f|j=7}\_V5U^+:uljSȃY(XI.ȱmo1甅jڎIZ2>#\*:gY|4k\8ZwSqtyA!+];бޞKծË¥e)#5ap.QK^8VdU{*ѽL\=qmjnB5>{ Ӟ`v±5 ^k&O~Oshɷ,;6nOW>u6{RqS`)S%jp\ipdEBLfTWy$GIYw~䲭J.1vSY5z.V>^+Ǎvc.I[R{QsNR3ӎfhd>y?UJ*}~[e\i5U^͛E]G_FS(Iɿ]i8:4zj~շsW,ˆsy:%O}iur]iF5~3M:Ӟ#N06)4ߧgdawIotiz:1r5YDZLHBSi;NQc44la=Y kQIT*ըl:tq2(է9VO4뒳܂~2rq'nrVZŦ[t7\oլfb/mlpc.I8콚q^1iE~䰳mi[dۧw֤ICfdFeCsg:i| 6擣׋* 96lust^{%99UNRvaMܽo ammi$em4D6DD\nA%$$#}۷/ݕr99JMն[oT޲E"KTaP+HGkŴj5TM5xƱOS-k`ۛkٝWz;{kS}F;~q|~^_|euwnE'pSupUP)V]vE+t =ZRaVdG6= *.ϼnj9:UɷbېmF_tޫgHjVS'śǕًdkkѻ_]Kv?nT>)^e=Ar1'3ԔILyD?:-^in):{7.؂\.:V }#뺾.3r̸*xbFM aȵz 6SQ:ײj[ 8nn iFMw rR"5M5I旘35f^j='j:nNW.ʭocZvZKV^ɚJ.cM1ZI7E'6rg탸5oZ=[m Z`\hbMUR١Ȗĉ):Jin!_7Dй+f̷eKҷvͨBPR(V`y6tw*MRΝcB.ڭTnc;P$8nFvm4(D(R#R-L -2:FP lxZKQc6I("Km%$E, 78uXIFA$RQI$JbInG]c[ֹ:ZM+n^')JmJMJRu{e)7jQDw~%yQl}BZujSSf۩QZ+Dzhd5o%BIc'GZ?}΍:>Ɵivז-%݌J5MqGWTVʦh݇ܟ~Օ_6 n'{3~mϬj'J11OȻn߃r Qr\3y٘+WӍ'WxEs^O3 o~[|7>]]H9݇ZomT@]?5B:Z߂'`V_+/MSKX߆ޠk3?o7y:4R/7þ] iG߬aBRU&?r&/} cQߥGj2?C5Yśe7hU=?+ x龳f-܈czW^7p%-(\D4h{UK&ӡn^m]Fݢ:`δvj俜F+) y[{{ 7 tu>gvrěOj'5 iRg[ͶFjGe n~qT$ci ۚ0oԹc*jL[sVWqj\ݻ&6"WoK:cnWmrv)o>66(F>=W^bf#c zzʞtپy%mՉPël e}J.\Zk4ttt>oEM=q)hJjI=ͥ(%]脼_88ф;͛gWG;Cw~˘$4=uWdĜTثNDkiQL9U*O"4XP`02,Ge-k5$h>ܼ]3vr6!9RQPIVSnM(ۓ{>;/Qͱv{3&-[rc)ܚI$n{Sv3[j00)-D3z}MRzVQпj,T[uVs0\}Sid;r(ݝJ>æʺL&c[jPK0~d(FKÝW\m]GTcF|Iׁ)I3~#oX%vҦEݑؼ5Żv2qAZTE^..M{ʐfȏ2##.R}*KʛZz^ӞN*lPťLf\G6[WVQquV]XAi)5J!,$iJ6o$tPZc;Kjx_n3`qIelV~vLy{fn匋Ѿn%;zV.n'-ұdd2߽1bZksPe3TI9)$ԩIN9Vơ\=2885N\ p)/a柛w9g_lױo8ݷ iixJV& ғRi{N^_oAŮE6Y7I$Nk$|Q)-*4Z)^¸%4Qm [I%.c-OV+C֧R#%ѨCe3i;w$G+_dy| Fzj$DI(=OA gj%v/]8qԯNIS*֩',Q%\44ZZ%D|Ǧʴ6&vֵI$%8(ԬƾS&#Z. }6z?b/|Jl{ץv&mpx4Z$”ڝ4-H%dGKfM:sKSRWeJAn]>s6应-W9'H]'uȫYvgK^\czp|My\鏩w/ËQ.)]\QiS`8uL뚛̸=J"ܻi\å'-)54Ue]:K\퓡vK xwBqrH\*֕TnzC.mT=t-H]SČ~Nu╏NÅ3f|͡G~B+Xm[Q7U{9"~jgK Zoʰ7"qJ,ekSeNGgϳ] ^.6:s}_,%eRg<5⿨z{ZPun#jRІ.6g T.!]xa c#jN$Zpl̋H WZu8WmMRýsĮ?Mco~sx TU҆Q :KDG4n42.<3/'^?6/ܠڒ^yrrÿr2\D}}B]^E~^T cɛ7϶Y[<֞[7d}2%QPqOLEQR\CIsj1?\}%tJ0e~ *sk"*)&ۓEi#{1J8Hrt|'ܝRr8)=ƔN'RVz:cf]F7bZyZUȘ4x8,#JG̒?.W9XnO]KO]%]ƻ O5Γ/3qÓj؍/r̺rƵ 5\&m6h.xoeX[=<3%< lZ"2h\Z[&jW3ejm?k&[]ųj+{N{66leu_+lj]q* 7g*knأYv= q ەdxЬZ|%GUrQ3jLŒqET]1% qkXYūYc[7Ś]QY\jko\</Lc7+'hMSUc6qXyؙ~6#ѯv.0$BQi5YyIhɍiy=KD!n3Vm[V%W-B%swa97ajۗ m+9~]fKq|Ddaˑ0A]_v޺mM5* F-BYHJ5}q>ʉ.6hyDmpD׬'-_v5;5[8K[viJ.3dR:oYHHh9I7:۽fi+wm^ [)odPѱ52CZUJicSw\&_s0uBȍh32džzQflcd^m|7GѹE!fO5]]H9݇ZomT@]?5B:Z߂'`V_+/MSKX߆ޠk3?o7y:4R/7þ] iG߬aBRU&?r&/} cQߥGj2?C5Yśe7hU=?+ x龳f-܈czW^7p%5|Y:SJE\U-(a_cƣUǽXXKiȞNlmۊڭڄR!**ܤMeȽ$|X5(Ź\rJ~ܮ]>'HB0cp XFr_c?f?7<ukSgov¥iG>>䙗i.+t+bOjIܶ . i^:nm}s}(3>NZ$2Qg([".>i.ƾ)B̋M8+"- >eE6DݥJnJˣt׻ 5.˅nJGwZD~!i۶a,Db3ZQ3O#KO5/֍ozuK'GbRi᝘NV_ҝcvם ZoX}F6z 7e5_e:ۓj=AB+iܔERadMBq*ԯ DwI/Gy*mĥiRKg6skY/#SN4e$-yXM YL?^ĸNNӪ{$r1JJRSLO]Aqm>V/s[~i/j+m>z}eI"Qvp]{ZԼ:{vPAG2=T͡@ڐ#u"E*>C;o$~C#_d/HBq^YRٽzIKbOm\~żjFFGdiQ(*/i*#.FF]©m=BmpQQQSP&Ҫ!T&^>:y)$ˑÐFčI Bӡ-t!bM WҦŶ'UZ=}zvn~oT/\ǒ'nr8 AJIӆz<^uߖ4eFC1i+v!3qNyߕni?4JZlmYFXFۼO0B\m[ tʄU3s"Sr(NJ;SKW72L4̏BVdf^Ҹj\]ȱ۪(ӷm?J-KEmWڽ^4<8qu%9pŹW~877ܾeVгS(յe^C]yX͹! םm4FGȋ\y'Z FX7e)|Gjt߹#gb\ŧq_([R8[qU$Z (ʻezV2V!iQ,i$JE˂٩ a(GK'O{vnBvryRd-RK4=qxZJMl_CuuIz @Rt㮽޳!|68\-l[џ84-2Pu" RJ_^OL>G1~XnBŬw6J0*Uvlږ1N G1q9IUm*'oWu][&UyYZbBZRZNfEJf"+2nF~Eû7n1xv.RUM$6 lAxSQJ&n5ܞwlEói"#>4׿Q.nEq7Oko[1wg8ZQwZYiqtm&~">Bo?w͡ni2峋NCEy Ҕ+%ZJ ʩq*fpˤl,~^Mχk1+:ݕ z&Y`KLӪУDr3[*Z :(SL&ݻ۬Vqsyԭs x|iI߽zZrg.:mp%6ԜvgmpIUt;QbS.Է) ǨKSV,*lڌ|5Jt3#NP.=+OZ~/G سIgbꥹJnl_DUM\iM!֔wVZuԺ,yV.Q>f v:݇WiaŸN5Ҕ[M7SsrvǣrMW= \8ZW-jsnڕ.ZnF2qt ً[ٻޘY۷Zm"Jxr&NAfA-݌to9s359݆mZ+N1-qS$D=17 x׵+%_ ve4ir6Z$FDڗnFtOr'7'{9C˨ꤡaYoace{Refnft RR"4%ʌm:Sj3)OdInTO>X'vxV#jܮw9Fog;5.~Y5\~18YQܹvj4+~t7S ﬕs %^۵ڴDZV69R^Y+rj$ԇoJKR5wB9C>Y:l+EǎS{ʲ{T6Wi* ^^9k/y/Cs\g*qڵgn4T8mERr|Ti+iPe;;.i\EBEJ 丬i9ɧM-ԼsGDrZ>r#R>~X9y4b棇9JwV۔%m(b[Tjvl}۩~nDԺ{Zo-YuK1vx.nWuO+jN [ٮ0%"΢CdTJK-RަH"$I(*ve &҉FzB,_Vpqp9m8werv')E;o&QE׵^d9˦j\_,ڵugZȻ̧8k+jK{wmr@3ӭ2 wFkzFVqs1؛.v'I%$[iT]D5Dl2 nk7qUxԫLS+sا3/ΖeZYK<["%-g/kRs:f3;*E ت wJ%)5&+&rw*霣i|sMҴ|;R+fm䡩.!**dӶ-6s6,]zAXMWjmnz%SJߴm2UXw7MQ%<!tKys#P,W>s;3IYwx<+i_\\\U6 u7P|xbn_k&ӓVOe䦒 VUr,-㘘"-LZeOSҠթrEvq8Kf%5%&K"#%vD/.ZYYŏ+p$nZkvއuW9㓱Z G wYIFyf)?ƎUm5ԉ/'k84{KO:rQI}XRuԪ|*lu)3qZ[mSm5R3".Xcَ5c®ࢫI*۳~wRϿQWޝ(EJrri&ۥ^ʶ齲Im|[yb;mnm֩uiܘq>E+Ikx߄3r33-5𹻖09ϖ9[Tz~mr5NsWl$oPusޛ^{Z;);sڹf\3oٹZmԉ/'k84{NO:rQIBø8Bݱ3n֤DiK4u& ofSȒܩx<˘|N0Fչ]qsp"}! QWw@t4ӭ+cO5%]'*{eM߲DRO1y*q8w++e!c߶ܪlZWّM欼 CQ̼빶lX{vib/V/ ai;x6~]+z]MWB>re-:lgk}պ!#9?%܋V-c[z!W?c7YNm/jRr[HOzԻefճ0q15Zp#rkQQ0tU-AmڵP/cȕ?0cZYj;:0ZM=D6g ?'UN+ձ[K ܖB2'xq9{|۫N0ku 7xaj;n\ 2[VznMlWiKbSk))f..)Km)&bGZ=>OR܍W:j'rM'wYz&/鶧{Sʵb"vջq[I-ՌZH._x*BagC'T(Q:$ͳQcMCKy?3g'ߝqnT);qs #ؤZ}OOI:cfnc8W~qy.;^pVl]Hԓ>^H^@7-AA܃nmL(uWܻS߿ Td95Bdh4t6*dDh!EhI[iŨ\L.&Nc ܮf^;$R)\rip9I|ٺ?#R.ZDZ;/]nݻqs\QE9M&Bd ]N mN*D>tgbK>+ˏ.!23]BȔR1ɝ^j'k2ƮqBQq[$di]icV/e`޵B.FIIJqbi>Ӥ|p; 6${)RU>_e}^dzdfzi %ekRVUS?6'hׂ)5.\+qUgzE2C˷ecŏ^֔ibk shesFWJ#~> Wk~ݨ}ڶ>ơǚ)׽ZƉo~B-ڼrvoE:Ʃ3ۣK7+Y`WirS):{>ڛ}:wԨ(J_";6R%[u&ƫdZ_\'np| RJwNeTW,=rrbnkڄ[M3ܴz)3- R.?:okۼ0TU'w{6&w7j1z3ON'fGoO?)S_bQ_¿R(^ԴԴG.EtMڇ&RUiW uQjU> Kiu1d<ѥIQ'RQ1:O/lŗᏩiʂv&Jc{D5 Tt)1.n[n۶X}RjqnOʽ(~[Ns{ސ⛌uO,kgo֢dRNQȄ .'6W!׌P朼tdZjFGE"]K@'i۪N;sI[{SOzk>`rRR+!σj8&TjlvA̷Q?HyjyLHNտJMjܶT۽lG?SnKN%<‘ nq[N0Sq[Ta(&t(|HGO~gvkݻTR4&Z$#ViOY1r$6YF?e4U/Mvxų:zbU^gQQ+NW_'4jfz^c'#`rvrڡ(IJ/J ݦ6 ]-CW |_{v*_q3^DZ}Ic6Uڌ8p7{crZq5ki`)mU6|-Z5^iEz3P=:Cu7DF'k%}<C-޹ֲ̱#\,(f88%X-N(ck0VLR~} G"-8ӏ/ϰKq?(#nrVTmZ;zióM4 m |UT'C^_1X.gXM{%ʤd 4\ovN":"y-,T)fLQgۢr=/CƹǨJVr[a+!rT|%Y\ٱzsS>jͱ.oOc6f$q% ǒGo;n[];ߎjrk{~\VۓNIGn:iqxo |~t5)Rxעri{Vi&NUOl_ѮMfsޕkЄay.0P{7N((BaIP$ K"U6Gl ݙqJRu+qN$ m#*p<|{:>-Ev=86N*MM긭U*uѾ?/^o7;'u,h4݌xښRM:5.(/ \իU.{F^rmF-Jɷ.>Q"[4xT^OZ~mK}T0ݛ^SAo9u?lX(' qj%=X}"^e4wˠ|rܫ 6I\Ķ;Ӻw!'ڍWg{ i U_9Avhۣƾ+:vs/MK[ɭīe{`Zgb}r[i'GE2J7Nez579wRq+Un ]J.cJ4M:h箽Wxxm^ pc\wcN%'My $$| :$Fqɏ¾^қP9J6Wxvu}ݵP>Z'FFdg"-; [¢cmWkÎT8nG%ݣ7*\խCLRYZͤiD&J#'ehbSyXK|y*ӞpS̍R`[pTr/Eg)K+92{_ n3zwz'oŸۤ+sOj J:`T>Cf*lwd\fYOP"R E֢̔L4ɥ :;.b(B02rJ蠟9>V'9M%)IqnhP<%,r'P/vNSwr#w"ݨaqc(|{kd=^0jTMR2ULNz|.<|^PfY22##!,K~E BEJۜ&jRNsHަޛg\r,v؜.jK3)[EJ2ii{KEiHP^&]Gn8x=K}Wx/KI9-ϵwQ%spܾ[^R}S3$qvq8M[ ozKxcqmJ/ӿ{_}7&ݨ\f6ZSyQz& 7ۉ[8~UNn|nkiTB+4RI8'Nc%tn{!]Ȋo.nEmʱn𵵥J A+wy#+ikǒڂ;՛s85'KmE:Ђu""Iģ5p=БbTY-ͽڔ詻ngL2Q}$de# fs^o{DUUsfwӶ;s1T,ǤtޒQ\෼J=.tKU,7čJ5 N$y3kdSMQU~mO[03 $zAڟsF5^뜞"Կ QHmrR"ӳηer+ҔZ]hE-6Jmt'ޒ=O[sQj)6K}?e4v_KfZheޓ=BV[bY}lݒTTЬ{ȫvO_qpRApVŗ 6ju=*BR)g "O1yhb=tqJ gtm\b3RY+JQ^Ō֍\յ\>+uSi{=x ^w;uӘ#ĸzLn*$anok߷CBӷ}5Yqvdž<( "_OWit5:EZj2 B ρ1̊fi[n!HQF82q1牙nqnEpT(2RMoM4ϳOu ':֧_Xjsg jP^(ڙ{2%E͖j^}ZU[Q$'U) <܂%!s"m R'G5M0<+zM6qYm$ڕ$3ǧH]?o2N<8F1̻r_my[Rf59NjpzBnl7*{.QP 3N&^BLJPjAHCK2Q}$#~YMq8 k(MFMU)8MEqTy+Tʞ-ar5yܕOXw!e;q-Jqܶ䓊Y:LC UE{/t>r"lI9)3KJjϤA 6SEE$d߇3KG*En|P\ԭTn6I-ƍKTj<1H_zwGr19wF N8ݝ+a9ɫM6mhePi%mmD! """"""*1bRKrD"vnrM۫mmĽm]ӡiG~e"˩ lhRTMk^MX["Jݱk7_ޕ*DqĒ&flՒ}`W}~SմZ{ĕ~wm*/{{ѹ_-0ط#P]xlڱ~Tn5wi*lڪ (JxioϏbqKYR|!|KN53 OS222$jzww%i}>N)E+rۥ7c$Ofl/LNث\6H9: FY󡈾I)fB֔JI_ ֣^: 9mY{66㒢7Uj]:.-os[R&gMF3˸#໹kmjq^8W"PΦURjʄWa˧T!͋ lW48JB2ko+ /Nw QwQzQ ے%$ޓ7^YL|r7!v%Trܥ &|M8~ybrn[RV gSn{{*#2#ԽᢏӴHak" ӌcwҜw&RJ07ױ>Ļ =^ BɆ)v32.M1=#6%̠tҤnzqMwԣ~s*%-j|_m*.Yx9Sz=)qE4 3pk+,`=kNRڥ=B=nŔNAx)Q$ԩȧ4z3t#Z2lҮYn$S%y- JzGpu|LBV7ZW#;Wwipܷ%(6jFG5#{$D"uۭ~]֫SrD܃fҎӾ+Tu>-ZTQ& N|$沸ii>eRWݳu'[O̻j8JۻEѩ[]vni= ڒ,[_%kC7I3Nv$4ɎЈeٸoUu:[}Do5|zNq=Tre%ɧ6&~DȍF]ƞG5q m]/w/ \ʲr8=oʔe9U(W"|S]uZd#?Se[W"ֿh][-7Nu:T=)R}.;ml*5Dlf $fF(̏T hiIUU4Szɕ t(%_|2 ~6eM;TƗK[f&]LK^CE2[ȏBOd;Mi|cx,^6;sیGpQ\NuJIFTJ~đArh* B"$H쉩eXPRj?sl"ԥ)su]xpԴY%VESH"ЋJǰ K&5^Ukzׄ8kEgS2h&Se\ Yl]WҶp-ZUvi7QS:4byqOo+[̺腋[6-_Fo.6[7$p&^ _GZԸߍkc.qqoI[9m߸YxOZЦ1uoiSH)P9Uʄjcq= S>֙NeR><;+ڌk%_qT].srNO?s[=vH[]RZHRMtᩗVؾ:/~u)ԍdg%=edVrISb{6vSu=(ܥ)mTv/J}̇8 S3ad:^hBSf؉OɔLhI_1d8,L><_A0y3rXq"'(۱;mFNII.v5_(^q~X>y{3צ I*Vܛv/jW' T'NR'j%ꔩ:mJ3SB}΋!-H-RJBТQoedi9tjENenPpke.%4]#{:>mkEɱdYWl\\\'nRM4&U>?Ќˉk÷!𴪛]]5}UqG~ݏI"O~s6(Ļ)qO~h}uԕd}Q~G,oE!&G&/]_H-O=o{k\̭bkv.Ô܈+;arZx)m?M\3lU$mk-CFXjTv6u' g:Vn_*qk:VC A%'4JV%EY)#BғO4<e׿jQQ]yUr4=wm[K1r׵%Iũ-O}|kC;/VcݩWZ)EHdžTru]8hgĵ-;=>U_ InvTm_jBM+QiF"9*{DI/iuo(=TzϖmPQl_v4z>T*ȴ>YF;ε\t]EH4ꌇ[VrLzef 2T^V>g2~kg5~Nק;{~Z~W}&ŒBӿS2$J?~(Yœ"˲ߩ\O]: J׉ښT{mmIѩn3˧)4LdFZ/zUG>U> n 5& ϴ-KJi2o]uKljvK3$bԔҚV旧iY5.ίfi96v7!v))FJM4{jG~Jt/lUE%pTAFe4qQk\ve۽/u/Im+W')v{\-E|Pms7߮DZRr۞/mu*1ՙaB܆ -xg3#6ۥtRogʌU)׎]ZҞNnŞr}F1Nnޞ;cZ{N}ۿMiuxʉ*3qi'9KHQ$WJxXyرŔe~[v5~/jN9Q4o6rJv FrdxM*iRjMzUinHdн7ᾞS=S'7 } ̽zt7K|_g J=Lq+/Bw_\ۧx\HJUPzQ<hqF[V0x==CsU7q|^ {)Iq38$_A(VgcKu06Ƅ"%i~_ˉk QCܣB8Ku/񋇵u([w}$F|8TՠI.E !;RJ^}MɒD_q2];Ɖ{5}*n7nEInO{Mwv}&q+v [V}Ĝ@%>#dXQ$f;iep.GquixVt x6bj͵mlKقQ[T]zs/&yەnM'W}!Fp_d^Tu N{ɻ'l{խ2.sTu{W^H&;1s)Pӛ6>$mě;Łnj= fLT)>׸+qReɴ[UR\L*P/!$Ӊ3Q 'K=m~6XqW3^W+ųO_[F$rR*u"T%@O +%# ]˽!aܽz{ͷvQh쩎]hGތ5ɇ*DzJDRNLi 4:{~2FmXY-zzĽ^f=]uū{/+&c:Ma{ĝDp2m܍kHș/(--m_vݮK(V{R}.k&yƴ7i^4@3f sK3^Ř˸B=]?gt5KbZB<e;kQLpxuWC}n 5ҴepB##~q= `x]KWF {GfŲ}?G.I9pjWkU]>={7q{kO/^I3==f1ɏ%nnʫ/Zu_yXN<57ۍ'vy/"8넭M2eԷ&Y,в33%IkjMr7xf nmQkX4踼>a-GcIeތw&U=-:qnW)z¥j :WqSZvԒ#j"KrIU)%qrmRoDGQ~SYRsu*V)  ,/x)MFD6O#]z 96[Ui(JRfw'y$GeUީkdMF-ݻ98F2d[o{Rn0n-xsV6Dh|Eb2E:KCOӪv4SJCr"J!!m,hRLD| ZYFm/X~ΧfrN&4Ƒ=Z9Mh.Mܵw/BdrܥniŪ8ɧ|y%œ[M=_tj?F!z5\evM:\ ~F-sg钬OWq“iiȍ<Gi%%n2rqͻllƑ)okw7}\Uk-:&fj솘XerV9yZuʼşdFC=rmo%~ZN78X(N)_7.Εn1MpJ}62jjJdI";R5&iLԸc:jmqiQj$ujp\{;v5B񥍪Xn Ą4qOERjzN(Ga٠䌡)p*v(J7#ZۻZ8O W uONb+^Qipv9GvֽƼϯrYƖKGJQDNPhRJjᡧC"21"9ѓS1;R_O7/WGz)8fE%F2ukmvSov/iZ&/]~KmI[:^~ͤ\kMi稜\ywJt3W7 8Ʒ~ݥeFgѼw"8VVSج\뻆}ݭ/J6Q)d|)zU3>k\L=;ow֯gN3pKѫ|wmkZ$z^2R:E)f>ς нd|#׆?\ǔpV{;\$ƵE%-ͪm0S6[n< kE[}mvE4DDZ^$OZ0*$~XUv҅B@^?]so#%ojw;Y#SxxueBگy v^i-)s)zV jC{7Gt.w3v,ygg8s]aE_,*E tY5k٨h=o"m泏:\6w噓aiL׎n^c\75AGkЯ0Lf46َ`egZ˓p/k;̛]kq!ݸzpԭG"}R9Ve>ˏHUjJ-&7nrnwG*Xv\˱/vN}O)ʼn&CV͍f̵]r\PMB-6Du-#RͰtRN^)mT _}nSȕC*_xBuTkJW[`ɩ`ejvsngP ڻ.-WUtܑqԹQj)t;vN&RNũT+8%IXӃ5fK՛-d9 ]CƑm|nZ-6=Hz,*aEm W3VzRšdY~Xf׀Xx"]s;)5u*ُHB BRGS6bݶؿ 9j[1*jױga7oX CUI%0v#~\-O-Ꙛuɷ쏪&5mY٦M`LJ2qK~HZbr =N'YobI. (^ ׾{_ ?OJ`S`3BN[}5w6:ǵ/iSlt=4F*d&T4y/#. ɵim5Uֲf 眕6Y7 fơ=3dϕq뚩$qTM-%r!$@A? ޾V0c~{[{;򥧅a~ڵ»&ڄv1ek=wb MLkNAԬw-x>~/r=e73VeVN)K%Sښe"+3uXuچrn ֺVzscJ峻m}vb㶓n\YbIUBT%*,0nov=;z꣓S/nSXSpl##k9mXGrZv^Gde!ŷRԠzQyjC]`gToPov{j~KRBMY}i[߶9KL2ԉO0K#m>wB[ٍ+n[[b٦DX ݲpo] [\m5qdT()mo4Oy9Ie b][wղmM~vmi۱~t \}$яimRk(L c Cvk7r9_r1 ;zv|F@KyZ[&jEji/"6$69ml#e]9s\{ScL}Ȣؿ0q/nZ*t,CLoD߉Njǚy=Pgmu6^]l-["çUʖMlʍp-"qmU>۷uFOJ%Ǔkx 'g=睋k[3u,{³WɘݪF]ՍeFX"Oy\,cچ=w/gn Ļ]#2? vqy-gXnR.^}ݺFs{ŝG]}e|#0mjx"ƬWكm?rgU^xVB":Dt>@LRbun~ݭ,w+v⪕;\U(RYa61>#Jm˞Μ9g9XKaG='u8gf}'qy#ɉw J]We.ʲ-<+&q%s?2dњztҼn`cΤmmqMdz O[-ߩӲ&;[tmܝVnr">{x<8U+p:Ig]zjGkt,uzf}dؠoJaکqEq -(:d<պ=eKy[˗^%ZXkX[C2߱\ITTLGzANM￵i]K>UsOGDDD.ZF6* ҃V Zhz{'xp^`wo8r0h ZmJ5"jb[l=yUu7-;7IT%:jFjߖm0tzU'K)څNۧYJ)4IQ}^KWm7kSP>q;ނ#)'n7&׊r?óM{IwR\j2Qn[v pe#/tAF\ϵ225q֒om6z})6҅*oqDsMf CNIN=T S2t,_ѧ}kveMF0J\Rnnݙܹy[rUc-j{yGtkQ%s]5qB.Nw.JN1LvR Ui5J ZESQԙr):MJ+g}χ!2;q([jAud][ljVK3$ײSJI=/|&tl'*n۽f.frܥ jQO8>&Z];.|7T/C}$ڋUmP2Reҭ8hFF\L 3~e v\۫]ݝNmrnB%*]Z«hKc=BTLG :V74$=Ǘy+EX'4tn(I:Ѝ;Df8c,k1%dJ6.j6ź{N~l6&*fœI7 WAlGOu-ҢH,,(ǔe뿋쩨kM܍ZſgRvQ' 9)?n|er˭|I|-fGK.rΛp8XV1%K6mvG+tc+qE&ǸC_Nm:l=_/m5^[dߌڇ.c<%:)tQ$Ow~-aY;UJ>=F)2[nk؆?훐M=l6[4(O.]2#-H^n#->&mp5~Fӛ+|| S,xag%qkEUzUgæBhߕP(7]kFnq?֖CpruZ6*rEڊtS|*tI*E}7R<,nUU֫^I7Q*mSly%rdȓd8hE<9oHhMfNSRj[i7D[Rj݊+kდq{"$$H?p\̅S?㭻;t~R߁)^/>Qj`yt[w ԛ;²~+ߔ_ YW~|o]?x^ᯛ `ʼn;g)T@vWn]>&4lp+$D̢1l|ȨF%-}.9[}w~ ԠLM9hСablfe&QoW!s?wjLK?s7yO>(=C~_nyǜu?v3vyo oI@qV-jeES^[9WoSܝh"l2C1a͔CiJ@3:Pճw=/7ovuk+\V;lDgն<[A+rX~d;m!_s8ݖ׷;;.0llUC+?i#_crʙ1~C.\–q ul8Hܶ2m`ܻM3Tov|Bs rɵ"oLS- DКw=Tv@f'6|YlD͓Y%׵-#Ѯo%:&!3o%\J<02;K87>^vgƓ# ;ݝmz^Y6=PS39U%~ &f# }o!muH;ʲŇ˷yvP+&.7e[3'vR4Yj̗IZ`e˽3o[WU{ m[sUbۋZǾۆl6~9'V*.\S2<Sd*zY[aŶ`]C$n.v^Ʌ dng>ەZ,Mmϑ :n6nϦezWqUJ4! ۇ4R! =>>Fn|Q[{pRO17ƕ~._I''00k=b՛o}Osðc2'o\3}ݭQ^2 . R1yKȣtAݿ-uܾw!`?1Whn|gzUo[ECWwjUIן)^h#1ɭ!/Z np;o;ΗŻkXs."6E`Z1 עӐ9Kl8qd q} 2Stt;#j>;խabONŗ=fwP1j)l6J̶|gV2`y/0E˛6+ԫ1? 6}KW c\KoKͨ2ۅFw–s*TԞLיuDx .kCzWXhy۶gLu|%TnupǺl-S* PRaLnT+c+*xl.v!.U=|; !_L̎뱚U=4hm:ٯ"y)$:>%(n}X'p[ȴ ^˒4kƓmzDx \ 'NqamP7nyN݅=j7%McSڵj%STy qXymvCg{w/w=wSW5r̹u erծˊsOm=DhEҚRb#n)QOxtվQwe]I}wCa'"[ۂ-z}2UuKP$㜉ԧ:mc<Ý>RoL?wu|%ҷ&K y_!y9 ??:tq3(UU-lkS'ɸ@jdzQˬR] EVPW1DJq2n:,c|ǻ̑;y{X,ۂ.u.b˕u.tKBjQ"[S園S`ٮdNبeJ&9Ơ ~0a(Vm٘L+Jr*vڑE( x0+tp˕ n';wm-ޜMOxX>{#2%jgb2M[`K*\5@8l'e=0u+w ֘鳾{y܀:R*Ya]"Ӧ%ktynlۣ65,3gU}{GYrb;ge'TKwǘ.,rpܚV]Tr,!dp /ԺU,xՉ>s׽~W5oTh yx?xrrx?)?ilbT׬,z$Ԏ.UH٠\U1pU:]JwSrGZq8àd驐,N67QYBӢD㏙W!Q25ϸo9ms-7-%3CihO.J鯽-;MZM8ku-7k9S$8]q2E(}bۏI[DKOK}3KUB^u %Y,u.-&f#]'܆o$x`Yu,dzwM;#oKxn;\[d7}Rb+*Y䛂ZuBӱl{j0O̓}LhK;[aֶaGL{Cb#S.T[>߃F]NK"u^LUʐ_ykW?!GRj29͖qa'0[npcDvV)qz9R)PۨM^aJx W] r>];eN3vxdmĘ(5W2K1䪖weF{mE/QP6\u54x5[hۮ-Nk”i[lUgL]J}5 S:EhiUrgHl!ŒJ$pe=q^b͵Q' ?6|R\,JA ڵ"TDꈭ:ymg`B5t%M] <N_zv2_Ortٵ/i/ReӮ*7[qүqEG* m"[I:6e^p"I$jԴęh!m)]GZkcjS!{e^z}+Cѥ9;R|/ֱeiUԏCNu2Zhcٗg$ݭwvr P8*7/Lk~I'Km1+MW%Bk|oOm>-#qj*|Dbѱkn|n{v#jĮqNpMIUm(7Liz;{ҜݞڝVƚVϬ+sO!OstGvxӉ']uӎ4g_ 1^-8ۦ k!)Ύ5O;YSB#2Zzχ;<.ֵOtge~.(RC#wFZeGZٸ6FFJ4e2ˇpJT$[wgV)q6muDGJ56q\I!̗ y/I~RtJ9kJ]Iy*'FN0s.[l!fw'y(7$œ WƫgyΙdMEU JQJv̋vmrۖ.jWR_M֨djYgSj0^\y'EoECjm$ IƩK>Z28J2TiJ2N#}.s cArl嫶nB.FIJ.)۔\ZiM>/hLĸ=C1s[?YMqp|94- 鮝𦔽/k^#NT(Y LS$6˩}{;5 )B۷W$qpN)qqoot}ZDVә;7TiK|6f3h$dԄ}fqݡ>Nb򗉉+ͶO]>ߡ_VtYf79ڰիF sq~prս|QM)g%l0ocJȨHz V;Bb/kLAcfPJ,ԭ{ƍgpjNR6VSI*$!yV足jᇑ.](EܣqM\qJ2eZT).<9UB/(B0j)mtKEj#׿fDI-=rZړj|'Nڤ]k*i$5qt"ݙPM6E4ke^Z8ۏhz$Q(R Ay2zfRñnpnkbkI:=j &ΝșW?׵d{+ύM'??XqeeĽ.[o=UxFS=ӷdZwenՄ]_X=ĭVa* pKs0ބۍfJ3 gz̚i|wnxtjc¼5${(1fXQ65ȼb̶Zkn>%FQMJXӡ{TZEVNᖣimT/37cNJUPnP҂ZOE~"-Rc4^b- FEͧtf5[)S!OZIښݲ͑;tvܡ+N)AR=hCNn;wL16-:特7M$=Tҕ-.R[HٷnXk sn[ҞD-0WS9p9:-Ϸ-jѬNu{ҹfv)[Ľvwfg(ٷfe+0mYj8Q1\ݧg]Eǎvڿc!4#j5̋C2"}BRriFp7=ô\TZ:\BLfj#I22װ<;صZl j 6:l"6]۸ K'6RTѯ^ئOԓV\?$x7s#r:Oh{ց=MmuHԷd{pN /܅:UE#Yy+(SgQ(Щ)RHzw>^Ѿݻ>mK&^ '$Jۻ&w%F|xfz%˳ L~3N?Cy9 v w/{ƿ kz3x> sXv}vP"@WyC z`'톽Dw%-tt yVY\wmuPYQA0iG-2JP,6/gˢ]u.-n!Zw.N7Q]Df}Q0({a\@=i_X7gFǘ8^⻲}G MZ1)WEfO12G+=-B@z\`||w6ċj߬m}UwRox֢I &c~XGP6Qndpvܻul'V7^FJt^{b^B(L~sѣ6@߿^xqU!ڙ5|Vpvef-uӥ^3  FSDɯKD%0r}FF穛r7 +o"V8tv̖NQU!5uFd"bCr^bJ=֤fM#ʳԷP0O-9xRBm\=`r-:;~3Tl(nXtXi%2Vٛ#vwqƴ`L@"H‹qW.j,JM5B[)WܺUeZFqc'V˷1W7V̾-MHФwn8N;HPSdݷC7&2j.W\τGŎ'Vb]c.x+Rx1%C2T{myg[qU|+m:M:շ8҉yWd)ՋWS%%:iqlʹmGwݹ WnNŤѩ5(9hTٵDdGUi-)vSs2 2{OnT$Xck n:¶(lASLeȔBjμPpTb2~N2~%^k[ܗ[Jzs0ӓHBKq[}JَA-$dFQgjxxFv4r/x*Rm% `4J(&iv7SkԲmSH1YWmx 8n.k']:Z˭_W >ڃXЩ. jTq%Aā[E}amc]D:rmHRiu:uӚӢ\p(5-q%e)(۬ҖȽIf<߽pr&ݫVfY91q2ĭEQgYbTGQ&,yL+N$[q*RVۉQ=FuTܻ>f>f㋳8N6$܌n)9&»iˤsX,݅܍ȩv+sRTpO}d?Wn/Inpȸ%O]StQO|v5\}7Zwb.AIVK^:wb{[uݯcytO߶S<{8KSRׁH̏N7ۚ[xkwYy_'ZӵF+>쌛ZUĦreE9F[24De{}@:ExWs-\ǻ7K-\JNvEk%:s˙#κ].oͳ;լ7wB6nwu:$L; DkI#Wz.:Xp(˅v$Sq,wn\qIN-e<5Oe+vuYTpcojUI_ާP8 O 7&VL8z$_B-H-[uh]T{|8=qVRN-:Ij:7PUtXϷmy鉿:RIM~33ӸS2#׳GdŲ5+/Bx{(WzȨ5Y㞎#|˖+ ط.|e<o/rߔX>7s}VE.OVti׽ .5nNJO"95{#q}Ay9do]R"M6z\tnNS-D!@3N_jicWsy*5uٮRcWv/.,j}=S)j5C^> Ie =gu9ӛqjtz]۪TMoߧI!Ǧ¶m:,"[L!{qAv-o 3{"KʼnrIkfٶj2ƙ؄S`7` k6jzޞ?e5G&6uʷ2%ԒRKE*G\Npom F/V |C0.q_eenƣ<5Oh'67ɪn[SĽ{ڔjǘzs;~׌(ۂ`ܢ1ƣ` _l9Va6%UQWh~P~\F^ZHR@:ۧCJ{ôGeBh;~ۧnU J\O+n2 RҠ)ng}Kh{5+S×ܛ.1ZjG)iRȤIN 4%{oΜ/eO[Nffd ĹK?nnԼMqX'܌nZvq<ķbFnͪaQ`5 s,M_լ?-@_{w{ӺձJ}GF[%v\5[ŒGkOw/ΜM9rjË%2+rd~+󲕛C9U۳r[aJǭm|˒LAʨSCq[XMۺoubfp:t+ΤĻo ][ zt-*67kvS7D·MMCQXm;)܎n_h%]4ܙnRk!]ڵsDUF"`R, &#R_*[z*ZqFXɻ]7|۵w+'pFDەs=r./ᐚm3Hשy yD"jHCr':sA65نѮ^o1V/ f;nFr3VM)e*- s D'H݅fӧ\*޷[k<7u<-]֍Q8R h|p=WlW3s%Q %3l}@U-K6f-NϿu|ڴmWN׮[׸F*mW\%r! C78:޳vBG7ŵ.JթԚ2x)ST!řn~9 W:Wpܢ件{xf8ٳwKE ҰWxVB\qBZ 2wMb[lGSnyԚ~z9ZmያvoN2Afnݽjf>)j3 !;gOYʹK" Wftڎ+׭b*2ϻK>ۢӱeyԪXISUm[z+ugX%0lϏnvg!;t{BqPj>PyvR7Cj]O%+ݲ :qiMj6W}3vC/R=4Som]ŗ=ю, TF6U_-\6MyskwMr&Q\wjKܩyMϣUj0*}RZܷSdY3>Zjqj6TgzpA/M`/Cmл,޻feE[/+uk^Vs1W$G(JsW2ٰu*߻q*Y޵.Wi:ur5T),=0uRmho.twܖiYwrWHntvEj8qhf`Ͻpf(R&>Ki%I7$QӖm-2 ~yߗQ-앑/ x[k8nw.c㩵k}]FkbJl:{.(˩n0Hqvαp7 귎.Gupx[N`Yq'+ruU7[ү+>!xrȫoSo]OC# d^Q]\>!ƛGw^Mx"-+%vdX-:M2UR%d>%l ioSu6lsj7D P>XxHz Ukà(n^Q V>5cVtWj SEiJdznyej[lE' 3kuٌNn4JW)gB {4 j6&]' m-(ZMEz8cz>WZ6#7+[,MR-Z!4ܓtCyE|umj1ƽvƷV\;%>Q :#Le(iVz5 4ũۤUWxX ^(ҔsլB2w-V ^R+; ˂M\z+Uwr+RWY⺧~ Q*JcYSNSλUd8in=v K낫k\IRרSUaCFmϿ5̗P|u ZTԕ}>oYѲ1sfP+sQkX8Gb~6r,s>^\,mGL+7[n-E\.Fqḕcl*Jmjb5 ,m]c}NXfeVlǸJ5eˡ$4%g~N p4Y*WwW٧<8v#;qԩTut,m"#Y D\5V`\\Lȋ];LȇiS6ϝZ l>LruR\v=ǘϔDg=ԈdFZ+M{=|,[;0>RiSi4,S5}yxw&(E7&fݙ4UՕ! ~'Id)]ǽu2K-fޭ \08Vڅ쓬=Vy^^ IhyKR-B#Ըr=]mܻӾ'*Umkoy rTqT_i,/8Q^<ݤ|4ԻO(܄"'5N~#m.(Ҿ2i6Uev&I*<}҄$eNtÛzyWJubW^iBW.܅Wڮg]irO6Ve90sgv.+sV޿aޔ[p?3q*FutUo*eL\KM'EG*ZcAFfG5J 5jj=MJ3OK:k˝'NMB7m3uFҕ\-Ywg%PRqMIyZGY9|μvn߻5cWݷa^+X֥vnݘ\v7m>Fgzv"-;Ew֝}1|RjN𿊀7g#֟*GQQ|#/bo]p$>_Un9гUbn9׃ErQBU-^vDmVh'<R[fdHT]*~}3j;nvjc7s-rӳ Y8[n[1pJx kX[Jk9Mn!_Nю6x:iZ˦U |߉^Ԛ݃hYxk &U^bwKk.[jE+P(˞=9j@snCv7%c_7=xǁ<l {t'酚+1F‹l׭:ݻILruǶkL-L(K0L1&>wXB(pm;1fpnlp֓%Skidkt(U +xulo'/ڕeN r=^pZZ:Pnj8Hf"48ijY[ N[yZٻ+=  ø:3 ?^ܷ^Sr#YK[UF?CuhC b]GM')mڏsNrܗI]ljq6VB. W,UK"YX5{c >Iqā> T:n!,5l2VzCl|+I[*SrjnS6٨y+x,@>П.g+!rn9>N|W>OZT_ut Y""v7|sfި;Pclm EùN,{'fNT%U&LfH8~1v>Il}统u6P˗c(WV~H^bMU.o*oOF0N:_:6Smr_.b+|ݶYY غF,mwjv>f*>QM뭱Sd:`N{l/⎱;n-z~"Gze퇎J5S KG9!Gn;N1 ݎ h6m|S?ɂ5'WOÞ 7|7^ao @mxGmi^jϽ>01Mf0լD3-2T. VXR"ɥV Kl J O7|u?bvа;6.eߓ|[1bmRr,eRz`z 6܎-ͨku͹Fː dPhYgZUj}nvX;z=gVեTv_J }\1n7w2J?ޘγc\E 1Aޑzq;\r]]\Y&[nsNei\uURje*Qk2CSl*xJz-xٶlm+|UjUؓ`Ladqiĩ!Gd\W~fz;Tn*PdRM&T4`չSWq5k훶(N"Ӎ% V]֦wb.nUO!u*J&Oӕ2e|Z=eV쫚΅g#+/RW:طnbi*Wyo)p{:ETKؚR(RY+r웓r(IF) VmȵNB:h Q1ғ|u8E]{,'$-TR[j49l*3"I鯴zhd>Q+\BkNF=.$ZR4Nwհ(IpNi.(Gi33#33e$FXK*NdWrud[r{xnk$v2ıh+J1TQ[#JQl[tRO]LHKٮ NӍnF񨔤֞Em'MILB"ԋ%dBŋ+p̿_17jzT~4pc Vo\ƹb9Rq-'1j;8ܗ)hE%DZKS<璸Bu*%*Yw5ڻ9ۣ^z4U; Ñk\U(o~G?VUĎ:?P?_F_Kߤ~ᓾI |pr.Ok\SklRhҪz{­P .}SktZ7UQ4ڌIM8̈eaӊJZ%FFZu,KZvln廐SNFIVtuNi?CM5]+Ph,{jN JSR$IS^tSUVrORYu.9WyP6 [Kiu m!X|]Y79ӄ)\ģ)pbڳr%*&ꑶ_-H*dzk)1 V3')UAϹٶWRxe'պn۫h7AR9 EAJeGLms!%D| A 5]/Q3eb̄vnVn%za\m kZnv([emqrIҕij|""><hjJשvvǕ|Pޟs}V~2&Z?+2N&Z4w@)4iSڪ_>/JN9Hiۏuf8'It[ȲR.hZ$ȋ_Y ~U<UUO*6b)Ovzڜj\R̋.$FsQuҊj^נ䈈y<zZIuP[}Qm=C?zN(Exqu/kn S-FzKZzOסӽjJ\)F3b!r5ٝ|;6 o=-3*λ]αb\abqRi-w޵⦪~b8Kpo)Z=>)ғ"5/GTZLE-輵f7ݘ۹~+&+w/7GFI:l33fg.N~۲\2|*cnermnnM+Fq"ѪIz%j =YW8@~gc/~?N'?)«qȸs➟n=k" X“m֮VreMh2[uݖ] *FܖN)MȐ`f0 g,C9̑o;ddudJ=In13:ݒvvdMUEJLp^,6t-@͐9'{7m{-3,>hnF;ѰM)->>+Ěz!R* :`e--m7nB\u{b U>[8֪]6^ߤLʦ\DFNo$$dͶlgno8OrsQ\l̯hRo8tuNo+ CTxu!2[>ctFpeޓƻֶR"3QrQuOѳgwQr;S~)6HhZw/GgVTmUf_yt7%$];zLWF̰xy2Ʉu!MCmš_0[W6jf#a-KLi+3Q7c^qg%s<1aYIQeZf+}>;S6L0]Yu_h9߻<ƅpmiM$AVvŚ,*#t2.8Y)-Zhshü97/#Oro"u^/uFgWɺ,p:6a,^x%$Yve^3PƗMnTP&yS}OJ '덫MH^:rXԴJۋ/rI;S*,+yz1hv)Qw^ڍJ2oL׊q(\fDj:^T%vOadɂnS}ZO)N*λdaȜkG_PIEO}нa(^iQX᯦-7^)%g'SJx(.S9zVɴZ{E ))ۅi/s7 VIV-|sj0*UBTHIqRf>FP$KqN0 R̻8j\GcC}IUz\i 6F)Q{Gҧ3qSzKj-Az VЛS-zy:8*mNk|D鿓ND2u+0Yŝ7kqm·?8Ib]u>˗^_>(]vӋzv+ݩ){vZrJ2RQ몋C$z [,pp,8mڊbR]Il .f~d/ݓs㓓mͶ{mgjQwn=Oic9ܚm4Q/6ݨ[TƧ?nԶoytf{@AzT{e{[O'ZRZt~AGD?s3􌿂ՉIw'|~U\ w~di:Kޱ)U/sU%njѩ&GSP^ǝd)..!^U` 1wX[aԇSxoFV6_扐)T 2Mfd=ۖͭiZ7KK Bi9%7@<3<ճԻU,},a}FRqɛr i@ONJvK KLN M, ʖv0n-]DwlI-X6ܶ$Jʴh5O+mOI+Ra瞠\ MG7BفjYo1#͖0V`Ѱ2M?c8>-Crt*JkIGS:e#hPKx[鱼>{5m;wcն&>j-M֥^َ) 6yȜl_w{-ō̱r> U=]iw3)r*]:K]6BdCTZ|>gf}LW}[$'Y5 &c -j.z6R 67MԷFMnÌwI7w5E}o޽+K ֵy4܌ȥW"COyR[q5Ӱ͙f[v"_#q{MV6܍3"u9BK(41ӯqˇc${ߝCi6I(OmθzҜ5k^:>Jzw.>qV8{vU[ڶEm|DžBz].KHjI]x;Mɗ{m,qZXr忇2u^RO2Z}ZێS[2Jen!*NDcrBUً4<ǼMҲs1Zw57c3&ĖڻzmP*FuJG1-dN:|OU}ҵgi2t~F^^Z.VxjvŧnNNh<:]^~NN+ge^g.SԔGFe߯'[vn'(ScJ]kܗ7eJOlRrfziݮq̋S"\*U<*W]k$FջV}? 7g#֟*GQQ|#/bo]p$>_Un9;l S VvQU%OLU{οmU6bZ1MTx%!֙Q7, J=!3 ;Q,ڌ;6ͱ݅q^&ߔ·n #WbwӖX.HtG)N&d̵zpI,n cu ޖUj+VXUp[w]N o.J6Z8Ts&utxln;~HPHS/xw`G\ʡ¿rj Z^vt"[L:SD\h0sUwR,}[x^X,R2Vn< ]2YDr[SRKs8tXb̷G?Ps Tv 3be,zVz D[/I.KOEQrm'$7|[J>r S`5յwT#\w1FTz\Ԛ &"ׅhSHrD\'r]~/>p;:Piuu:"9ő=tTaS7V2rӷk7mb[^WmPp*[y.Þ6f]cizJCgRR@UVl큝.WJP1N{/\whZ ػϧӱE7|E֫Sί.x-Y&pi%v''-x6r'Ws*6=DwwUu]=C?MK [yrtܒG$!WGqJ*%SAz ED[^)/tė/g=#Omd.|^n/sl׉g DZqemqowݮRzUܜ=ڽ-o/Iۖ;qVʘgPp|mm;6zGl9.8pwWgsJ2qPbe}}UpNjٯ}7TMQKrؽtEx%v w߾8%|j;~|}pK]ơ/ w߾8%|j;~|}pK]ơ/ w&~e_H 8PL7:%ʭ5Kw&U2vwR_+rm'}C7#rWoO&HoG?M$UR7{FU]u ;# !Wk`|W>׹潇9Vn)6)*ҹ{%qV4q>W1vi#T"Qk&GwxcJBJ- Ϸ^ˁxkU}ԣ/3.;]J=<*)cS)ROK9H=,r zX @)cS)Da^ԽQ gxJI=w֣gf*TRj

2National Medical Center, National Institute of Dementia, Seoul 04564, Korea.

Correspondence to Hee-Sook Lim. Department of Gerontology, AgeTech-Service Convergence Major, Graduate School of East-West Medical Science, Kyung Hee University, 1732 Deogyeong-daero, Giheung-gu, Yongin 17104, Korea. limhsgeron@khu.ac.kr

*Eun-Ha Son and Dong Hoon Jung contributed equally to this work as first authors.

• Received: December 2, 2024   • Revised: December 16, 2024   • Accepted: December 16, 2024

Copyright © 2025. The Korean Society of Clinical Nutrition

This is an Open Access article distributed under the terms of the Creative Commons Attribution Non-Commercial License (https://creativecommons.org/licenses/by-nc/4.0/) which permits unrestricted non-commercial use, distribution, and reproduction in any medium, provided the original work is properly cited.

  • 12 Views
  • 0 Download
prev next
  • This study aimed to evaluate the effects of functional foods containing Auricularia auricula-judae powder on gut health and clinical indicators in middle-aged and older adults. Participants were randomly assigned to either the intervention group (n = 24) or control group (n = 26), and assessments including anthropometric measurements, blood analyses, and dietary intake surveys were conducted. The intervention group consumed functional foods containing A. auricula-judae powder twice daily for 8 weeks. No statistically significant differences were observed in the gut environmental parameters between the 2 groups. However, reductions in waist circumference (p < 0.021), abdominal obesity (p < 0.006), and triglyceride levels (p < 0.016) in the intervention group were statistically significant. Additionally, an analysis of nutrient intake from meals other than the intervention food revealed a significant increase in dietary fiber (p < 0.043), vitamin B1 (p < 0.027), and folic acid (p < 0.006) intake in the intervention group. Although the intervention improved the selection of body composition and blood parameters, it failed to produce significant changes in constipation outcomes or gut environmental parameters among participants with constipation. In conclusion, the consumption of A. auricula-judae powder-based functional foods resulted in limited yet meaningful improvements, specifically in reducing waist circumference and triglyceride levels.
Currently, the aging population is becoming a serious social problem in South Korea, and the population aged 65 years or older will account for 19.2% of the total population by 2024 [1]. The rapid growth of the aging population indicates that South Korea is rapidly becoming a super-aged society. Aging is a natural response that occurs in living organisms over time [2]. Most people experience decline in various physical functions as they enter old age, and the physical changes that have been occurring since middle age become noticeably severe [3]. Over time, the aging process progresses rapidly in the elderly, causing symptoms such as deterioration of physical function, difficulty in chewing and swallowing, and decreased absorption of nutrients, all of which directly affect their health and quality of life [4]. As aging progresses, the digestive functions of the stomach and large intestine deteriorate, and the pelvic muscles and anal functions also deteriorate; therefore, the digestive system problems that typically occur in the elderly due to the aforementioned symptoms are digestive disorders and constipation [5, 6], and constipation is a condition that is likely to occur in the elderly who are hospitalized for a long period of time [7]. Constipation in the elderly is caused by a combination of factors, including physical aging and inappropriate dietary habits, and the most important treatment is a diet that includes adequate fluid and dietary fiber [5, 8]. Dietary fiber is classified as soluble or insoluble; insoluble dietary fiber helps increase the amount of stool and regulates bowel movements [9]. Elderly people with poor digestive function should be cautious, because a sudden increase in dosage over a short period of time may cause symptoms such as bloating, belching, and diarrhea [5]. Soluble dietary fiber is known to lower cholesterol levels and improve the lipid environment in the blood; in most cases, it is known to provide more health benefits than insoluble dietary fiber [9]. Consumption of soluble dietary fiber is also recommended for elderly individuals who have digestive system disorders. There are several types of soluble dietary fibers, including β-glucan which is found in large amounts in oats, barley, and mushrooms [9].
Mushrooms are rich in water, protein, carbohydrates, vitamins, and minerals [10], with the wood ear mushroom, Auricularia auricula-judae, being particularly notable for its high content of soluble dietary fiber such as beta-glucan, which is reported to aid in bowel movements [11, 12]. This ear-shaped, brown or black fungus is commonly called to as the wood ear mushroom or jelly ear in Asia [13]. A. auricula-judae has been widely used in Asia as an herbal medicine, a fermented food ingredient, and a source of antibiotics. Among the global producers, China is the largest, accounting for more than 90% of the total world production [14]. Although its nutritional value and functional effects on the body have been extensively studied in Asia [15] and other regions, this mushroom remains relatively less familiar in Western societies, such as Europe and the United States [13]. A. auricula-judae is rich in polysaccharides, proteins, fats, vitamins, and minerals, and its polysaccharide, known as Auricularia auricula polysaccharide (AAP), has been reported to alleviate chronic diseases such as diabetes, obesity, inflammation, and hyperglycemia [16, 17, 18]. Although studies have reported that AAP slows the aging process and improves blood lipid levels [19], systematic research on products containing AAP is lacking; therefore, the relevant characteristics of A. auricula-judae products need to be investigated [14]. Therefore, this study aimed to evaluate the effects of functional foods containing A. auricula-judae powder on the body composition, nutritional status, and clinical indicators (including hematological markers and symptoms such as constipation) in middle-aged and older adults.
Recruitment of participants and eligibility criteria
This study was conducted as a randomized, double-blind trial targeting middle-aged and older adults aged 50 years or older. Participants were recruited by posting advertisements in community institutions, such as public health and welfare centers. Participants with a history of inflammatory bowel disease, neurological disorders, mental illness, or chronic kidney disease; history of gastrointestinal surgery other than appendectomy or cholecystectomy; or chronic use of medications affecting the gastrointestinal system, such as antibiotics or bacteriostats, were excluded. Based on similar previous study [20], a drop-out rate of 10% was expected, and 56 participants were recruited, with 28 allocated to each group (Figure 1).
Figure 1

Study flow sheet.

cnr-14-7-g001.jpg
Study procedure
A total of 56 participants were recruited, of which 6, 2 from the control group and 4 from the intervention groups, dropped out during the study for personal reasons, leaving 50 participants enrolled. During the 8-week study, the participants visited the clinic once before and once after consuming the intervention food to undergo a physical assessment, including body composition and blood pressure measurements; blood analysis, including lipid levels and gut microbiota tests; and a survey. Prior to participation in the study, the researcher-in-charge explained the study procedures and observation parameters related to the consumption of the intervention food, and the participants provided informed consent. Participants were randomly assigned to the intervention group, which consumed an intervention food containing mushroom powder, or to the control group, which consumed a control product consisting of maltodextrin. Participants were assigned an identification code according to the order in which they enrolled in the study, and the study coordinator randomly assigned the participants according to a predetermined assignment code using the Excel randomization function. To ensure compliance with product consumption, the researchers assigned to each participant conducted twice-weekly phone monitoring. During these calls, they checked for product consumption, overall dietary intake, and any adverse reactions. In addition, an in-person interview was conducted 4 weeks after the product delivery to assess adherence, and the products were distributed for the remaining 4 weeks. Compliance with the intake of the intervention food was 100% in the intervention group and 98% in the control group. None of the participants met the study termination criteria specified in the study protocol. The composition of the foods provided to the intervention and control groups is presented in Supplementary Table 1, which confirms that the nutritional values were equivalent with no significant differences (Supplementary Table 1). This study was conducted from October to December 2022 and the protocol was approved by the Ethics Committee of Kyung Hee University (Approval No. KHGIRB-22-470).
General characteristics
Data on demographic characteristics and general lifestyle habits of the participants included sex, age, current presence of chronic diseases (hypertension, diabetes, and osteoporosis), subjective health status, subjective body perception, current alcohol consumption, current smoking, regular exercise, daily meal frequency, regular diet, eating speed, and appetite level. The nutritional status of the study participants was determined using the Mini Nutritional Assessment, which is a simple and short validated questionnaire designed to rapidly assess the nutritional status of elderly patients [21]. The Korean version of the World Health Organization’s Short-Form Physical Activity Questionnaire, which consists of 7 questions about vigorous physical activity, moderate physical activity, walking, and sedentary activity over the past 7 days, was used as a self-report tool [22].
Physical and clinical checks
The components of waist circumference and body composition were measured using a measuring tape measure and InBody S10 (InBody Co., Seoul, Korea), and systolic and diastolic blood pressure were measured using a portable blood pressure monitor (Citizen CH-452; Citizen Co., Tokyo, Japan) before and after the intervention as pre- and post-intervention data, respectively. Hematological biomarkers of total cholesterol, low-density lipoprotein (LDL) cholesterol, high-density lipoprotein cholesterol, and triglyceride concentrations were analyzed using a blood analyzer (Afinion2 analyzer; Abbott Co., Green Oaks, IL, USA).
Nutrient intake analysis
To determine the participants’ nutrient intake, all meals, including snacks, were examined and recorded for 3 days before and after the pre- and post-study visits. The recorded data were reviewed by a trained nutritionist, and the daily nutrient intake of each participant was analyzed using specialized nutrient analysis software (Can pro-6.0, Web ver.; Korean Nutrition Society, Seoul, Korea).
Assessment of constipation and intestinal microbiome status
The Constipation Assessment Scale (CAS), developed by McMillan and Williams (1989) [23] was used to assess each participant’s bowel status. It consists of 8 questions regarding abdominal distension, amount of gas, number of bowel movements, appearance of stool, discomfort during bowel movements, rectal heaviness, amount of stool, and ease of bowel movement. The ROME II diagnostic criteria were also used to check the status of participants’ functional gastrointestinal disorders, including constipation [24].
Statistical analyses
Continuous outcome variables analyzed in this study were presented as means and standard deviations, and categorical variables were presented as frequencies (and percentages). Changes in the intervention and control groups before and after the intervention were analyzed using the Wilcoxon signed-rank test. Differences between the groups at baseline were assessed using the Mann-Whitney U test, a nonparametric test used to compare independent samples. All analyses were performed using IBM SPSS Statistics (version 25.0; IBM Corp., Armonk, NY, USA), and significance was set at p < 0.05.
Comparison of general characteristics at baseline
The results of the comparison and significance according for each group are shown in Table 1. The total study sample had a mean age of 66.9 years, and 76% of the sample were female. In terms of physical activity, 76.0% of the participants reported engaging in regular exercise. Although the participants maintained a relatively regular meal pattern, the risk of malnutrition was significantly high (68.0%).
Table 1

Participants’ general characteristics at baseline

Table 1
Variables Total (n = 50) Control (n = 26) Intervention (n = 24) p value
Sex 0.862
Male 12 (24.0) 6 (23.1) 5 (20.8)
Female 38 (76.0) 20 (76.9) 19 (79.2)
Age (yr) 66.9 ± 7.9 67.5 ± 4.0 66.1 ± 5.8 0.754
55–59 11 (22.0) 5 (19.2) 6 (25.0) 0.469
60–69 20 (40.0) 10 (38.5) 10 (41.7)
≥ 70 19 (38.0) 9 (34.6) 10 (41.7)
Presence of chronic disease 0.903
Yes 31 (62.0) 16 (61.5) 15 (62.5)
Subjective health status 0.891
Good 24 (48.0) 12 (46.2) 12 (50.0)
Normal 25 (50.0) 13 (50.0) 12 (50.0)
Bad 1 (2.0) 1 (3.8) 0 (0.0)
Subjective body cognition 0.620
Underweight 4 (8.0) 2 (7.7) 2 (8.3)
Normal 27 (54.0) 24 (92.3) 23 (95.8)
Overweight 19 (38.0) 9 (34.6) 10 (41.7)
Current alcohol consumption 0.485
Yes 24 (48.0) 14 (53.8) 10 (41.7)
No 26 (52.0) 12 (46.2) 14 (58.3)
Current smoking 0.776
Yes 2 (4.0) 1 (3.8) 1 (4.2)
Regular exercise 0.509
Yes 38 (76.0) 13 (50.0) 15 (62.5)
IPAQ 0.314
Met-min score 2,904.3 ± 2,910.7 2,724.8 ± 1,750.6 2,830.1 ± 2,926.5
Daily meal frequency 0.738
2 times per day 20 (40.0) 11 (42.3) 10 (41.7)
3 times per day 30 (60.0) 16 (61.5) 14 (58.3)
Regular diet 0.520
Regular 36 (72.0) 19 (73.1) 16 (66.7)
Irregular 14 (28.0) 7 (26.9) 8 (33.3)
Eating speed 0.412
Fast 13 (26.0) 7 (26.9) 6 (25.0)
Medium 30 (60.0) 16 (61.5) 14 (58.3)
Slowly 7 (14.0) 3 (11.5) 4 (16.7)
Appetite 0.256
Always good 30 (60.0) 14 (53.8) 16 (66.7)
Normal 19 (38.0) 11 (42.3) 8 (33.3)
Always bad 1 (2.0) 1 (3.8) 0 (0.0)
Nutritional status by MNA 0.791
Normal nutritional status 16 (32.0) 8 (30.8) 8 (33.3)
At risk of malnutrition 34 (68.0) 18 (69.2) 16 (66.7)
Malnourished 0 (0.0) 0 (0.0) 0 (0.0)
Data were reported as mean ± standard deviation for continuous variable and number (percentage) for categorical variable.
IPAQ, International Physical Activity Questionnaire; MNA, Mini Nutritional Assessment.
Comparison of changes in body composition and hematological markers
The changes in clinical indicators before and after the intervention in the intervention and control groups are summarized in Table 2. A significant reduction in waist circumference was observed in the intervention group. Hematological assessment showed a significant decrease in triglyceride levels, while the mean levels of total cholesterol and LDL cholesterol showed a slight decrease that did not reach statistical significance. A significant reduction in body fat was observed in the control group. However, changes in waist circumference and abdominal obesity were not statistically significant. In addition, significant increases in total cholesterol and LDL cholesterol were observed in the control group.
Table 2

Comparison of changes in body composition and hematological markers

Table 2
Variables Control (n = 26) Intervention (n = 24) p value
Pre Post p value* Pre Post p value*
Body mass index (kg/m2) 25.0 ± 3.6 25.0 ± 3.6 0.768 24.9 ± 3.5 25.1 ± 3.4 0.366 0.690
Body fat (%) 30.0 ± 7.3 28.3 ± 7.8 0.007 30.8 ± 7.7 30.0 ± 7.6 0.307 0.814
Waist circumference (cm) 84.3 ± 9.4 83.4 ± 7.3 0.393 85.2 ± 8.7 82.5 ± 8.4 0.021 0.762
Abdominal obesity 10 (38.5) 10 (38.5) 1.000 12 (50.0) 9 (37.5) 0.266 0.369
Systolic blood pressure (mmHg) 132.7 ± 15.2 136.9 ± 18.6 0.261 131.0 ± 17.7 129.5 ± 31.6 0.822 0.860
Diastolic blood pressure (mmHg) 76.9 ± 10.5 79.1 ± 11.2 0.722 75.7 ± 10.9 79.4 ± 13.0 0.055 0.639
Total cholesterol (mg/dL) 179.7 ± 40.3 204.9 ± 40.3 0.000 175.8 ± 31.9 167.1 ± 35.8 0.064 0.544
≥ 200 mg/dL 8 (30.8) 14 (53.8) 0.080 8 (33.3) 6 (25.0) 0.518 0.715
LDL cholesterol (mg/dL) 85.2 ± 37.9 98.8 ± 38.2 0.033 87.5 ± 25.4 86.3 ± 28.8 0.788 0.508
≥ 100 mg/dL 8 (30.8) 11 (42.3) 0.283 7 (29.2) 7 (29.2) 1.000 0.652
HDL cholesterol (mg/dL) 60.6 ± 32.9 54.5 ± 12.4 0.380 59.8 ± 13.6 56.8 ± 9.1 0.363 0.707
< 55 mg/dL 15 (57.7) 17 (65.4) 0.388 9 (37.5) 8 (33.3) 0.763 0.240
Triglyceride (mg/dL) 168.4 ± 63.3 180.5 ± 51.7 0.130 180.0 ± 70.8 170.4 ± 57.4 0.016 0.195
≥ 150 mg/dL 13 (50.0) 19 (73.1) 0.077 12 (50.0) 13 (54.2) 0.773 1.000
Data were reported as mean ± standard deviation for continuous variable and number (percentage) for categorical variable.
LDL, low-density lipoprotein; HDL, high-density lipoprotein.
*Comparison of results before and after the intervention within a single group using the Wilcoxon signed-rank test.
Comparison of statistical significance between the 2 groups at baseline.
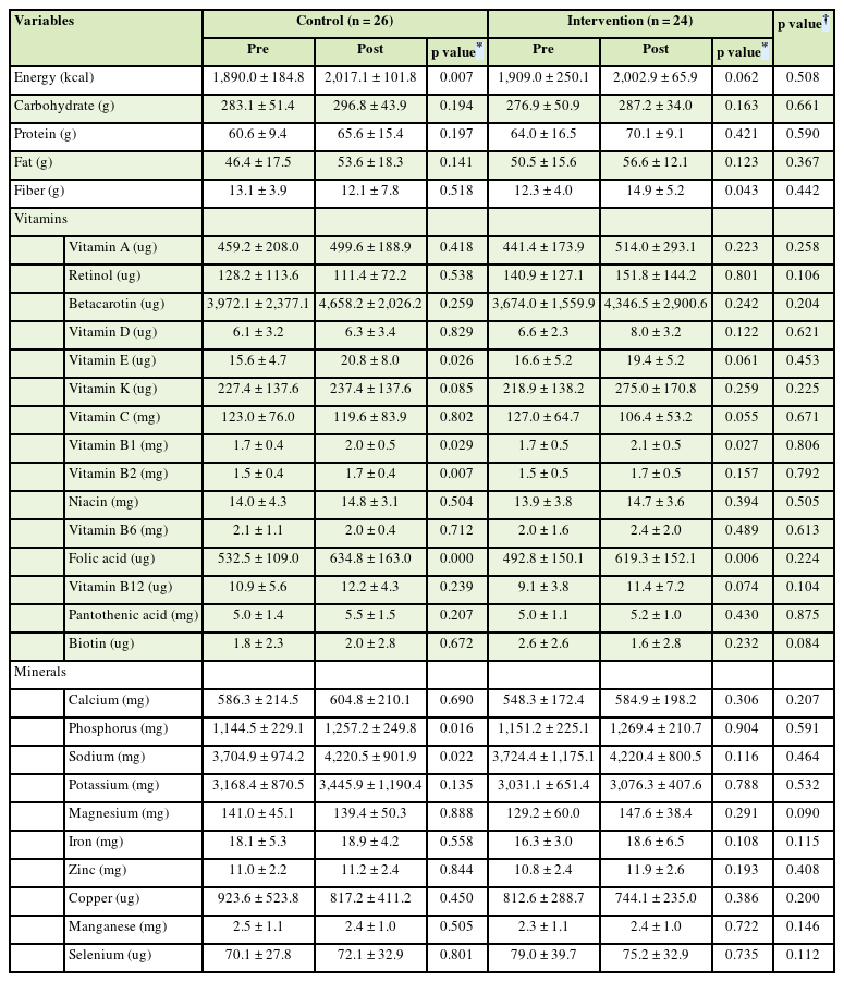
Changes in nutrient intake
Table 3 shows the changes in nutrient intake based on the participants’ dietary intakes before and after study. Considering the pre- and post-intervention changes in the intervention group, the average intakes of dietary fiber, vitamin B1, and folic acid increased significantly, whereas the control group showed significant changes in the intakes of energy, vitamin E, vitamin B1, vitamin B2, folic acid, and phosphorus. The change in dietary fiber intake in the control group was not significant, but showed a decreasing trend on average, and based on the results mentioned earlier, the average intake of vitamin E, vitamin B1, and folic acid was found to have increased significantly in both groups.
Table 3

Changes of nutrient intakes

Table 3
Variables Control (n = 26) Intervention (n = 24) p value
Pre Post p value* Pre Post p value*
Energy (kcal) 1,890.0 ± 184.8 2,017.1 ± 101.8 0.007 1,909.0 ± 250.1 2,002.9 ± 65.9 0.062 0.508
Carbohydrate (g) 283.1 ± 51.4 296.8 ± 43.9 0.194 276.9 ± 50.9 287.2 ± 34.0 0.163 0.661
Protein (g) 60.6 ± 9.4 65.6 ± 15.4 0.197 64.0 ± 16.5 70.1 ± 9.1 0.421 0.590
Fat (g) 46.4 ± 17.5 53.6 ± 18.3 0.141 50.5 ± 15.6 56.6 ± 12.1 0.123 0.367
Fiber (g) 13.1 ± 3.9 12.1 ± 7.8 0.518 12.3 ± 4.0 14.9 ± 5.2 0.043 0.442
Vitamins
Vitamin A (ug) 459.2 ± 208.0 499.6 ± 188.9 0.418 441.4 ± 173.9 514.0 ± 293.1 0.223 0.258
Retinol (ug) 128.2 ± 113.6 111.4 ± 72.2 0.538 140.9 ± 127.1 151.8 ± 144.2 0.801 0.106
Betacarotin (ug) 3,972.1 ± 2,377.1 4,658.2 ± 2,026.2 0.259 3,674.0 ± 1,559.9 4,346.5 ± 2,900.6 0.242 0.204
Vitamin D (ug) 6.1 ± 3.2 6.3 ± 3.4 0.829 6.6 ± 2.3 8.0 ± 3.2 0.122 0.621
Vitamin E (ug) 15.6 ± 4.7 20.8 ± 8.0 0.026 16.6 ± 5.2 19.4 ± 5.2 0.061 0.453
Vitamin K (ug) 227.4 ± 137.6 237.4 ± 137.6 0.085 218.9 ± 138.2 275.0 ± 170.8 0.259 0.225
Vitamin C (mg) 123.0 ± 76.0 119.6 ± 83.9 0.802 127.0 ± 64.7 106.4 ± 53.2 0.055 0.671
Vitamin B1 (mg) 1.7 ± 0.4 2.0 ± 0.5 0.029 1.7 ± 0.5 2.1 ± 0.5 0.027 0.806
Vitamin B2 (mg) 1.5 ± 0.4 1.7 ± 0.4 0.007 1.5 ± 0.5 1.7 ± 0.5 0.157 0.792
Niacin (mg) 14.0 ± 4.3 14.8 ± 3.1 0.504 13.9 ± 3.8 14.7 ± 3.6 0.394 0.505
Vitamin B6 (mg) 2.1 ± 1.1 2.0 ± 0.4 0.712 2.0 ± 1.6 2.4 ± 2.0 0.489 0.613
Folic acid (ug) 532.5 ± 109.0 634.8 ± 163.0 0.000 492.8 ± 150.1 619.3 ± 152.1 0.006 0.224
Vitamin B12 (ug) 10.9 ± 5.6 12.2 ± 4.3 0.239 9.1 ± 3.8 11.4 ± 7.2 0.074 0.104
Pantothenic acid (mg) 5.0 ± 1.4 5.5 ± 1.5 0.207 5.0 ± 1.1 5.2 ± 1.0 0.430 0.875
Biotin (ug) 1.8 ± 2.3 2.0 ± 2.8 0.672 2.6 ± 2.6 1.6 ± 2.8 0.232 0.084
Minerals
Calcium (mg) 586.3 ± 214.5 604.8 ± 210.1 0.690 548.3 ± 172.4 584.9 ± 198.2 0.306 0.207
Phosphorus (mg) 1,144.5 ± 229.1 1,257.2 ± 249.8 0.016 1,151.2 ± 225.1 1,269.4 ± 210.7 0.904 0.591
Sodium (mg) 3,704.9 ± 974.2 4,220.5 ± 901.9 0.022 3,724.4 ± 1,175.1 4,220.4 ± 800.5 0.116 0.464
Potassium (mg) 3,168.4 ± 870.5 3,445.9 ± 1,190.4 0.135 3,031.1 ± 651.4 3,076.3 ± 407.6 0.788 0.532
Magnesium (mg) 141.0 ± 45.1 139.4 ± 50.3 0.888 129.2 ± 60.0 147.6 ± 38.4 0.291 0.090
Iron (mg) 18.1 ± 5.3 18.9 ± 4.2 0.558 16.3 ± 3.0 18.6 ± 6.5 0.108 0.115
Zinc (mg) 11.0 ± 2.2 11.2 ± 2.4 0.844 10.8 ± 2.4 11.9 ± 2.6 0.193 0.408
Copper (ug) 923.6 ± 523.8 817.2 ± 411.2 0.450 812.6 ± 288.7 744.1 ± 235.0 0.386 0.200
Manganese (mg) 2.5 ± 1.1 2.4 ± 1.0 0.505 2.3 ± 1.1 2.4 ± 1.0 0.722 0.146
Selenium (ug) 70.1 ± 27.8 72.1 ± 32.9 0.801 79.0 ± 39.7 75.2 ± 32.9 0.735 0.112
Data were reported as mean ± standard deviation for continuous variable and number (percentage) for categorical variable.
*Comparison of results before and after the intervention within a single group using the Wilcoxon signed-rank test.
Comparison of statistical significance between the 2 groups at baseline.
Changes of constipation and gut status
Table 4 presents the changes in constipation status and gut microbial environment before and after the intervention in the intervention group. Based on the results of the CAS and ROME II questionnaires, which assess self-perceived intestinal discomfort, no significant changes were observed in either the intervention or control groups. The mean scores for the diversity and balance of the gut microbial environment showed an increasing trend in the intervention group and a decreasing trend in the control group. However, these changes were not statistically significant.
Table 4

Changes of constipation and gut status

Table 4
Variables Control (n = 26) Intervention (n = 24) p value
Pre Post p value* Pre Post p value*
Constipation
CAS (Yes) 9 (34.6) 7 (26.9) 0.425 5 (20.8) 5 (20.8) 1.000 0.125
ROME II§ (Yes) 8 (30.8) 7 (26.9) 0.713 5 (20.8) 4 (16.7) 0.575 0.064
Gut
Diversity score 65.5 ± 12.0 63.0 ± 14.0 0.460 71.0 ± 12.0 71.6 ± 11.2 0.835 0.280
Balance score 69.3 ± 19.7 63.8 ± 20.7 0.232 62.4 ± 21.7 70.4 ± 19.4 0.172 0.179
Data were reported as mean ± standard deviation for continuous variable and number (percentage) for categorical variable.
CAS, Constipation Assessment Scale.
*Comparison of results before and after the intervention within a single group using the Wilcoxon signed-rank test.
Comparison of statistical significance between the 2 groups at baseline.
“Yes” means people diagnosed with constipation with a score of 4 or more.
§Constipation diagnosis tool through subjective symptoms, “Yes” means people diagnosed with constipation with a score of 2 or more.
A higher score indicates greater gut microbiota diversity.
A higher score means a better balance of beneficial and harmful bacteria in the gut.
This study aimed to determine the effects of a functional food containing powdered A. auricula-judae on constipation, overall gut health, and clinical factors in the elderly subjects. No significant findings were observed for variables related to constipation or the gut microbiome. However, significant changes were observed in the clinical indicators of the intervention group, including dietary fiber intake, waist circumference, and blood triglyceride levels.
Significant changes in the hematological markers of the study participants were observed in both the control and intervention groups. The intervention group showed significant improvements in waist circumference and blood triglyceride levels. The effect of A. auricula-judae on blood lipid levels has been reported in previous studies; it is known to be a functional food due to its high fiber content [25]. According to Chen et al. [17], polysaccharides from Auricularia auricula regulate lipid metabolism in the body, thereby alleviating obesity-related factors. In a previous study in which middle-aged women with abdominal obesity directly consumed A. auricula-judae, the intervention group showed improved blood lipid levels, and the control group showed an increase in total cholesterol and LDL cholesterol levels, similar to the results of this study [26]. However, the difference in our study was that the participants were elderly, and A. auricula-judae was provided as an ingredient of a functional food rather than as a raw ingredient or extract solution.
Dietary fiber is the major polysaccharide component of A. auricula-judae [27], and AAP, a polysaccharide of A. auricula-judae, has excellent biological functionality and has been shown to have effects on antioxidant, hypoglycemic, hypolipidemic, and immunomodulatory effects in various studies [16, 17, 18]. Liu et al. [28] reported that AAP affected lipid metabolism in the blood of mice and slowed weight gain in a study in which they provided an extract of A. auricula-judae as a dietary supplement. In our study, the increase in dietary fiber intake was assessed after the end of the intervention; however, a clear analysis of this aspect increase is difficult, especially when compared with the slight decrease observed in the control group. This result may be due to the perceived effect of consuming functional foods. However, this aspect was not specifically investigated, which remains a limitation of this study. Among previous studies on dietary fiber intake in the elderly, Kim et al. [29] reported that insufficient intake of vegetables and fruits, which are key sources of dietary fiber, was a significant risk factor for functional constipation in the elderly. Another study that analyzed data from the National Health and Nutrition Examination Survey data in the United States to determine the effects of dietary fiber intake on anemia and frailty in the elderly reported that adequate dietary fiber intake is an innovative dietary method for reducing frailty in the elderly [30]. Therefore, the benefits of dietary fiber intake, such as AAP, are not limited to improving constipation in the elderly but also include various clinical improvements. Although the consumption of functional foods containing A. auricula-judae in powder form is not the optimal method to achieve the above-mentioned clinical improvements, previous studies have also reported improvements in the blood lipid parameters.
This study has limitations such as the small sample size and the inability to confirm changes in intestinal conditions and clinical improvements after long-term consumption of functional foods containing A. auricula-judae powder. In addition, due to the small sample size, we were unable to confirm the clinical outcomes by varying the content of A. auricula-judae powder. Furthermore, although participant compliance and monitoring included management of daily food intake and specific dietary conditions (e.g., foods high in dietary fiber, high-fat meals, excessive eating out, and alcohol consumption), stricter dietary controls should be implemented in future studies to ensure more reliable results.
In conclusion, the consumption of functional foods containing A. auricula-judae is expected to improve dietary fiber intake, which is considered a factor in the occurrence of constipation in the elderly, and to provide health benefits such as improved blood lipid levels. Further research on the development and effectiveness of functional foods containing A. auricula-judae powder in the elderly is needed in the future.
National Research Foundation of Koreahttps://doi.org/10.13039/501100003725 5120200313836

Funding: This research was supported by BK21 plus program AgeTech-Service Convergence Major through the National Research Foundation (NRF) funded by the Ministry of Education of Korea (5120200313836).

Conflict of Interest: The authors declare that they have no competing interests.

Author Contributions:

  • Conceptualization: Lim HS.

  • Data curation: Lim HS.

  • Formal analysis: Son EH.

  • Funding acquisition: Shin H.

  • Investigation: Jung DH.

  • Methodology: Kim Y, Lim HS.

  • Project administration: Lim HS.

  • Supervision: Lim HS.

  • Validation: Son EH.

  • Visualization: Lee S.

  • Writing - original draft: Son EH, Lim HS.

  • Writing - review & editing: Jung DH, Lim HS.

Supplementary Table 1

Comparison of composition per product provided in intervention and control groups
cnr-14-7-s001.xls
  • 1. Korean Statistical Information Service. 2024 Statistics on the aged. 2024. cited 2024 December 1. Available from http://kostat.go.kr
  • 2. Dziechciaż M, Filip R. Biological psychological and social determinants of old age: bio-psycho-social aspects of human aging. Ann Agric Environ Med 2014;21:835-838.
  • 3. Lim JH, Lee JO. The relationship between body composition change and muscle strength and endurance depending on aging at the senescence. J Korean Geriatr Soc 2001;21:15-24.
  • 4. Lee SH, Lee SL. A basic study to establish a nutrition education system for welfare facilities for the elderly at home using body composition analysis and nutritional management cards. Korean J Community Living Sci 2024;35:471-482.
  • 5. Park KS. Constipation in the elderly. Korean J Med 2010;78:309-313.
  • 6. Bouras EP, Tangalos EG. Chronic constipation in the elderly. Gastroenterol Clin North Am 2009;38:463-480.
  • 7. Kang HS, Kim I. The effects of life style modification on constipation of the older adults at a geriatric hospital. Korean J Rehabil Nurs 2017;20:52-60.
  • 8. Jani B, Marsicano E. Constipation: evaluation and management. Mo Med 2018;115:236-240.
  • 9. Tian M, Pak S, Ma C, Ma L, Rengasamy KRR, et al. Chemical features and biological functions of water-insoluble dietary fiber in plant-based foods. Crit Rev Food Sci Nutr 2024;64:928-942.
  • 10. Ghosh S, Acharya K. Milky mushroom: a healthy nutritious diet. Food Res Int 2022;156:111113.
  • 11. Kim TI, Park SJ, Choi CH, Lee SK, Kim WH. Effect of ear mushroom (Auricularia) on functional constipation. Korean J Gastroenterol 2004;44:34-41.
  • 12. Islam T, Ganesan K, Xu B. Insights into health-promoting effects of Jew’s ear (Auricularia auricula-judae). Trends Food Sci Technol 2021;114:552-569.
  • 13. Liu E, Ji Y, Zhang F, Liu B, Meng X. Review on Auricularia auricula-judae as a functional food: growth, chemical composition, and biological activities. J Agric Food Chem 2021;69:1739-1750.
  • 14. Miao J, Regenstein JM, Qiu J, Zhang J, Zhang X, et al. Isolation, structural characterization and bioactivities of polysaccharides and its derivatives from Auricularia-a review. Int J Biol Macromol 2020;150:102-113.
  • 15. Yu T, Wu Q, Liang B, Wang J, Wu D, et al. The current state and future prospects of Auricularia auricula’s polysaccharide processing technology portfolio. Molecules 2023;28:582.
  • 16. Pak S, Chen F, Ma L, Hu X, Ji J. Functional perspective of black fungi (Auricularia auricula): major bioactive components, health benefits and potential mechanisms. Trends Food Sci Technol 2021;114:245-261.
  • 17. Chen N, Zhang H, Zong X, Li S, Wang J, et al. Polysaccharides from Auricularia auricula: preparation, structural features and biological activities. Carbohydr Polym 2020;247:116750.
  • 18. Wang J, Zhang T, Liu X, Fan H, Wei C. Aqueous extracts of se-enriched Auricularia auricular attenuates D-galactose-induced cognitive deficits, oxidative stress and neuroinflammation via suppressing RAGE/MAPK/NF-κB pathway. Neurosci Lett 2019;704:106-111.
  • 19. Xiao B, Chen S, Huang Q, Tan J, Zeng J, et al. The lipid lowering and antioxidative stress potential of polysaccharide from Auricularia auricula prepared by enzymatic method. Int J Biol Macromol 2021;187:651-663.
  • 20. Shim HW. Effects of sea tangle pellet on constipation in institutionalized aged. J Korean Gerontol Nurs 2008;10:131-141.
  • 21. Vellas B, Guigoz Y, Garry PJ, Nourhashemi F, Bennahum D, et al. The Mini Nutritional Assessment (MNA) and its use in grading the nutritional state of elderly patients. Nutrition 1999;15:116-122.
  • 22. Chun MY. Validity and reliability of Korean version of international physical activity questionnaire short form in the elderly. Korean J Fam Med 2012;33:144-151.
  • 23. McMillan SC, Williams FA. Validity and reliability of the Constipation Assessment Scale. Cancer Nurs 1989;12:183-188.
  • 24. Barberio B, Judge C, Savarino EV, Ford AC. Global prevalence of functional constipation according to the Rome criteria: a systematic review and meta-analysis. Lancet Gastroenterol Hepatol 2021;6:638-648.
  • 25. Reza MA, Hossain MA, Damte D, Jo WS, Hsu WH, et al. Hypolipidemic and hepatic steatosis preventing activities of the wood ear medicinal mushroom Auricularia auricula-judae (higher basidiomycetes) ethanol extract in vivo and in vitro. Int J Med Mushrooms 2015;17:723-734.
  • 26. Han JS, Kim JK, Kim AJ. The effects of Auricularia auricula-judae on blood lipids profile and bone density of middle aged abdominal obese women. Korean J Food Nutr 2012;25:1075-1080.
  • 27. Kadnikova IA, Costa R, Kalenik TK, Guruleva ON, Yanguo S. Chemical composition and nutritional value of the mushroom Auricularia auricula-judae . J Food Nutr Res (Newark) 2015;3:478-482.
  • 28. Liu Q, Ma R, Li S, Fei Y, Lei J, et al. Dietary supplementation of Auricularia auricula-judae polysaccharides alleviate nutritional obesity in mice via regulating inflammatory response and lipid metabolism. Foods 2022;11:942.
  • 29. Kim HJ, Won CW, Choi HR, Kim BS, Kim JE, et al. Prevalence and risk factors of functional constipation in the elderly. J Korean Acad Fam Med 2006;27:693-698.
  • 30. Zhang H, Wei X, Pan J, Chen X, Sun X. Anemia and frailty in the aging population: implications of dietary fiber intake (findings of the US NHANES from 2007-2018). BMC Geriatr 2023;23:634.

Download Citation

Download a citation file in RIS format that can be imported by all major citation management software, including EndNote, ProCite, RefWorks, and Reference Manager.

Format:

Include:

Effects of the Intestinal Status and Clinical Factors of Korean Middle-Aged People Through the Consumption of Functional Foods Containing Auricularia auricula-judae Powder: Prospective, Randomized, Open-Label, and Control Com
Clin Nutr Res. 2025;14(1):7-16.   Published online January 22, 2025
Download Citation

Download a citation file in RIS format that can be imported by all major citation management software, including EndNote, ProCite, RefWorks, and Reference Manager.

Format:
Include:
Effects of the Intestinal Status and Clinical Factors of Korean Middle-Aged People Through the Consumption of Functional Foods Containing Auricularia auricula-judae Powder: Prospective, Randomized, Open-Label, and Control Com
Clin Nutr Res. 2025;14(1):7-16.   Published online January 22, 2025
Close

Figure

  • 0
Effects of the Intestinal Status and Clinical Factors of Korean Middle-Aged People Through the Consumption of Functional Foods Containing Auricularia auricula-judae Powder: Prospective, Randomized, Open-Label, and Control Com
Image
Figure 1 Study flow sheet.
Effects of the Intestinal Status and Clinical Factors of Korean Middle-Aged People Through the Consumption of Functional Foods Containing Auricularia auricula-judae Powder: Prospective, Randomized, Open-Label, and Control Com
Table 1 Participants’ general characteristics at baseline

Data were reported as mean ± standard deviation for continuous variable and number (percentage) for categorical variable.

IPAQ, International Physical Activity Questionnaire; MNA, Mini Nutritional Assessment.

Table 2 Comparison of changes in body composition and hematological markers

Data were reported as mean ± standard deviation for continuous variable and number (percentage) for categorical variable.

LDL, low-density lipoprotein; HDL, high-density lipoprotein.

*Comparison of results before and after the intervention within a single group using the Wilcoxon signed-rank test.

Comparison of statistical significance between the 2 groups at baseline.

Table 3 Changes of nutrient intakes

Data were reported as mean ± standard deviation for continuous variable and number (percentage) for categorical variable.

*Comparison of results before and after the intervention within a single group using the Wilcoxon signed-rank test.

Comparison of statistical significance between the 2 groups at baseline.

Table 4 Changes of constipation and gut status

Data were reported as mean ± standard deviation for continuous variable and number (percentage) for categorical variable.

CAS, Constipation Assessment Scale.

*Comparison of results before and after the intervention within a single group using the Wilcoxon signed-rank test.

Comparison of statistical significance between the 2 groups at baseline.

“Yes” means people diagnosed with constipation with a score of 4 or more.

§Constipation diagnosis tool through subjective symptoms, “Yes” means people diagnosed with constipation with a score of 2 or more.

A higher score indicates greater gut microbiota diversity.

A higher score means a better balance of beneficial and harmful bacteria in the gut.