Skip to main navigation Skip to main content
  • KSCN
  • E-Submission

CNR : Clinical Nutrition Research

OPEN ACCESS
ABOUT
BROWSE ARTICLES
EDITORIAL POLICIES
FOR CONTRIBUTORS

Articles

Original Article

Meal Patterns and Protein Food Utilization in Public and Private Geriatric Long-term Care Hospitals

Clinical Nutrition Research 2025;14(4):260-269.
Published online: October 28, 2025

1Department of Food and Nutrition, Kongju National University, Yesan 32439, Korea.

2Major in Nutrition Education, Graduate School of Education, Kongju National University, Yesan 32439, Korea.

Correspondence to Mi-Hyun Kim. Department of Food and Nutrition, Kongju National University, 54 Daehak-ro, Yesan 32439, Korea. mhkim1129@kongju.ac.kr

*Ga-Eun Choi and Hye-Yeon Lee contributed equally to this work as first authors.

• Received: September 4, 2025   • Revised: September 25, 2025   • Accepted: October 2, 2025

Copyright © 2025. The Korean Society of Clinical Nutrition

This is an Open Access article distributed under the terms of the Creative Commons Attribution Non-Commercial License (https://creativecommons.org/licenses/by-nc/4.0/) which permits unrestricted non-commercial use, distribution, and reproduction in any medium, provided the original work is properly cited.

  • 825 Views
  • 11 Download
prev next
  • This study examined meal patterns and protein-rich food utilization in the foodservice practices of public and private geriatric long-term care hospitals in South Korea. Over a period of 6 months, a total of 612 daily menus (306 from each hospital type, breakfast, lunch, and dinner) were collected from four hospitals (two public, two private). Each menu was categorized by meal composition, included staple food, soup, main dish, side dishes, and kimchi. The most common meal pattern consisted of a staple food, soup, main dish, two side dishes, and kimchi. Compared with private hospitals, public hospitals offered a greater variety in meal composition, staple foods, soups, and main dishes. However, no significant differences were observed in protein foods of main dishes. Overall, meat accounted for about half, whereas fish accounted for one-third. Approximately 30% of protein foods in main dishes were processed. In side dish 1, the proportion of protein-rich foods was lower in public than in private hospitals, whereas the proportion of processed foods exceeded two-thirds in both hospital, but was significantly higher in public hospitals. Soup was the second most important protein source after the main dish, with fish as the most often used; however, processed protein foods were also common. These findings indicate that the main dish and soup are the principal protein sources, and the relatively high inclusion of fish reflects a favorable pattern. However, to ensure intake of high-quality proteins by older adults, the high reliance on processed protein foods highlights the need to reconsider foodservice practices.
In South Korea, the population aged ≥ 65 years is projected to reach 10.51 million by 2025, representing 20.3% of the total population and placing the country among super-aged societies [1]. The transition period from an aging society to a super-aged society has taken 39 years in France, 20 years in Italy, 17 years in the United States, and 10 years in Japan, but only 7 in Korea, indicating a rapid pace of aging [2]. In 2023, the life expectancy of individuals aged 65 was 21.5 years (19.2 for men, 23.6 for women), surpassing the average of the Organization for Economic Cooperation and Development (OECD) by 1.4 years for men and 2.4 for women, respectively [3].
The 2023 National Survey of Older Koreans reported that 86.1% of older adults experienced at least one chronic disease, and 63.9% had multimorbidity [4]. Consequently, medical expenditures rise sharply with age; however, the relative poverty rate among Koreans aged 66 years was 39.7% in 2022, the highest among OECD countries [5]. Therefore, many older adults seek care in lower-cost healthcare institutions, to not impose a burden on their children, thereby increasing the demand for long-term care hospitals [6].
Admission to these long-term care hospitals is limited to older adults suffering from geriatric diseases and chronic illnesses or those recovering after surgery or injury, excluding psychiatric disorders, other than dementia, and communicable diseases [7]. In the early 2000s, government financial support helped lower barriers to the establishment of long-term care hospitals [6], resulting in an increase from 714 in 2009 to a peak of 1,587 in 2019; as of 2025, 1,334 hospitals are currently operational [8]. Long-term care hospitals are categorized as either private or public according to their founding body.
Private hospitals are established and managed by individuals or corporations, including educational institutions, welfare organizations, or medical foundations, with a total of 1,334 in operation in 2025 [9]. Although they prioritize patient care, their sustainability relies on profitability within a competitive healthcare system [10]. Conversely, public hospitals emphasize accessibility and services for vulnerable groups and underserved regions [11]. In 2023, 76 public long-term care hospitals were operational, which included 31 provincial, 44 municipal, and 1 regional medical center [12].
In long-term care hospitals, the foodservice department provides three daily meals and therapeutic diets tailored to diagnoses, such as regular, soft or blenderized, enteral, low-sodium, and diabetes-specific diets. Meals are fully supplied by the institution; thus, their nutritional quality strongly affects health and quality of life. High-quality diets are crucial for older inpatients with chronic conditions. However, studies have reported inadequate intake of proteins, calcium, and zinc [13] and low nutrient adequacy ratios for proteins, magnesium, and calcium [14]. Protein is crucial in later life because as energy needs decline, muscle loss increases protein requirements. Inadequate intake can accelerate sarcopenia, intensifying disability and mortality risk [15].
Previous studies of hospital meals have addressed dietary patterns, satisfaction, nutrient intake, and food provision [16, 17, 18] and generally reported low satisfaction and insufficient energy intake. However, systematic dietary analysis in long-term care hospitals is still inadequate. Therefore, this study was conducted to compare meal composition types and utilization of protein-rich foods, including meats, fish and shellfish, eggs, and legumes, between public and private long-term care hospitals. The findings will provide baseline data for improving meal quality and guiding the development of future policies.
Data collection and study participants
This study was conducted in 4 geriatric (2 public and 2 private) long-term care hospitals located in the western region of Chungnam and the northern region of Gyeonggi Province. Menus were collected over 9 weeks between October 3 and December 4, 2022, and were used as the primary data for analysis.
With the cooperation of hospital dietitians, raw data were collected, which included daily menus actually provided during the study period and general information on foodservice operations. Of the two public hospitals, Hospital A (western Chungnam) operated an in-house foodservice system, with an average of 90 patients on a regular diet and an average food ingredient cost of 1,950 KRW per person. Hospital B (western Chungnam) also had a similar in-house operation, with 104 patients on a regular diet and an average cost of 2,500 KRW per person. Among private hospitals, Hospital C (western Chungnam) provided in-house foodservice, serving 60 patients, with an average cost of 1,825 KRW per person. Hospital D (northern Gyeonggi), which also provided in-house service, caters to 43 patients, with an average cost of 2,000 KRW per person.
Each meal was classified into staple food, soup, main dish, side dish 1, side dish 2, and kimchi. Six types of staple foods were utilized, namely, cooked white rice, cooked mixed-grain rice, rice with toppings, bibimbap and gimbap, noodles, and porridge. Soups included guk, tang, jjigae, and western-style soups. Main and supplementary side dishes were classified by cooking method into grilled, pan-fried, braised, stir-fried, steamed, deep-fried, seasoned blanched vegetables (parboiled), seasoned fresh vegetables (raw), and pickled vegetables.
This study categorized side dishes into two types based on the Korean meal composition: side dish 1 as the first supplementary dish and side dish 2 as the second supplementary dish. These side dishes are regarded as essential components of Korean meals, enhancing dietary diversity and nutritional balance. When only one side dish was served, it was consistently recorded as side dish 1.
The frequency and percentage distribution of protein foods were calculated, and protein sources were categorized into meats, fish and shellfish, eggs, and legumes. In addition, protein sources were classified as processed or unprocessed foods.
This study did not involve human subjects or animal experiments; thus, ethical approval from an institutional review board was not required.
Statistical analysis
All analyses were conducted using SAS version 9.4 (SAS Institute Inc., Cary, NC, USA). Descriptive statistics, including frequency, percentage, mean, and standard deviation, were calculated. Differences between public and private hospital groups were examined using the χ2-test. When > 20% of the cells had an expected frequency of < 5, Fisher’s exact test was applied. A significance level of p < 0.05 was used for all analyses.
Meal composition types of public and private geriatric long-term care hospitals
As shown in Table 1, the predominant meal composition type included staple food, soup, main dish, side dish 1, side dish 2, and kimchi, accounting for > 90% of meals. Public hospitals exhibited greater variations in meal patterns, whereas private hospitals predominantly utilized a standard combination. The distribution of meal composition types varied significantly between public and private hospitals (p < 0.001).
Table 1

Meal compositions in public and private long-term care hospitals

Table 1
Menu composition type Total Public long-term care hospitals Private long-term care hospitals χ2-value p value
Staple, soup, main dish, side dish 1, side dish 2, and kimchi 691 (91.4) 336 (88.9) 355 (94.0) 18.6261 < 0.001*
Staple, soup, main dish, side dish 1, and kimchi 26 (3.4) 15 (4.0) 11 (3.0)
Staple, soup, side dish 1, side dish 2, and kimchi 23 (3.0) 20 (5.3) 3 (0.8)
Staple, main dish, side dish 1, side dish 2, and kimchi 13 (1.7) 4 (1.1) 9 (2.4)
Staple, side dish 1, side dish 2, and kimchi 3 (0.4) 3 (0.8) 0 (0.0)
Total 765 (100.0) 378 (100.0) 378 (100.0)
Values are presented as number (%).
*Fisher’s exact test.
Utilization of protein foods in staple dish
Table 2 shows the utilization of staple dish types and protein foods. Cooked white rice was the most frequently served; however, compared with private hospitals, public hospitals served a greater variety, including mixed grains and specialty rice dishes (p < 0.001). Protein foods were rarely included in staple dishes (overall 4.0%), with no significant difference between hospital types. Meat was the main protein source, followed by fish and shellfish. The overall proportion of processed protein foods was low, with no significant group differences.
Table 2

Staple food menus and utilization of protein food groups in public and private long-term care hospitals

Table 2
Variable Total Public long-term care hospitals Private long-term care hospitals χ2-value p value
Types of staple dish 20.1804 < 0.001*
Cooked white rice 687 (90.9) 333 (88.1) 354 (93.7)
Cooked mixed-grain rice 19 (2.5) 17 (4.5) 2 (0.6)
Rice with toppings 23 (3.0) 16 (4.2) 7 (1.9)
Bibimbap and gimbap 7 (0.9) 5 (1.3) 2 (0.5)
Noodles 18 (2.3) 7 (1.9) 11 (3.0)
Porridge 2 (0.3) 0 (0.00) 2 (0.5)
Total 756 (100.0) 378 (100.0) 378 (100.0)
Inclusion of protein food groups in staple 1.2496 0.264
Included 30 (4.0) 18 (4.8) 12 (3.2)
Not included 726 (96.0) 360 (95.2) 366 (96.8)
Total 756 (100.0) 378 (100.0)
Types of protein foods used in staple 0.6981 1.000*
Meat 22 (73.3) 13 (72.2) 9 (75.0)
Fish 7 (23.3) 4 (22.2) 3 (25.0)
Legumes 1 (3.3) 1 (5.6) 0 (0.0)
Total 30 (100.0) 18 (100.0) 12 (100.0)
Whether protein foods in staple food are processed 0.6897 1.000*
Yes 1 (3.3) 1 (5.6) 0 (0.0)
No 29 (96.7) 17 (94.4) 12 (100.0)
Total 30 (100.0) 18 (100.0) 12 (100.0)
Values are presented as number (%).
*Fisher’s exact test.
Utilization of protein foods in soups
As shown in Table 3, nearly all meals had soups (> 97%), showing no significant difference between public and private hospitals. However, public hospitals predominantly served jjigae and tang, whereas private hospitals mainly provided guk (p < 0.001). Protein foods were included in approximately 61% of soups, with public hospitals showing a higher inclusion rate than private hospitals (p < 0.01). Fish and shellfish were the most common protein sources, followed by meat, legumes, and eggs. Approximately 44% of protein foods in soups were processed, showing no significant between-group differences.
Table 3

Soup menus and utilization of protein food groups in public and private long-term care hospitals

Table 3
Variable Total Public long-term care hospitals Private long-term care hospitals χ2-value p value
Inclusion of soup 0.2554 0.613
Yes 740 (97.9) 371 (98.2) 369 (97.6)
No 16 (2.1) 7 (1.9) 9 (2.4)
Total 756 (100.0) 378 (100.0) 378 (100.0)
Types of soup dish 26.1074 < 0.001
Korean soup (guk) 567 (76.6) 256 (69.0) 311 (84.3)
Korean soup (tang) 70 (9.5) 51 (13.7) 19 (5.2)
Korean stew (jjigae) 94 (12.7) 58 (15.6) 36 (9.8)
Western style soup 9 (1.2) 6 (1.6) 3 (0.8)
Total 740 (100.0) 371 (100.0) 369 (100.0)
Inclusion of protein food groups in soup 9.3447 0.002
Included 461 (61.0) 251 (66.4) 210 (55.6)
Not included 295 (39.0) 127 (33.6) 168 (44.4)
Total 756 (100.0) 378 (100.0) 378 (100.0)
Types of protein foods used in soup 1.9456 0.584
Meat 165 (35.8) 91 (36.3) 74 (35.2)
Fish 193 (41.9) 101 (40.2) 92 (43.8)
Egg 27 (5.9) 13 (5.2) 14 (6.7)
Legumes 76 (16.5) 46 (18.3) 30 (14.3)
Total 461 (100.0) 251 (100.0) 210 (100.0)
Whether protein foods in soup are processed 0.3345 0.563
Yes 204 (44.2) 108 (43.0) 96 (45.7)
No 257 (55.8) 143 (57.0) 114 (54.3)
Total 461 (100.0) 251 (100.0) 210 (100.0)
Values are presented as number (%).
Utilization of protein foods in main dish
As shown in Table 4, main dishes were served in > 95% of meals; however, the provision rate was significantly lower in public hospitals than in private hospitals (p < 0.001). Stir-fried dishes predominated overall; however, distributions differed between hospital types (p < 0.05). Protein sources were mainly meat, followed by fish and shellfish, eggs, and legumes, showing no significant group differences. Approximately 30% of main dish proteins were processed foods, showing no significant between-group differences.
Table 4

Main dishes and utilization of protein food groups in public and private long-term care hospitals

Table 4
Variable Total Public long-term care hospitals Private long-term care hospitals χ2-value p value
Inclusion of main dish 15.9326 < 0.001*
Yes 730 (96.6) 355 (93.9) 375 (99.2)
No 26 (3.4) 23 (6.1) 3 (0.8)
Total 756 (100.0) 378 (100.0) 378 (100.0)
Types of main dish 16.7683 0.019
Grilled 27 (3.7) 15 (4.2) 12 (3.2)
Pan-fried 42 (5.8) 15 (4.2) 27 (7.2)
Braised 204 (28.0) 98 (27.6) 106 (28.3)
Stir-fried 308 (42.2) 160 (45.1) 148 (39.5)
Steamed 97 (13.3) 34 (9.6) 63 (16.8)
Deep-fried 25 (3.4) 16 (4.5) 9 (2.4)
Seasoned blanched vegetables 23 (3.2) 15 (4.2) 8 (2.1)
Seasoned fresh vegetables 4 (0.6) 2 (0.6) 2 (0.5)
Total 730 (100.0) 355 (100.0) 375 (100.0)
Types of protein foods used in main dish 2.7977 0.424
Meat 391 (53.6) 188 (48.1) 203 (54.1)
Fish 233 (31.9) 115 (32.4) 118 (31.5)
Egg 65 (8.9) 36 (10.1) 29 (7.7)
Legumes 41 (5.6) 16 (4.5) 25 (6.7)
Total 730 (100.0) 355 (100.0) 375 (100.0)
Whether protein foods in main dish are processed 1.1068 0.293
Yes 221 (30.3) 114 (32.1) 107 (28.5)
No 509 (69.7) 241 (67.9) 268 (71.5)
Total 730 (100.0) 355 (100.0) 375 (100.0)
Values are presented as number (%).
*Fisher’s exact test.
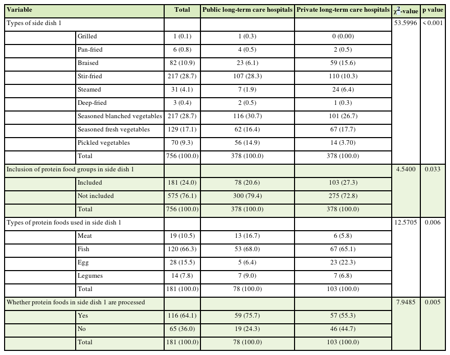
Utilization of protein foods in side dish 1
As shown in Table 5, all meals included side dish 1. Preparation types varied significantly between hospital types (p < 0.001), with public hospitals serving more seasoned blanched vegetables, whereas private hospitals utilizing more braised and steamed dishes. Approximately 25% of dishes included protein foods, with private hospitals showing a significantly higher proportion than public hospitals (p < 0.05). Fish and shellfish were the main protein sources, followed by eggs, meat, and legumes. Compared with private hospitals, public hospitals utilized a higher proportion of processed protein foods (p < 0.01).
Table 5

Side dish 1 menu and utilization of protein food groups in public and private long-term care hospitals

Table 5
Variable Total Public long-term care hospitals Private long-term care hospitals χ2-value p value
Types of side dish 1 53.5996 < 0.001
Grilled 1 (0.1) 1 (0.3) 0 (0.00)
Pan-fried 6 (0.8) 4 (0.5) 2 (0.5)
Braised 82 (10.9) 23 (6.1) 59 (15.6)
Stir-fried 217 (28.7) 107 (28.3) 110 (10.3)
Steamed 31 (4.1) 7 (1.9) 24 (6.4)
Deep-fried 3 (0.4) 2 (0.5) 1 (0.3)
Seasoned blanched vegetables 217 (28.7) 116 (30.7) 101 (26.7)
Seasoned fresh vegetables 129 (17.1) 62 (16.4) 67 (17.7)
Pickled vegetables 70 (9.3) 56 (14.9) 14 (3.70)
Total 756 (100.0) 378 (100.0) 378 (100.0)
Inclusion of protein food groups in side dish 1 4.5400 0.033
Included 181 (24.0) 78 (20.6) 103 (27.3)
Not included 575 (76.1) 300 (79.4) 275 (72.8)
Total 756 (100.0) 378 (100.0) 378 (100.0)
Types of protein foods used in side dish 1 12.5705 0.006
Meat 19 (10.5) 13 (16.7) 6 (5.8)
Fish 120 (66.3) 53 (68.0) 67 (65.1)
Egg 28 (15.5) 5 (6.4) 23 (22.3)
Legumes 14 (7.8) 7 (9.0) 7 (6.8)
Total 181 (100.0) 78 (100.0) 103 (100.0)
Whether protein foods in side dish 1 are processed 7.9485 0.005
Yes 116 (64.1) 59 (75.7) 57 (55.3)
No 65 (36.0) 19 (24.3) 46 (44.7)
Total 181 (100.0) 78 (100.0) 103 (100.0)
Values are presented as number (%).
Utilization of protein foods in side dish 2
As shown in Table 6, > 95% of meals included side dish 2, showing significant differences in dish types between hospital types (p < 0.001). Private hospitals offered more pickled vegetables and seasoned fresh vegetables dishes, whereas public hospitals served more grilled items. Meals rarely included protein foods (overall 1.5%), with no significant difference in the proportion between the groups. When present, fish and shellfish predominated in private hospitals, whereas eggs and legumes were mainly served in public hospitals (p < 0.05).
Table 6

Side dish 2 menu and utilization of protein food groups in public and private long-term care hospitals

Table 6
Variable Total Public long-term care hospitals Private long-term care hospitals χ2-value p value
Inclusion of side dish 2 0.6373 0.425
Yes 730 (95.6) 363 (96.0) 367 (97.1)
No 26 (3.4) 15 (4.0) 11 (2.9)
Total 756 (100.0) 378 (100.0) 378 (100.0)
Types of side dish 2 85.2462 < 0.001
Grilled 189 (25.9) 125 (34.4) 64 (17.4)
Pan-fried 0 (0.0) 0 (0.0) 0 (0.0)
Braised 7 (1.0) 4 (1.1) 3 (0.8)
Stir-fried 60 (8.2) 32 (8.8) 28 (7.6)
Steamed 13 (1.8) 10 (2.8) 3 (0.8)
Deep-fried 1 (0.1) 1 (0.3) 0 (0.0)
Seasoned blanched vegetables 130 (17.8) 75 (20.7) 55 (15.0)
Seasoned fresh vegetables 159 (21.8) 80 (22.0) 79 (21.5)
Pickled vegetables 171 (23.4) 36 (9.9) 135 (36.8)
Total 730 (100.0) 363 (100.0) 367 (100.0)
Inclusion of protein food groups in side dish 2 2.3063 0.129
Included 11 (1.5) 3 (0.8) 8 (2.1)
Not included 745 (98.5) 375 (99.2) 370 (97.9)
Total 756 (100.0) 378 (100.0) 378 (100.0)
Types of protein foods used in side dish 2 8.4792 0.024*
Fish 7 (63.6) 0 (0.0) 7 (87.5)
Egg 2 (18.2) 2 (66.7) 0 (0.0)
Legumes 2 (18.2) 1 (33.3) 1 (12.5)
Total 11 (100.0) 3 (100.0) 8 (100.0)
Whether protein foods in side dish 2 are processed - -
Yes 11 (100.0) 3 (100.0) 8 (100.0)
No 0 (0.0) 0 (0.0) 0 (0.0)
Total 11 (100.0) 3 (100.0) 8 (100.0)
Values are presented as number (%).
*Fisher’s exact test.
This study qualitatively analyzed meal composition and the utilization of protein-rich foods in public and private long-term care hospitals located in Chungnam and Gyeonggi provinces and compared differences by hospital type.
Results of meal composition analysis showed that the predominant pattern in both public and private hospitals included staple food, soup, main dish, side dish 1, side dish 2, and kimchi (88.9% and 94.0%, respectively). Compared with private hospitals, public hospitals were more likely to omit the main dish, largely because one-dish meals, such as rice with toppings or bibimbap, were served without an additional main dish. Nearly all meals included soups, with public hospitals offering a higher proportion of guk but a lower proportion of jjigae than private hospitals.
Approximately 97% of meals included main dishes, with stir-fried, braised, and steamed items most common in both groups. Side dish 1 most often included stir-fried and seasoned blanched vegetables, whereas side dish 2 often consisted of grilled, pickled vegetables, or seasoned fresh vegetables. Public hospitals tended to serve more stir-fried and grilled items, whereas private hospitals offered a higher proportion of fresh or pickled vegetables. These findings are consistent with the results of a previous study reporting that 56.1% of elderly care facilities typically serve one or two vegetable side dishes in addition to kimchi [22]. Overall, meat and vegetables were commonly used in the main and side dishes, aligning with earlier findings that older adults most often preferred these food groups [19].
Sufficient protein intake is closely related to frailty and chronic disease risk. Cohort studies have indicated that a 20% increase in protein intake was associated with a 32% lower risk of frailty [20] and individuals with higher protein intake had a 34% lower risk of frailty than those with lower intake [21]. Despite its importance, results of the analysis of the 2013–2017 Korea National Health and Nutrition Examination Survey data revealed that the average daily protein intake among adults aged ≥ 65 years was 19.1 g lower for men and 14.7 g lower for women than that of individuals aged 19–29 years [22]. As long-term care hospitals provide three meals per day for older adults, supplying high-quality protein is essential for maintaining health, preventing frailty, and managing chronic diseases.
In this study, only 4% of staple dishes included protein foods, showing no difference between hospital types, and they primarily included in specialty rice dishes, such as bibimbap or rice with toppings. Thus, soups, main dishes, and side dishes were the main protein sources. Among main dishes, meat was the predominant protein source, followed by fish and shellfish (31.9%) and eggs (8.9%), showing no significant difference between hospital types. Notably, soups were the second major protein source after main dishes, with public hospitals including protein foods more often than private hospitals. Fish and shellfish were the most common protein sources in soups, followed by meat and legumes. As older adults often experience tooth loss and swallowing difficulty, they tend to rely more on soups and stews for food intake [23]. These findings emphasize the significance of soups as important protein sources for older inpatients. However, excessive soup consumption may lead to high sodium intake because of added seasonings, which is closely associated with hypertension in older adults [24]. Therefore, nutrition education is essential to promote salt reduction in soup preparation and increase the consumption of softened solid ingredients rather than broth.
When side dish 1 contained proteins, public hospitals showed a lower inclusion rate (20.6%) than private hospitals (27.3%). Fish and shellfish predominated, followed by eggs, meat, and legumes. Fish is a valuable source of high-quality proteins and micronutrients, such as calcium, iron, and zinc [25], which are often lacking in the diets of older adults. Adequate fish consumption can help lower frailty risk, as studies have linked higher fish intake with a lower incidence of frailty [21, 26]. As observed in this study, the frequent inclusion of fish in hospital meals is therefore encouraging for meeting the nutritional needs of older inpatients.
With respect to processed protein foods, approximately 30% of the protein sources in main dishes and 64.1% in side dish 1 were processed products. Public hospitals showed a higher reliance on processed protein foods in side dish 1 (75.7%) than private hospitals (55.3%). Processing often reduces vitamin and mineral contents, such as thiamin, folate, iron, zinc, and calcium [27], whereas increasing sodium and sugar levels [28, 29]. Moreover, protein density tends to decrease with increasing degree of processing [30]. The frequent inclusion of processed protein foods in foodservices in long-term care facilities may be associated with cost constraints, labor considerations, and cooking convenience.
Taken together, meals served in long-term care hospitals generally followed a typical Korean structure of staple food, soup, main dish, two side dishes, and kimchi. Compared with private hospitals, public hospitals demonstrated greater variations in meal composition (staple dishes, soups, and main dishes). In both hospital types, meat accounted for approximately half of the protein sources in main dishes, whereas fish and shellfish represented approximately one-third. Approximately 30% of protein sources in main dishes were processed foods, with comparable proportions across the groups. However, the proportion of protein-containing dishes was lower in side dish 1 of public hospitals, and when served, processed products made up more than two-thirds in both groups, with a significantly higher proportion in public hospitals. Soups served as the second most important protein source after main dishes, with fish and shellfish being the primary contributors. These findings indicate that main dishes and soups are the key protein sources in long-term care hospital meals, and the high inclusion of fish represents a favorable trend. Nonetheless, the substantial reliance on processed protein foods highlights the need to reconsider foodservice practices, considering the importance of high-quality protein for older adults.
This study identified the typical meal composition and protein food utilization patterns in long-term care hospitals in South Korea. Meals generally followed the traditional Korean meal structure, with main dishes and soups serving as the major sources of protein, while fish and shellfish were frequently incorporated. However, the high proportion of processed protein foods highlights the need for improved menu planning to enhance protein quality and support the nutritional needs of older adults. Despite limitations related to sample size and the lack of quantitative intake data, the findings provide baseline evidence for evaluating and improving foodservice practices in hospital settings. Further studies including more hospitals and nutrient intake assessments are warranted to establish evidence-based guidelines for elderly nutrition management in long-term care institutions.

Conflict of Interest: The authors declare that they have no competing interests.

Author Contributions:

  • Conceptualization: Kim MH, Lee HY.

  • Data curation: Lee HY, Choi GE.

  • Formal analysis: Kim MH, Choi GE.

  • Investigation: Lee HY.

  • Methodology: Kim MH.

  • Supervision: Kim MH.

  • Validation: Kim MH, Choi GE.

  • Writing - original draft: Lee HY, Choi GE, Kim MH.

  • Writing - review & editing: Kim MH, Choi GE.

  • 1. Statistics Korea. Major population indicators (gender ratio, population growth rate, population structure, support cost). 2025. cited 2025 July 18. Available from https://kosis.kr/statHtml/statHtml.do?orgId=101&tblId=DT_1BPA002&conn_path=I2
  • 2. Jeong SY, Seong HJ, Yoon JJ, Kim TY, Park SG. Preparing for a super-aged society: measures to improve regional disparities in older adults’ living environments. Sejong: Korea Research Institute for Human Settlements; 2024.
  • 3. Statistics Korea. Abridged life table (life expectancy). 2025. cited 2025 July 18. Available from https://kosis.kr/statHtml/statHtml.do?orgId=101&tblId=DT_1B41&conn_path=I2
  • 4. Ministry of Health and Welfare. 2023 Elderly survey. 2025. cited 2025 July 27. Available from https://www.mohw.go.kr/board.es?mid=a10411010200&bid=0019&act=view&list_no=1483359
  • 5. Statistics Korea. 2024 Elderly statistics. 2025. cited 2025 July 27. Available from https://kostat.go.kr/board.es?mid=a10301060500&bid=10820&act=view&list_no=432917
  • 6. Son DH, Ki PS, Kim CJ, Kim YB, Ka H, et al. 2020 White paper on long-term care hospitals. Seoul: Korean Convalescent Hospital Association; 2021.
  • 7. Korean Law Information Center. Article 36 of the medical care act enforcement rules. 2025. cited 2025 July 27. Available from https://www.law.go.kr/법령/의료법 시행규칙
  • 8. Statistics Korea. Medical institutions by establishment type: health insurance statistics. 2025. cited 2025 July 27. Available from https://kosis.kr/statHtml/statHtml.do?orgId=354&tblId=DT_HIRA43&conn_path=I2
  • 9. Statistics Korea. Status of long-term care institutions by type and establishment category. 2025. cited 2025 August 1. Available from https://kosis.kr/statHtml/statHtml.do?orgId=354&tblId=DT_HIRA43&conn_path=I2
  • 10. Lee YS, Yu SH. Profitability determinants of hospitals. Health Policy Manag 2003;13:129-147.
  • 11. Kim MG, Jo MH. Examining the public perception of performance in public versus private hospitals: using survey experiments. MSPA 2021;31:235-261.
  • 12. National Medical Center. 2023 Guidelines for the operational evaluation of public long-term care hospitals. 2025. cited 2025 August 1. Available from https://www.nid.or.kr/info/dataroom_view.aspx?bid=276
  • 13. Song ES, Kim EJ, Kim MH, Choi MK. Comparative study on dietary life and nutrient intakes of elderly persons at nursing home or their home in Chungnam. J East Asian Soc Dietary Life 2011;21:649-660.
  • 14. Lim HS, Oh EB, Park YK, Chung HY. Study on the nutrient intake and dietary quality of elderly residents on various meal types in long-term care facility. J East Asian Soc Diet Life 2020;30:172-181.
  • 15. Lee E, Kim ID, Lim ST. Physical activity and protein-intake strategies to prevent sarcopenia in older people. Int Health 2025;17:423-430.
  • 16. Ahn HJ. The nutritional intake survey elderly patients in long-term care hospital according to meal types and eating dependency [master’s thesis]. Seoul: Daejin University; 2014.
  • 17. Bae MA, Kim MJ, Chang KJ. Foodservices satisfaction and food preference according to the types and cooking methods of the elderly with dementia in a geriatric hospital. J Korean Soc Food Cult 2017;32:534-548.
  • 18. Kim Y, Lim HS, Lee JH, Lim D, Kim YJ, et al. Survey of food service provision including vegetables, meat, and poultry in older adults care and medical facilities. J Korean Diet Assoc 2025;31:251-264.
  • 19. Jung YH. A study on the patient’s diet of the geriatric hospitals in Ulsan [master’s thesis]. Ulsan: University of Ulsan; 2012.
  • 20. Beasley JM, LaCroix AZ, Neuhouser ML, Huang Y, Tinker L, et al. Protein intake and incident frailty in the Women’s Health Initiative Observational Study. J Am Geriatr Soc 2010;58:1063-1071.
  • 21. Vázquez-Fernández A, Caballero FF, Yévenes-Briones H, Struijk EA, Baylin A, et al. Plant and animal protein intake and transitions from multimorbidity to frailty and mortality in older adults. J Cachexia Sarcopenia Muscle 2025;16:e13729.
  • 22. Kim E, Chung A, Hwang JT, Park YJ. 2020 Korean dietary reference intakes for protein: estimation of protein requirements and the status of dietary protein intake in the Korean population. J Nutr Health 2022;55:10-20.
  • 23. Park JE, An HJ, Jung SU, Lee Y, Kim C, et al. Characteristics of the dietary intake of Korean elderly by chewing ability using data from the Korea National Health and Nutrition Examination Survey 2007–2010. J Nutr Health 2013;46:285-295.
  • 24. Grillo A, Salvi L, Coruzzi P, Salvi P, Parati G. Sodium intake and hypertension. Nutrients 2019;11:1970.
  • 25. Naylor RL, Kishore A, Sumaila UR, Issifu I, Hunter BP, et al. Blue food demand across geographic and temporal scales. Nat Commun 2021;12:5413.
  • 26. Shibasaki K, Kin SK, Yamada S, Akishita M, Ogawa S. Sex-related differences in the association between frailty and dietary consumption in Japanese older people: a cross-sectional study. BMC Geriatr 2019;19:211.
  • 27. Reddy MB, Love M. The impact of food processing on the nutritional quality of vitamins and minerals. In Jackson LS, Knize MG, Morgan JN, eds, ddImpact of processing on food safety. Boston: Springer; 1999, pp 99-106.
  • 28. Ha AW, Kim WK. The food and nutrient intakes from daily processed food in Korean adults: based on the 6th Korea National Health and Nutrition Examination Survey data (2013–2015). J Nutr Health 2019;52:422-434.
  • 29. Park H, Lee Y, Hwang J, Lee Y. Ultra-processed food consumption and increased risk of metabolic syndrome in Korean adults: a cross-sectional analysis of the KNHANES 2016–2020. Nutrition 2024;122:112374.
  • 30. Martínez Steele E, Raubenheimer D, Simpson SJ, Baraldi LG, Monteiro CA. Ultra-processed foods, protein leverage and energy intake in the USA. Public Health Nutr 2018;21:114-124.

Download Citation

Download a citation file in RIS format that can be imported by all major citation management software, including EndNote, ProCite, RefWorks, and Reference Manager.

Format:

Include:

Meal Patterns and Protein Food Utilization in Public and Private Geriatric Long-term Care Hospitals
Clin Nutr Res. 2025;14(4):260-269.   Published online October 28, 2025
Download Citation

Download a citation file in RIS format that can be imported by all major citation management software, including EndNote, ProCite, RefWorks, and Reference Manager.

Format:
Include:
Meal Patterns and Protein Food Utilization in Public and Private Geriatric Long-term Care Hospitals
Clin Nutr Res. 2025;14(4):260-269.   Published online October 28, 2025
Close
Meal Patterns and Protein Food Utilization in Public and Private Geriatric Long-term Care Hospitals
Meal Patterns and Protein Food Utilization in Public and Private Geriatric Long-term Care Hospitals
Staple, soup, main dish, side dish 1, and kimchi26 (3.4)15 (4.0)11 (3.0)Staple, soup, side dish 1, side dish 2, and kimchi23 (3.0)20 (5.3)3 (0.8)Staple, main dish, side dish 1, side dish 2, and kimchi13 (1.7)4 (1.1)9 (2.4)Staple, side dish 1, side dish 2, and kimchi3 (0.4)3 (0.8)0 (0.0)Total765 (100.0)378 (100.0)378 (100.0) Cooked white rice687 (90.9)333 (88.1)354 (93.7)Cooked mixed-grain rice19 (2.5)17 (4.5)2 (0.6)Rice with toppings23 (3.0)16 (4.2)7 (1.9)Bibimbap and gimbap7 (0.9)5 (1.3)2 (0.5)Noodles18 (2.3)7 (1.9)11 (3.0)Porridge2 (0.3)0 (0.00)2 (0.5)Total756 (100.0)378 (100.0)378 (100.0)Inclusion of protein food groups in staple1.24960.264Included30 (4.0)18 (4.8)12 (3.2)Not included726 (96.0)360 (95.2)366 (96.8)Total756 (100.0)378 (100.0)Types of protein foods used in staple0.69811.000* Meat22 (73.3)13 (72.2)9 (75.0)Fish7 (23.3)4 (22.2)3 (25.0)Legumes1 (3.3)1 (5.6)0 (0.0)Total30 (100.0)18 (100.0)12 (100.0)Whether protein foods in staple food are processed0.68971.000* Yes1 (3.3)1 (5.6)0 (0.0)No29 (96.7)17 (94.4)12 (100.0)Total30 (100.0)18 (100.0)12 (100.0) Yes730 (96.6)355 (93.9)375 (99.2)No26 (3.4)23 (6.1)3 (0.8)Total756 (100.0)378 (100.0)378 (100.0)Types of main dish16.76830.019Grilled27 (3.7)15 (4.2)12 (3.2)Pan-fried42 (5.8)15 (4.2)27 (7.2)Braised204 (28.0)98 (27.6)106 (28.3)Stir-fried308 (42.2)160 (45.1)148 (39.5)Steamed97 (13.3)34 (9.6)63 (16.8)Deep-fried25 (3.4)16 (4.5)9 (2.4)Seasoned blanched vegetables23 (3.2)15 (4.2)8 (2.1)Seasoned fresh vegetables4 (0.6)2 (0.6)2 (0.5)Total730 (100.0)355 (100.0)375 (100.0)Types of protein foods used in main dish2.79770.424Meat391 (53.6)188 (48.1)203 (54.1)Fish233 (31.9)115 (32.4)118 (31.5)Egg65 (8.9)36 (10.1)29 (7.7)Legumes41 (5.6)16 (4.5)25 (6.7)Total730 (100.0)355 (100.0)375 (100.0)Whether protein foods in main dish are processed1.10680.293Yes221 (30.3)114 (32.1)107 (28.5)No509 (69.7)241 (67.9)268 (71.5)Total730 (100.0)355 (100.0)375 (100.0) Fish7 (63.6)0 (0.0)7 (87.5)Egg2 (18.2)2 (66.7)0 (0.0)Legumes2 (18.2)1 (33.3)1 (12.5)Total11 (100.0)3 (100.0)8 (100.0)Whether protein foods in side dish 2 are processed--Yes11 (100.0)3 (100.0)8 (100.0)No0 (0.0)0 (0.0)0 (0.0)Total11 (100.0)3 (100.0)8 (100.0)
Table 1 Meal compositions in public and private long-term care hospitals

Values are presented as number (%).

*Fisher’s exact test.

Table 2 Staple food menus and utilization of protein food groups in public and private long-term care hospitals

Values are presented as number (%).

*Fisher’s exact test.

Table 3 Soup menus and utilization of protein food groups in public and private long-term care hospitals

Values are presented as number (%).

Table 4 Main dishes and utilization of protein food groups in public and private long-term care hospitals

Values are presented as number (%).

*Fisher’s exact test.

Table 5 Side dish 1 menu and utilization of protein food groups in public and private long-term care hospitals

Values are presented as number (%).

Table 6 Side dish 2 menu and utilization of protein food groups in public and private long-term care hospitals

Values are presented as number (%).

*Fisher’s exact test.