Skip to main navigation Skip to main content
  • KSCN
  • E-Submission

CNR : Clinical Nutrition Research

OPEN ACCESS
ABOUT
BROWSE ARTICLES
EDITORIAL POLICIES
FOR CONTRIBUTORS

Articles

Original Article

Positive Association Between Nutrient Adequacy and Waist Circumference: Results of a Cross-Sectional Study

Clinical Nutrition Research 2022;11(3):204-213.
Published online: July 25, 2022

Department of Community Nutrition, School of Nutritional Sciences and Dietetics, Tehran University of Medical Sciences (TUMS), Tehran 14155-6117, Iran.

Correspondence to Sakineh Shab-Bidar. Department of Community Nutrition, School of Nutritional Sciences and Dietetics, Tehran University of Medical Sciences (TUMS), Tehran 14155-6117, Iran. s.shabbidar@gmail.com

A preprint has previously been published in Research Square (Jibril AT, Ghorbaninejad P, Sheikhhossein F, Shab-Bidar S. Positive Association Between Nutrient Adequacy and Component of Metabolic Syndrome: Outcome of a Cross-sectional Study. 2021).

• Received: April 3, 2022   • Revised: July 4, 2022   • Accepted: July 12, 2022

Copyright © 2022. The Korean Society of Clinical Nutrition

This is an Open Access article distributed under the terms of the Creative Commons Attribution Non-Commercial License (https://creativecommons.org/licenses/by-nc/4.0/) which permits unrestricted non-commercial use, distribution, and reproduction in any medium, provided the original work is properly cited.

  • 618 Views
  • 0 Download
  • 2 Crossref
prev next
  • Metabolic syndrome (MetS) is a multifactorial disease with its exact causes not completely clear. Micronutrients such as vitamin A, vitamin D, zinc, and magnesium have been associated with MetS components. Our objective was to investigate the association of nutrient adequacy (NA) with MetS components. The present cross-sectional study consisted of 850 adults between 18-59 years from Tehran, Iran. Dietary intake, socio-demographic data, medical history, and anthropometric indices were collected by trained personnel. NA was calculated as the mean intake ratio to the recommended amount of 16 micronutrients. MetS were defined by the consensus of National Cholesterol Education Program-Adult Treatment Panel III criteria. The association between NA and MetS was examined using linear regression analyses after controlling potential confounders. More participants in the highest quartile were obese in terms of general obesity (p = 0004) and abdominal obesity (p = 0.003) compared with subjects in the least quartile. A significant positive correlation was found between waist circumference (WC) and NA even after controlling for all potential confounders (p < 0.001). NA was positively associated with WC among adults living in Tehran.
Metabolic syndrome (MetS) refers to a bunching of some disorders such as central obesity, elevated blood pressure, abnormal homeostasis of glucose, and two types of dyslipidemia; high serum triglyceride (TG) levels and low concentration of high-density lipoprotein cholesterol (HDL-c) concentrations, according to the National Cholesterol Education Program Adult Treatment Panel III criteria [1, 2]. Evidence show MetS to be related to increased risks of type 2 diabetes [3], cardiovascular disease [4], and all-cause mortality among adults [5]. In Asia, the prevalence of MetS has been reported to be between 10%–20% [5], while 8%–35% prevalence was reported in Iran [6].
Several modifiable risk factors, such as undesirable lifestyles and poor dietary patterns, have been attributed to this condition [7]. Thus, dietary intake that involves healthy food items and which causes adequate nutrient intake plays a vital role in the progression of MetS [8].
Looking for a dietary pattern that satisfies the nutritional requirement of a specific population is a necessity to implement nutrition recommendations [9]. The criteria mainly used to clarify adequacy of intake are to prevent deficiency-associated diseases, the prevention of chronic disorders or decrease the risk of diet-related diseases, subclinical nutritional health conditions identified by specific biochemical or functional tests, or requirements to keep the body physiologically balanced [10]. Therefore, nutritional adequacy (NA), referred to as the sufficient intake of essential nutrients needed to fulfill nutrition requirements to maximize health, could be an important marker in assessing participants' nutritional status and health.
Evidence of the effect of nutritional adequacy on MetS is rare. Therefore, the present study aimed to investigate the association of NA with MetS and its components in a large sample of Iranian adult participants.
Study design and participants
We conducted the present cross-sectional study among Iranian adults between 18–59 years referred to five different Health centers in the Tehran region. Inclusion criteria were age between 18–75 years and willingness to participate in the study. Individuals with kidney, liver, lung, and heart diseases were not involved in the study. Pregnant and lactating women, subjects who routinely use supplements or drugs like weight loss, sedative drugs, and thermogenic supplements such as caffeine and green tea were also excluded from the current study. The study guidelines were approved by the ethical committee of Tehran University of Medical Sciences and under the Declaration of Helsinki. After informing participants in detail about the study aims, they signed written informed consent before the study began.
Demographic data
A questionnaire was used to gather demographic characteristics such as age, gender, educational level, marital status, occupation, and smoking status.
Physical activity
The International Physical Activity Questionnaire (IPAQ) was used to evaluate the physical activity levels of participants. Obtained amounts were considered based on Metabolic Equivalents (METs) and sorted into three classes (low: < 600, moderate: 600 to < 1,500, and high ≥ 1,500 MET-minute/week) [11].
Anthropometric and blood pressure assessment
Weight was measured with light apparel and without shoes utilizing a digital scale (Seca 808; Seca, Hamburg, Germany) to the closest of 0.1 kg. Height was measured while standing and keeping the shoulders and hips against the wall without shoes, using a stadiometer (Seca) with an exactness of 0.1 cm. Body mass index (BMI) was calculated as weight divided by height squared and presented as kg/m2. We measured waist circumference (WC) using a non-stretchable tape meter, according to standard guidelines. Waist-to-hip ratio was determined as WC (cm) divided by hip circumference (cm).
After enough rest (at least 15 minutes), blood pressure (measured twice) was assessed using a digital barometer (BC 08, Beurer, Ulm, Germany) whiles the participants were in a sitting position with the mean of two estimations recorded for each person.
Biochemical assessments
Initial, a 10 mL venous blood sample was obtained from each participant following 7–10 hours of fasting, centrifuged for 20 minutes. Fasting blood glucose (FBG) was measured using a commercial kit (Pars Azmoon, Tehran, Iran) by an enzymatic colorimetric test (glucose oxidase). HDL-c was assessed by the cholesterol oxidase phenol-aminopyrine technique, and TG was measured by the enzymatic method of glycerol-3-phosphate oxidase phenol-amino-pyrene with automatic apparatus (Selecta E; Vitalab, Hoogerheide, Netherland).
Dietary assessment and calculation of NA
We assessed usual dietary intake using a valid and reliable 168-item Food Frequency Questionnaire (FFQ) [12] by trained dietitians via face-to-face interviews. Converting consumed food portion sizes to grams was done by household measures [13] and calculated using an adjusted version of NUTRITIONIST IV software for Iranian foods (version 7.0; N-Squared Computing, Salem, OR, USA). NA is defined as the proper intake of essential nutrients needed to meet nutritional requirements for optimal health. Commonly used criteria for defining adequate intake are prevention of deficiency, prevention of chronic illness or reduction of risk of diet-related illness, asymptomatic as identified by specific biochemical or functional means, or diet-related health status, or a requirement to maintain physiological balance [10]. Nutrient adequacy ratio (NAR), which is a measure of the adequacy of nutrients by comparing an individual’s daily intake of a nutrient with the recommended dietary intake or recommended dietary allowance for that nutrient [14], was used to calculate the micronutrient adequacy for each individual. The mean adequacy ratio (MAR) was then calculated as the average of the NAR values for the selected nutrients for each participant [14]. The MAR was therefore derived by summing the NARs and dividing by the number of micronutrients assessed. A total of 10 vitamins (A, B1, B2, B3, B6, B9, B12, C, D, and E) and six minerals (calcium, iron, magnesium, phosphorus, selenium, and zinc) were involved in this study.
MetS definition
The presence of at least three (3) of the accompanying criteria was considered as MetS: (1) central obesity (WC ≥ 102 cm for men and ≥ 88 cm for women); (2) low concentrations of HDL-c (< 50 mg/dL for women and < 40 mg/dL for men); (3) high serum TG levels (≥ 150 mg/dL); (4) abnormal homeostasis of glucose (FBG > 100 mg/dL); and (5) increased blood pressure (systolic blood pressure ≥ 130 mmHg or diastolic blood pressure ≥ 85 mmHg) [15].
Data analysis
We performed all statistical analyses using the Statistical Package for the Social Sciences (SPSS version 25; SPSS Inc., IBM Corp., Armonk, NY, USA). We considered p < 0.05 as the significance level. The normality test was performed by the Kolmogorov-Smirnov test and the Q-Q plot. We analyzed the study participants’ characteristics according to NA quartiles, using one-way analysis of variance (ANOVA) and χ2 tests for continuous and categorical variables, respectively. Data are shown as the mean ± SD for continuous variables and percent (%) for categorical ones. In the next step, for the modeling of relationships, a linear regression test was conducted to assess the association of MetS components with NA after controlling for confounders such as age, sex, total physical activity, smoking habits, educational level, BMI, marital status, and occupation. Odds ratio (OR) and 95% confidence intervals (CIs) were obtained using logistic regression to determine the relationship of the energy-adjusted NA with MetS. The risk was reported in crude and two adjusted models. In this analysis, we considered the first quartile of exposure as the reference category.
Table 1 contains the general characteristics of the participants across quartiles of NA. A total of 850 participants participated in this study, of which 266 (31.3%) were males. The mean age of participants was 44.74 ± 10.75 years old. The mean BMI in the highest quartile was significantly higher compared to the least quartile (28.30 ± 5.58 kg/m2 to 26.81 ± 4.30 kg/m2, p = 0.01, p-trend = 0.031). More participants in the highest quartile were obese with general obesity (p = 0004, p-trend = 0.006) and abdominal obesity (p = 0.003, p-trend = 0.007) compared with participants in the least quartile.
Table 1

General characteristics of participants across quartiles of energy-adjusted nutrient adequacy

Table 1
Variables Quartiles of nutrient adequacy
Q1 Q2 Q3 Q4 p value*
Samples 212 (24.90) 214 (25.20) 212 (24.90) 212 (24.90)
Q ranges ≤ 0.6861 0.6862–0.7792 0.7793–0.8525 ≥ 0.8526
Age (yr) 45.74 ± 10.54 45.19 ± 10.13 44.36 ± 11.15 43.67 ± 11.11 0.20
BMI (kg/m2) 26.81 ± 4.30 28.07 ± 4.54 28.27 ± 7.25 28.30 ± 5.58 0.01
WC (cm) 90.18 ± 13.17 93.08 ± 12.12 92.53 ± 11.69 92.49 ± 12.59 0.07
FBG (mg/dL) 107.73 ± 57.23 109.37 ± 42.63 110.04 ± 35.17 106.53 ± 31.50 0.83
TG (mg/dL) 149.16 ± 87.46 139.43 ± 72.32 147.54 ± 77.18 145.63 ± 80.18 0.60
HDL-c (mg/dL) 49.74 ± 9.88 50.76 ± 10.43 49.28 ± 10.39 49.76 ± 10.12 0.49
SBP (mmHg) 119.03 ± 26.19 120.49 ± 22.60 119.40 ± 19.89 119.92 ± 20.22 0.91
DBP (mmHg) 78.80 ± 15.09 78.47 ± 15.13 78.17 ± 12.94 78.00 ± 12.07 0.93
Gender (men) 80 (30.10) 74 (27.80) 65 (24.40) 47 (17.70) 0.004
Education (university graduate) 62 (21.20) 80 (27.40) 75 (25.70) 75 (25.70) 0.30
Occupation (employed) 55 (25.00) 57 (25.90) 44 (20.00) 64 (29.10) 0.15
Marital status (married) 169 (24.60) 172 (25.00) 173 (25.10) 174 (25.30) 0.96
Smoking status (current smoker) 13 (29.50) 11 (25.00) 10 (22.70) 10 (22.70) 0.97
Physically active (moderate) 75 (24.20) 78 (25.20) 80 (25.80) 77 (24.80) 0.77
General obesity 40 (16.70) 62 (25.80) 68 (28.30) 70 (29.20) 0.004
Abdominal obesity 80 (19.30) 114 (27.50) 107 (25.80) 113 (27.30) 0.003
Metabolic syndrome§ 22 (21.40) 31 (30.10) 28 (27.20) 22 (21.40) 0.46
Data are presented as mean ± SD or number (%).
BMI, body mass index; WC, waist circumference; FBG, fasting blood glucose; TG, triglyceride; HDL-c, high-density lipoprotein-cholesterol; SBP, systolic blood pressure; DBP, diastolic blood pressure.
*Calculated by χ2 and analysis of variance for qualitative and quantitative variables, respectively and p < 0.05 indicates a significant level; General obesity is considered as BMI ≥ 30 kg/m2; Abdominal obesity is considered as WC ≥ 88 cm for women and ≥ 102 cm for men; §Hypertriglyceridemia, Hypertension, Hyperglycemia, Low-High Density Lipoprotein cholesterol, Enlarged waist circumference.
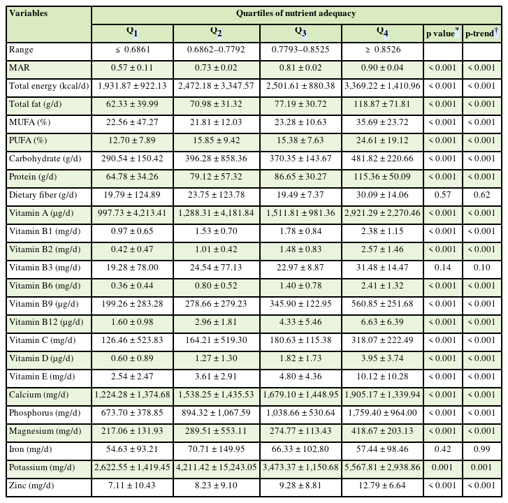
Table 2 contains the dietary intake of the study participants across quartiles of NA. The MAR scores and total energy intake significantly increased across the groups, p < 0.001. Also, we observed the mean intakes of carbohydrate, protein, total fat, monounsaturated fatty acid, and polyunsaturated fatty acid in the first quartile to be significantly lower compared to the fourth quartile. Furthermore, significant differences were seen across the groups for the intakes of all the micronutrients except vitamin B3 (p = 0.14) and iron (p = 0.42).
Table 2

Dietary intakes of participants across quartiles of energy-adjusted nutrient adequacy

Table 2
Variables Quartiles of nutrient adequacy
Q1 Q2 Q3 Q4 p value* p-trend
Range ≤ 0.6861 0.6862–0.7792 0.7793–0.8525 ≥ 0.8526
MAR 0.57 ± 0.11 0.73 ± 0.02 0.81 ± 0.02 0.90 ± 0.04 < 0.001 < 0.001
Total energy (kcal/d) 1,931.87 ± 922.13 2,472.18 ± 3,347.57 2,501.61 ± 880.38 3,369.22 ± 1,410.96 < 0.001 < 0.001
Total fat (g/d) 62.33 ± 39.99 70.98 ± 31.32 77.19 ± 30.72 118.87 ± 71.81 < 0.001 < 0.001
MUFA (%) 22.56 ± 47.27 21.81 ± 12.03 23.28 ± 10.63 35.69 ± 23.72 < 0.001 < 0.001
PUFA (%) 12.70 ± 7.89 15.85 ± 9.42 15.38 ± 7.63 24.61 ± 19.12 < 0.001 < 0.001
Carbohydrate (g/d) 290.54 ± 150.42 396.28 ± 858.36 370.35 ± 143.67 481.82 ± 220.66 < 0.001 < 0.001
Protein (g/d) 64.78 ± 34.26 79.12 ± 57.32 86.65 ± 30.27 115.36 ± 50.09 < 0.001 < 0.001
Dietary fiber (g/d) 19.79 ± 124.89 23.75 ± 123.78 19.49 ± 7.37 30.09 ± 14.06 0.57 0.62
Vitamin A (µg/d) 997.73 ± 4,213.41 1,288.31 ± 4,181.84 1,511.81 ± 981.36 2,921.29 ± 2,270.46 < 0.001 < 0.001
Vitamin B1 (mg/d) 0.97 ± 0.65 1.53 ± 0.70 1.78 ± 0.84 2.38 ± 1.15 < 0.001 < 0.001
Vitamin B2 (mg/d) 0.42 ± 0.47 1.01 ± 0.42 1.48 ± 0.83 2.57 ± 1.46 < 0.001 < 0.001
Vitamin B3 (mg/d) 19.28 ± 78.00 24.54 ± 77.13 22.97 ± 8.87 31.48 ± 14.47 0.14 0.10
Vitamin B6 (mg/d) 0.36 ± 0.44 0.80 ± 0.52 1.40 ± 0.78 2.41 ± 1.32 < 0.001 < 0.001
Vitamin B9 (µg/d) 199.26 ± 283.28 278.66 ± 279.23 345.90 ± 122.95 560.85 ± 251.68 < 0.001 < 0.001
Vitamin B12 (µg/d) 1.60 ± 0.98 2.96 ± 1.81 4.33 ± 5.46 6.63 ± 6.39 < 0.001 < 0.001
Vitamin C (mg/d) 126.46 ± 523.83 164.21 ± 519.30 180.63 ± 115.38 318.07 ± 222.49 < 0.001 < 0.001
Vitamin D (µg/d) 0.60 ± 0.89 1.27 ± 1.30 1.82 ± 1.73 3.95 ± 3.74 < 0.001 < 0.001
Vitamin E (mg/d) 2.54 ± 2.47 3.61 ± 2.91 4.80 ± 4.36 10.12 ± 10.28 < 0.001 < 0.001
Calcium (mg/d) 1,224.28 ± 1,374.68 1,538.25 ± 1,435.53 1,679.10 ± 1,448.95 1,905.17 ± 1,339.94 < 0.001 < 0.001
Phosphorus (mg/d) 673.70 ± 378.85 894.32 ± 1,067.59 1,038.66 ± 530.64 1,759.40 ± 964.00 < 0.001 < 0.001
Magnesium (mg/d) 217.06 ± 131.93 289.51 ± 553.11 274.77 ± 113.43 418.67 ± 203.13 < 0.001 < 0.001
Iron (mg/d) 54.63 ± 93.21 70.71 ± 149.95 66.33 ± 102.80 57.44 ± 98.46 0.42 0.99
Potassium (mg/d) 2,622.55 ± 1,419.45 4,211.42 ± 15,243.05 3,473.37 ± 1,150.68 5,567.81 ± 2,938.86 0.001 0.001
Zinc (mg/d) 7.11 ± 10.43 8.23 ± 9.10 9.28 ± 8.81 12.79 ± 6.64 < 0.001 < 0.001
Data are presented as mean ± SD.
MAR, mean adequacy ratio; MUFA, monounsaturated fatty acid; PUFA, polyunsaturated fatty acid.
*Calculated by analysis of variance and p < 0.05 indicates significant level; Based on Post Hoc Test and p < 0.05 indicates a significant level.
Linear regression analysis between MetS components and NA is shown in Table 3. We observed a significant positive correlation between WC and NA (β = 0.10, 95% CI = 3.78–16.00, p = 0.002) in the crude model. The observed correlation remained significant even after controlling for all potential confounding variables (p < 0.001). We did not find any correlation between NA and other components of MetS in this population.
Table 3

Association of energy-adjusted nutrient adequacy with metabolic syndrome components

Table 3
Variables Nutrient adequacy
β (SE) 95% CI R2 p value*
TG (mg/dL)
Crude 0.02 (19.99) −27.47, 51.02 < 0.001 0.55
Model 1 0.02 (20.07) −27.13, 51.65 0.003 0.54
Model 2 0.02 (20.22) −24.32, 55.08 0.01 0.44
SBP (mmHg)
Crude 0.03 (5.62) −5.42, 16.66 0.001 0.31
Model 1 0.05 (5.22) −2.05, 18.44 0.14 0.11
Model 2 0.05 (5.19) −2.05, 18.33 0.17 0.11
DBP (mmHg)
Crude −0.01 (3.49) −8.45, 5.24 < 0.001 0.64
Model 1 −0.006 (3.42) −7.36, 6.08 0.04 0.85
Model 2 −0.02 (3.34) −9.38, 3.73 0.11 0.39
FBG (mg/dL)
Crude −0.002 (10.76) −21.82, 20.42 < 0.001 0.94
Model 1 0.001 (10.80) −20.79, 21.61 0.002 0.97
Model 2 −0.001 (10.85) −21.47, 21.13 0.01 0.98
HDL-c (mg/dL)
Crude −0.04 (2.56) −8.03, 2.05 0.002 0.24
Model 1 −0.04 (2.57) −8.18, 1.92 0.006 0.22
Model 2 −0.04 (2.58) −8.66, 1.49 0.02 0.16
WC (cm)
Crude 0.10 (3.11) 3.78, 16.00 0.01 0.002
Model 1 0.13 (2.79) 6.93, 17.91 0.21 < 0.001
Model 2 0.13 (2.76) 6.84, 17.70 0.23 < 0.001
β, standardized coefficients; SE, standard error; CI, confidence interval; R2, R square; TG, triglyceride; SBP, systolic blood pressure; DBP, diastolic blood pressure; FBG, fasting blood glucose; HDL-c, high-density lipoprotein-cholesterol; WC, waist circumference.
*These p values are reported based on the linear regression test and are considered significant at < 0.05; Model 1: adjusted for age + sex; Model 2: Model 1 + total physical activity + smoking habits + educational level + BMI + marital status + occupation.
The odds of MetS and its components across quartiles of NA can be found in Table 4. Logistic regression analysis revealed in the crude model that nutrient adequate participants in the second, third, and fourth quartile had greater odds of having enlarged WC, (OR = 1.88, 95% CI = 1.27–2.76, p = 0.001), (OR = 1.68, 95% CI = 1.14–2.47, p = 0.008), and (OR = 1.88, 95% CI = 1.27–2.77, p = 0.001) respectively. Also, after adjusting for age and sex, the odds of having enlarged WC was still positive for the subjects in the second (OR = 2.15, 95% CI = 1.40–3.29, p < 0.001), third (OR = 1.88, 95% CI = 1.23–2.89, p = 0.004), and fourth (OR = 1.98, 95% CI = 1.29–3.05, p = 0.002) quartile. The result remained significantly positive for the second (p < 0.001), third (p = 0.003), and fourth quartile (p = 0.001) even after additional control for physical activity, smoking status, educational level, marital status, and occupation. Non-significant associations were found for the other variables.
Table 4

Odds ratio and 95% confidence interval for metabolic syndrome and its components across quartiles of nutrient adequacy

Table 4
Variables Quartiles of nutrient adequacy
Q1 (n = 212) Q2 (n = 214) Q3 (n = 212) Q4 (n = 212)
Reference p value* OR (95% CI) p value* OR (95% CI) p value* OR (95% CI) p value*
Metabolic syndrome
Crude 1 0.46 1.46 (0.81–2.62) 0.20 1.31 (0.72–2.38) 0.36 1.00 (0.53–1.86) 1.00
Model 1 1 0.45 1.46 (0.81–2.63) 0.20 1.32 (0.72–2.40) 0.35 0.99 (0.52–1.86) 0.98
Model 2 1 0.44 1.45 (0.80–2.61) 0.21 1.30 (0.71–2.38) 0.38 0.96 (0.51–1.82) 0.91
Hypertriglyceridemia
Crude 1 0.40 0.83 (0.56–1.24) 0.37 1.17 (0.79–1.72) 0.42 0.94 (0.63–1.39) 0.76
Model 1 1 0.41 0.83 (0.56–1.24) 0.37 1.16 (0.78–1.71) 0.44 0.93 (0.63–1.39) 0.74
Model 2 1 0.40 0.85 (0.57–1.27) 0.44 1.20 (0.80–1.78) 0.36 0.97 (0.65–1.45) 0.89
Hypertension
Crude 1 0.93 0.95 (0.57–1.59) 0.86 0.86 (0.51–1.46) 0.59 0.86 (0.51–1.46) 0.59
Model 1 1 0.87 0.94 (0.56–1.57) 0.83 0.84 (0.50–1.42) 0.52 0.83 (0.49–1.40) 0.48
Model 2 1 0.86 0.95 (0.56–1.60) 0.85 0.85 (0.50–1.46) 0.56 0.81 (0.47–1.39) 0.44
Hyperglycemia
Crude 1 0.29 1.14 (0.62–2.09) 0.66 1.53 (0.86–2.74) 0.14 0.90 (0.47–1.70) 0.74
Model 1 1 0.29 1.14 (0.62–2.11) 0.65 1.55 (0.86–2.78) 0.13 0.92 (0.48–1.75) 0.80
Model 2 1 0.24 1.16 (0.62–2.15) 0.62 1.60 (0.88–2.90) 0.11 0.91 (0.47–1.76) 0.79
Low HDL-c
Crude 1 0.98 1.02 (0.59–1.76) 0.92 0.96 (0.55–1.66) 0.88 0.92 (0.53–1.60) 0.77
Model 1 1 0.99 1.03 (0.60–1.77) 0.90 0.97 (0.56–1.68) 0.92 0.95 (0.54–1.67) 0.86
Model 2 1 0.98 1.11 (0.63–1.93) 0.70 1.02 (0.58–1.80) 0.92 1.02 (0.57–1.81) 0.93
Enlarged WC
Crude 1 0.003 1.88 (1.27–2.76) 0.001 1.68 (1.14–2.47) 0.008 1.88 (1.27–2.77) 0.001
Model 1 1 0.002 2.15 (1.40–3.29) < 0.001 1.88 (1.23–2.89) 0.004 1.98 (1.29–3.05) 0.002
Model 2 1 0.001 2.25 (1.46–3.48) < 0.001 1.92 (1.24–2.96) 0.003 2.06 (1.33–3.19) 0.001
HDL-c, high-density lipoprotein-cholesterol; WC, waist circumference.
*These p values are reported based on the logistic regression test and are considered significant at < 0.05; Model 1: adjusted for age + sex; Model 2: Model 1 + total physical activity + smoking habits+ educational level + BMI + marital status + occupation.
To our knowledge, this is the first study to investigate the association between NA and odds of having MetS among the Iranian population. Of the 850 participants, the prevalence of MetS was 12.12%, and the mean BMI and WC were 27.87 kg/m2 and 92.08 cm, respectively. Participants in the highest quartile had a significantly high score for general and abdominal obesity. Overall, NA increased significantly across the quartiles. Energy intake and all nutrient intakes except dietary fiber, vitamin B3, and iron significantly differed among the study groups. In this study, we observed no association between NA and the overall measure of MetS. However, we found a significant positive correlation between NA and WC, even after controlling all potential covariates.
While some studies have found a significant association between micronutrient intakes with MetS or its components [16, 17, 18], others have reported no association [19, 20, 21].
In contrast to our result, a finding from an observational study indicated that a twofold increase in total vitamin A and C intake in women decreases the odds of having MetS and its component except for WC [22]. Another finding from a clinical trial showed that sufficient intakes of vitamin D were associated with a reduced WC, MetS, and FBG [16]. Moreover, a recently published cross-sectional study revealed that vitamin B6 and B12 were inversely associated with MetS in adults and children, respectively [18].
When consumption of a micronutrient falls below the current recommended dietary allowance (RDA), a significant chronic metabolic disturbance may occurs [23]. In earlier studies, micronutrients, including vitamins D and E and others, have been linked to obesity [24, 25, 26, 27]. We observed that the mean dietary adequacy of vitamins D and E in this study was far below recommended values. Once more, we saw that the highest quartile had much larger total calorie and macronutrient intakes than the lowest quartile. According to some theories, a combination of excessive energy consumption and micronutrient deficiencies may increase the number of harmful consequences of incomplete biochemical reactions, which may contribute to further weight gain or the emergence of related metabolic illnesses [28, 29]. Additionally, an eight-week low-energy diet was reported to cause a 13% weight loss and an increase in serum vitamin D in a randomized control experiment by Geiker and associates [30]. Therefore, it should be no surprise that subjects with nutritional intakes in the top quartile had a higher WC.
Overall, dietary patterns rather than individual nutrients or food groups have a greater influence on health than individual micronutrients [31]. Thus, dietary patterns may be more effective in demonstrating associations with body composition [32] and the development of chronic and degenerative diseases [19, 33, 34, 35, 36, 37]. A “healthy dietary pattern” is independently associated with higher micronutrient adequacy [38, 39, 40], whiles an “unhealthy dietary pattern” has been linked with decreased nutrient densities of vitamin A, C, D, E, K, and folate and calcium [38]. In a cross-sectional study of Greek adults, Panagiotakos et al. found that the healthful dietary pattern, like MedDiet, which is loaded with vitamins such as B1, B2, niacin, B6, folates, or B12 and antioxidant vitamins (vitamins E and C) was inversely associated with WC, blood pressure, and TGs, and positively associated with HDL-c levels, all known components of MetS [41]. Furthermore, it has been shown that adherence to a diet loaded with antioxidants resulted in a lower level of HDL concentrations [17].
This discrepancy might be explained by a lack of control for several confounders in some studies. In addition, different components of dietary patterns across studies along with differences in dietary assessment tools might explain these inconsistent findings.
The major limitation of this study was that, because the exposure and outcome were simultaneously assessed, there is generally no evidence of a temporal relationship between the exposure and outcome.
In general, we observed no association between NA and the overall measure of MetS. However, a significant positive association between NA and increasing WC was observed. Further prospective studies are required to confirm our findings.

Conflict of Interest: The authors declare that they have no competing interests.

Authors Contributions:

  • Conceptualization: Shab-Bidar S, Jibril AT.

  • Data curation: Shab-Bidar S.

  • Formal analysis: Jibril AT.

  • Writing - original draft: Jibril AT, Ghorbaninejad P, Sheikhhossein F.

  • Writing - review & editing: Jibril AT.

We acknowledge all participants who consented to take part in this study.
  • 1. Meigs JB. Epidemiology of the metabolic syndrome, 2002. Am J Manag Care 2002;8(Suppl):S283-S292.
  • 2. Grundy SM, Cleeman JI, Daniels SR, Donato KA, Eckel RH, Franklin BA, Gordon DJ, Krauss RM, Savage PJ, Smith SC Jr, Spertus JA, Costa F. American Heart Association. National Heart, Lung, and Blood Institute. Diagnosis and management of the metabolic syndrome: an American Heart Association/National Heart, Lung, and Blood Institute Scientific Statement. Circulation 2005;112:2735-2752.
  • 3. Haffner SM, Valdez RA, Hazuda HP, Mitchell BD, Morales PA, Stern MP. Prospective analysis of the insulin-resistance syndrome (syndrome X). Diabetes 1992;41:715-722.
  • 4. Isomaa B, Almgren P, Tuomi T, Forsén B, Lahti K, Nissén M, Taskinen MR, Groop L. Cardiovascular morbidity and mortality associated with the metabolic syndrome. Diabetes Care 2001;24:683-689.
  • 5. Hu G, Qiao Q, Tuomilehto J, Balkau B, Borch-Johnsen K, Pyorala K. DECODE Study Group. Prevalence of the metabolic syndrome and its relation to all-cause and cardiovascular mortality in nondiabetic European men and women. Arch Intern Med 2004;164:1066-1076.
  • 6. Azizi F, Salehi P, Etemadi A, Zahedi-Asl S. Prevalence of metabolic syndrome in an urban population: Tehran Lipid and Glucose Study. Diabetes Res Clin Pract 2003;61:29-37.
  • 7. de la Iglesia R, Loria-Kohen V, Zulet MA, Martinez JA, Reglero G, Ramirez de Molina A. Dietary strategies implicated in the prevention and treatment of metabolic syndrome. Int J Mol Sci 2016;17:1877.
  • 8. Calton EK, James AP, Pannu PK, Soares MJ. Certain dietary patterns are beneficial for the metabolic syndrome: reviewing the evidence. Nutr Res 2014;34:559-568.
  • 9. Román-Viñas B, Serra-Majem L, Ribas-Barba L, Ngo J, García-Alvarez A, Wijnhoven TM, Tabacchi G, Branca F, de Vries J, de Groot LC. Overview of methods used to evaluate the adequacy of nutrient intakes for individuals and populations. Br J Nutr 2009;101(Suppl 2):S6-11.
  • 10. Dhonukshe-Rutten RA, Bouwman J, Brown KA, Cavelaars AE, Collings R, Grammatikaki E, de Groot LC, Gurinovic M, Harvey LJ, Hermoso M, Hurst R, Kremer B, Ngo J, Novakovic R, Raats MM, Rollin F, Serra-Majem L, Souverein OW, Timotijevic L, Van’t Veer P. EURRECA-evidence-based methodology for deriving micronutrient recommendations. Crit Rev Food Sci Nutr 2013;53:999-1040.
  • 11. Wareham NJ, Jakes RW, Rennie KL, Schuit J, Mitchell J, Hennings S, Day NE. Validity and repeatability of a simple index derived from the short physical activity questionnaire used in the European Prospective Investigation into Cancer and Nutrition (EPIC) study. Public Health Nutr 2003;6:407-413.
  • 12. Mirmiran P, Esfahani FH, Mehrabi Y, Hedayati M, Azizi F. Reliability and relative validity of an FFQ for nutrients in the Tehran lipid and glucose study. Public Health Nutr 2010;13:654-662.
  • 13. Ghafarpour M, Houshiar-Rad A, Kianfar H, Ghaffarpour M. The manual for household measures, cooking yields factors and edible portion of food. Tehran: Keshaverzi Press; 1999.
  • 14. Castro-Quezada I, Román-Viñas B, Serra-Majem LJN. The Mediterranean diet and nutritional adequacy: a review. Nutrients 2014;6:231-248.
  • 15. Expert Panel on Detection, Evaluation, and Treatment of High Blood Cholesterol in Adults. Expert Panel on Detection E. Executive summary of the third report of the National Cholesterol Education Program (NCEP) expert panel on detection, evaluation, and treatment of high blood cholesterol in adults (Adult Treatment Panel III). JAMA 2001;285:2486-2497.
  • 16. Verrusio W, Andreozzi P, Renzi A, Musumeci M, Gueli N, Cacciafesta M. Association between serum vitamin D and metabolic syndrome in middle-aged and older adults and role of supplementation therapy with vitamin D. Ann Ist Super Sanita 2017;53:54-59.
  • 17. Shahinfar H, Akbarzade Z, Djafari F, Shab-Bidar S. Association of nutrient patterns and metabolic syndrome and its components in adults living in Tehran, Iran. J Diabetes Metab Disord 2020;19:1071-1079.
  • 18. Villatoro Santos CR. Micronutrients and metabolic syndrome in children and adults [thesis]. Ann Arbor (MI): University of Michigan; 2019.
  • 19. Motamed S, Ebrahimi M, Safarian M, Ghayour-Mobarhan M, Mouhebati M, Azarpazhouh M, Esmailie H, Norouzi A, Ferns GA. Micronutrient intake and the presence of the metabolic syndrome. N Am J Med Sci 2013;5:377-385.
  • 20. Morton JP, Iqbal Z, Drust B, Burgess D, Close GL, Brukner PD. Seasonal variation in vitamin D status in professional soccer players of the English Premier League. Appl Physiol Nutr Metab 2012;37:798-802.
  • 21. Willis KS, Smith DT, Broughton KS, Larson-Meyer DE. Vitamin D status and biomarkers of inflammation in runners. Open Access J Sports Med 2012;3:35-42.
  • 22. Park S, Ham JO, Lee BK. Effects of total vitamin A, vitamin C, and fruit intake on risk for metabolic syndrome in Korean women and men. Nutrition 2015;31:111-118.
  • 23. Ames BN. Low micronutrient intake may accelerate the degenerative diseases of aging through allocation of scarce micronutrients by triage. Proc Natl Acad Sci U S A 2006;103:17589-17594.
  • 24. Krajewska M, Witkowska-Sędek E, Rumińska M, Stelmaszczyk-Emmel A, Sobol M, Majcher A, Pyrżak B. Vitamin D effects on selected anti-inflammatory and pro-inflammatory markers of obesity-related chronic inflammation. Front Endocrinol (Lausanne) 2022;13:920340.
  • 25. Fiamenghi VI, Mello ED. Vitamin D deficiency in children and adolescents with obesity: a meta-analysis. J Pediatr (Rio J) 2021;97:273-279.
  • 26. Vranić L, Mikolašević I, Milić S. Vitamin D deficiency: consequence or cause of obesity? Medicina (Kaunas) 2019;55:541.
  • 27. Galmés S, Serra F, Palou A. Vitamin E metabolic effects and genetic variants: a challenge for precision nutrition in obesity and associated disturbances. Nutrients 2018;10:1919.
  • 28. Kaidar-Person O, Person B, Szomstein S, Rosenthal RJ. Nutritional deficiencies in morbidly obese patients: a new form of malnutrition? Part A: vitamins. Obes Surg 2008;18:870-876.
  • 29. Muscogiuri G, Sorice GP, Prioletta A, Policola C, Della Casa S, Pontecorvi A, Giaccari A. 25-Hydroxyvitamin D concentration correlates with insulin-sensitivity and BMI in obesity. Obesity (Silver Spring) 2010;18:1906-1910.
  • 30. Geiker NR, Veller M, Kjoelbaek L, Jakobsen J, Ritz C, Raben A, Astrup A, Lorenzen JK, Larsen LH, Bügel S. Effect of low energy diet for eight weeks to adults with overweight or obesity on folate, retinol, vitamin B12, D and E status and the degree of inflammation: a post hoc analysis of a randomized intervention trial. Nutr Metab (Lond) 2018;15:24.
  • 31. Jayasinghe SN, Breier BH, McNaughton SA, Russell AP, Della Gatta PA, Mason S, Stonehouse W, Walsh DC, Kruger R. Dietary patterns in New Zealand women: evaluating differences in body composition and metabolic biomarkers. Nutrients 2019;11:1643.
  • 32. Schrijvers JK, McNaughton SA, Beck KL, Kruger R. Exploring the dietary patterns of young New Zealand women and associations with BMI and body fat. Nutrients 2016;8:450.
  • 33. Zheng T, Boyle P, Willett WC, Hu H, Dan J, Evstifeeva TV, Niu S, MacMahon B. A case-control study of oral cancer in Beijing, People’s Republic of China. Associations with nutrient intakes, foods and food groups. Eur J Cancer B Oral Oncol 1993;29B:45-55.
  • 34. Campdelacreu J. Parkinson disease and Alzheimer disease: environmental risk factors. Neurologia 2014;29:541-549.
  • 35. Wark PA, Lau R, Norat T, Kampman E. Magnesium intake and colorectal tumor risk: a case-control study and meta-analysis. Am J Clin Nutr 2012;96:622-631.
  • 36. Shah R. The role of nutrition and diet in Alzheimer disease: a systematic review. J Am Med Dir Assoc 2013;14:398-402.
  • 37. Rees K, Dyakova M, Ward K, Thorogood M, Brunner E. Dietary advice for reducing cardiovascular risk. Cochrane Database Syst Rev 2013;CD002128.
  • 38. Richter A, Heidemann C, Schulze MB, Roosen J, Thiele S, Mensink GBM. Dietary patterns of adolescents in Germany-associations with nutrient intake and other health related lifestyle characteristics. BMC Pediatr 2012;12:35.
  • 39. Serra-Majem L, Bes-Rastrollo M, Román-Viñas B, Pfrimer K, Sánchez-Villegas A, Martínez-González MA. Dietary patterns and nutritional adequacy in a Mediterranean country. Br J Nutr 2009;101(Suppl 2):S21-S28.
  • 40. Maillot M, Issa C, Vieux F, Lairon D, Darmon N. The shortest way to reach nutritional goals is to adopt Mediterranean food choices: evidence from computer-generated personalized diets. Am J Clin Nutr 2011;94:1127-1137.
  • 41. Panagiotakos DB, Pitsavos C, Chrysohoou C, Skoumas J, Tousoulis D, Toutouza M, Toutouzas P, Stefanadis C. Impact of lifestyle habits on the prevalence of the metabolic syndrome among Greek adults from the ATTICA study. Am Heart J 2004;147:106-112.

Download Citation

Download a citation file in RIS format that can be imported by all major citation management software, including EndNote, ProCite, RefWorks, and Reference Manager.

Format:

Include:

Positive Association Between Nutrient Adequacy and Waist Circumference: Results of a Cross-Sectional Study
Clin Nutr Res. 2022;11(3):204-213.   Published online July 25, 2022
Download Citation

Download a citation file in RIS format that can be imported by all major citation management software, including EndNote, ProCite, RefWorks, and Reference Manager.

Format:
Include:
Positive Association Between Nutrient Adequacy and Waist Circumference: Results of a Cross-Sectional Study
Clin Nutr Res. 2022;11(3):204-213.   Published online July 25, 2022
Close
Positive Association Between Nutrient Adequacy and Waist Circumference: Results of a Cross-Sectional Study
Positive Association Between Nutrient Adequacy and Waist Circumference: Results of a Cross-Sectional Study
Q2 Q3 Q4 p value*Samples212 (24.90)214 (25.20)212 (24.90)212 (24.90)Q ranges≤ 0.68610.6862–0.77920.7793–0.8525≥ 0.8526Age (yr)45.74 ± 10.5445.19 ± 10.1344.36 ± 11.1543.67 ± 11.110.20BMI (kg/m2)26.81 ± 4.3028.07 ± 4.5428.27 ± 7.2528.30 ± 5.580.01WC (cm)90.18 ± 13.1793.08 ± 12.1292.53 ± 11.6992.49 ± 12.590.07FBG (mg/dL)107.73 ± 57.23109.37 ± 42.63110.04 ± 35.17106.53 ± 31.500.83TG (mg/dL)149.16 ± 87.46139.43 ± 72.32147.54 ± 77.18145.63 ± 80.180.60HDL-c (mg/dL)49.74 ± 9.8850.76 ± 10.4349.28 ± 10.3949.76 ± 10.120.49SBP (mmHg)119.03 ± 26.19120.49 ± 22.60119.40 ± 19.89119.92 ± 20.220.91DBP (mmHg)78.80 ± 15.0978.47 ± 15.1378.17 ± 12.9478.00 ± 12.070.93Gender (men)80 (30.10)74 (27.80)65 (24.40)47 (17.70)0.004Education (university graduate)62 (21.20)80 (27.40)75 (25.70)75 (25.70)0.30Occupation (employed)55 (25.00)57 (25.90)44 (20.00)64 (29.10)0.15Marital status (married)169 (24.60)172 (25.00)173 (25.10)174 (25.30)0.96Smoking status (current smoker)13 (29.50)11 (25.00)10 (22.70)10 (22.70)0.97Physically active (moderate)75 (24.20)78 (25.20)80 (25.80)77 (24.80)0.77General obesity 40 (16.70)62 (25.80)68 (28.30)70 (29.20)0.004Abdominal obesity 80 (19.30)114 (27.50)107 (25.80)113 (27.30)0.003Metabolic syndrome§ 22 (21.40)31 (30.10)28 (27.20)22 (21.40)0.46 Q2 Q3 Q4 p value*p-trendRange≤ 0.68610.6862–0.77920.7793–0.8525≥ 0.8526MAR0.57 ± 0.110.73 ± 0.020.81 ± 0.020.90 ± 0.04< 0.001< 0.001Total energy (kcal/d)1,931.87 ± 922.132,472.18 ± 3,347.572,501.61 ± 880.383,369.22 ± 1,410.96< 0.001< 0.001Total fat (g/d)62.33 ± 39.9970.98 ± 31.3277.19 ± 30.72118.87 ± 71.81< 0.001< 0.001MUFA (%)22.56 ± 47.2721.81 ± 12.0323.28 ± 10.6335.69 ± 23.72< 0.001< 0.001PUFA (%)12.70 ± 7.8915.85 ± 9.4215.38 ± 7.6324.61 ± 19.12< 0.001< 0.001Carbohydrate (g/d)290.54 ± 150.42396.28 ± 858.36370.35 ± 143.67481.82 ± 220.66< 0.001< 0.001Protein (g/d)64.78 ± 34.2679.12 ± 57.3286.65 ± 30.27115.36 ± 50.09< 0.001< 0.001Dietary fiber (g/d)19.79 ± 124.8923.75 ± 123.7819.49 ± 7.3730.09 ± 14.060.570.62Vitamin A (µg/d)997.73 ± 4,213.411,288.31 ± 4,181.841,511.81 ± 981.362,921.29 ± 2,270.46< 0.001< 0.001Vitamin B1 (mg/d)0.97 ± 0.651.53 ± 0.701.78 ± 0.842.38 ± 1.15< 0.001< 0.001Vitamin B2 (mg/d)0.42 ± 0.471.01 ± 0.421.48 ± 0.832.57 ± 1.46< 0.001< 0.001Vitamin B3 (mg/d)19.28 ± 78.0024.54 ± 77.1322.97 ± 8.8731.48 ± 14.470.140.10Vitamin B6 (mg/d)0.36 ± 0.440.80 ± 0.521.40 ± 0.782.41 ± 1.32< 0.001< 0.001Vitamin B9 (µg/d)199.26 ± 283.28278.66 ± 279.23345.90 ± 122.95560.85 ± 251.68< 0.001< 0.001Vitamin B12 (µg/d)1.60 ± 0.982.96 ± 1.814.33 ± 5.466.63 ± 6.39< 0.001< 0.001Vitamin C (mg/d)126.46 ± 523.83164.21 ± 519.30180.63 ± 115.38318.07 ± 222.49< 0.001< 0.001Vitamin D (µg/d)0.60 ± 0.891.27 ± 1.301.82 ± 1.733.95 ± 3.74< 0.001< 0.001Vitamin E (mg/d)2.54 ± 2.473.61 ± 2.914.80 ± 4.3610.12 ± 10.28< 0.001< 0.001Calcium (mg/d)1,224.28 ± 1,374.681,538.25 ± 1,435.531,679.10 ± 1,448.951,905.17 ± 1,339.94< 0.001< 0.001Phosphorus (mg/d)673.70 ± 378.85894.32 ± 1,067.591,038.66 ± 530.641,759.40 ± 964.00< 0.001< 0.001Magnesium (mg/d)217.06 ± 131.93289.51 ± 553.11274.77 ± 113.43418.67 ± 203.13< 0.001< 0.001Iron (mg/d)54.63 ± 93.2170.71 ± 149.9566.33 ± 102.8057.44 ± 98.460.420.99Potassium (mg/d)2,622.55 ± 1,419.454,211.42 ± 15,243.053,473.37 ± 1,150.685,567.81 ± 2,938.860.0010.001Zinc (mg/d)7.11 ± 10.438.23 ± 9.109.28 ± 8.8112.79 ± 6.64< 0.001< 0.001 0.02 (20.07)−27.13, 51.650.0030.54Model 2 0.02 (20.22)−24.32, 55.080.010.44SBP (mmHg)Crude0.03 (5.62)−5.42, 16.660.0010.31Model 1 0.05 (5.22)−2.05, 18.440.140.11Model 2 0.05 (5.19)−2.05, 18.330.170.11DBP (mmHg)Crude−0.01 (3.49)−8.45, 5.24< 0.0010.64Model 1 −0.006 (3.42)−7.36, 6.080.040.85Model 2 −0.02 (3.34)−9.38, 3.730.110.39FBG (mg/dL)Crude−0.002 (10.76)−21.82, 20.42< 0.0010.94Model 1 0.001 (10.80)−20.79, 21.610.0020.97Model 2 −0.001 (10.85)−21.47, 21.130.010.98HDL-c (mg/dL)Crude−0.04 (2.56)−8.03, 2.050.0020.24Model 1 −0.04 (2.57)−8.18, 1.920.0060.22Model 2 −0.04 (2.58)−8.66, 1.490.020.16WC (cm)Crude0.10 (3.11)3.78, 16.000.010.002Model 1 0.13 (2.79)6.93, 17.910.21< 0.001Model 2 0.13 (2.76)6.84, 17.700.23< 0.001 10.451.46 (0.81–2.63)0.201.32 (0.72–2.40)0.350.99 (0.52–1.86)0.98Model 2 10.441.45 (0.80–2.61)0.211.30 (0.71–2.38)0.380.96 (0.51–1.82)0.91HypertriglyceridemiaCrude10.400.83 (0.56–1.24)0.371.17 (0.79–1.72)0.420.94 (0.63–1.39)0.76Model 1 10.410.83 (0.56–1.24)0.371.16 (0.78–1.71)0.440.93 (0.63–1.39)0.74Model 2 10.400.85 (0.57–1.27)0.441.20 (0.80–1.78)0.360.97 (0.65–1.45)0.89HypertensionCrude10.930.95 (0.57–1.59)0.860.86 (0.51–1.46)0.590.86 (0.51–1.46)0.59Model 1 10.870.94 (0.56–1.57)0.830.84 (0.50–1.42)0.520.83 (0.49–1.40)0.48Model 2 10.860.95 (0.56–1.60)0.850.85 (0.50–1.46)0.560.81 (0.47–1.39)0.44HyperglycemiaCrude10.291.14 (0.62–2.09)0.661.53 (0.86–2.74)0.140.90 (0.47–1.70)0.74Model 1 10.291.14 (0.62–2.11)0.651.55 (0.86–2.78)0.130.92 (0.48–1.75)0.80Model 2 10.241.16 (0.62–2.15)0.621.60 (0.88–2.90)0.110.91 (0.47–1.76)0.79Low HDL-cCrude10.981.02 (0.59–1.76)0.920.96 (0.55–1.66)0.880.92 (0.53–1.60)0.77Model 1 10.991.03 (0.60–1.77)0.900.97 (0.56–1.68)0.920.95 (0.54–1.67)0.86Model 2 10.981.11 (0.63–1.93)0.701.02 (0.58–1.80)0.921.02 (0.57–1.81)0.93Enlarged WCCrude10.0031.88 (1.27–2.76)0.0011.68 (1.14–2.47)0.0081.88 (1.27–2.77)0.001Model 1 10.0022.15 (1.40–3.29)< 0.0011.88 (1.23–2.89)0.0041.98 (1.29–3.05)0.002Model 2 10.0012.25 (1.46–3.48)< 0.0011.92 (1.24–2.96)0.0032.06 (1.33–3.19)0.001
Table 1 General characteristics of participants across quartiles of energy-adjusted nutrient adequacy

Data are presented as mean ± SD or number (%).

BMI, body mass index; WC, waist circumference; FBG, fasting blood glucose; TG, triglyceride; HDL-c, high-density lipoprotein-cholesterol; SBP, systolic blood pressure; DBP, diastolic blood pressure.

*Calculated by χ2 and analysis of variance for qualitative and quantitative variables, respectively and p < 0.05 indicates a significant level; General obesity is considered as BMI ≥ 30 kg/m2; Abdominal obesity is considered as WC ≥ 88 cm for women and ≥ 102 cm for men; §Hypertriglyceridemia, Hypertension, Hyperglycemia, Low-High Density Lipoprotein cholesterol, Enlarged waist circumference.

Table 2 Dietary intakes of participants across quartiles of energy-adjusted nutrient adequacy

Data are presented as mean ± SD.

MAR, mean adequacy ratio; MUFA, monounsaturated fatty acid; PUFA, polyunsaturated fatty acid.

*Calculated by analysis of variance and p < 0.05 indicates significant level; Based on Post Hoc Test and p < 0.05 indicates a significant level.

Table 3 Association of energy-adjusted nutrient adequacy with metabolic syndrome components

β, standardized coefficients; SE, standard error; CI, confidence interval; R2, R square; TG, triglyceride; SBP, systolic blood pressure; DBP, diastolic blood pressure; FBG, fasting blood glucose; HDL-c, high-density lipoprotein-cholesterol; WC, waist circumference.

*These p values are reported based on the linear regression test and are considered significant at < 0.05; Model 1: adjusted for age + sex; Model 2: Model 1 + total physical activity + smoking habits + educational level + BMI + marital status + occupation.

Table 4 Odds ratio and 95% confidence interval for metabolic syndrome and its components across quartiles of nutrient adequacy

HDL-c, high-density lipoprotein-cholesterol; WC, waist circumference.

*These p values are reported based on the logistic regression test and are considered significant at < 0.05; Model 1: adjusted for age + sex; Model 2: Model 1 + total physical activity + smoking habits+ educational level + BMI + marital status + occupation.