Skip to main navigation Skip to main content
  • KSCN
  • E-Submission

CNR : Clinical Nutrition Research

OPEN ACCESS
ABOUT
BROWSE ARTICLES
EDITORIAL POLICIES
FOR CONTRIBUTORS

Articles

Original Article

Relationship between Adipose Tissue Derived Hormones and Cardiometabolic Risk according to Obesity Status

Clinical Nutrition Research 2021;10(3):206-218.
Published online: July 30, 2021

1Department of Health Sciences, Graduate School of Dong-A University, Busan 49315, Korea.

2Department of Rehabilitation Medicine, Dong-A University Hospital, Busan 49201, Korea.

3Department of Food Science and Nutrition, Dong-A University, Busan 49315, Korea.

Correspondence to Jong Hwa Lee. Department of Rehabilitation Medicine, Dong-A University Hospital, 26 Daesingongwon-ro, Seo-gu, Busan 49201, Korea. jhlee@dau.ac.kr
Correspondence to Oh Yoen Kim. Department of Health Sciences, Graduate School of Dong-A University, 37 Nakdongdae-ro, 550-beon-gil, Saha-gu, Busan 49315, Korea. oykim@dau.ac.kr

*Jong Hwa Lee and Oh Yoen Kim equally contributed to the work as co-primary authors.

• Received: July 11, 2021   • Accepted: July 22, 2021

Copyright © 2021. The Korean Society of Clinical Nutrition

This is an Open Access article distributed under the terms of the Creative Commons Attribution Non-Commercial License (https://creativecommons.org/licenses/by-nc/4.0/) which permits unrestricted non-commercial use, distribution, and reproduction in any medium, provided the original work is properly cited.

  • 595 Views
  • 0 Download
  • 3 Crossref
prev next
  • Adiponectin, and leptin are adipose tissue derived hormones affecting metabolic status. This study aimed to investigate the relationship between circulating adiponectin and leptin levels, and cardiometabolic parameters by obesity status among healthy women without metabolic disease. Finally 141 participants were included in the analyses and categorized into three groups by their body mass index (kg/m2) (normal weight: 18.5 ≤ body mass index [BMI] < 23.0, n=65; overweight: 23.0 ≤ BMI < 25.0, n=26; obesity: 25.0 ≤ BMI, n=50). Overweight and obesity groups were older, and had significantly higher levels of adiposity, blood pressure, fasting glucose, triglyceride, and high sensitivity C-reactive protein (hs-CRP), and lower levels of high density lipoprotein (HDL)-cholesterol than normal weight group. Circulating leptin levels, and leptin to adiponectin ratio were highest in obesity group, but circulating adiponectin levels were not statistically different among the three groups. Circulating leptin levels were negatively correlated with adiponectin levels, and leptin to adiponectin ratio. In addition, leptin levels were positively correlated with waist circumference, systolic blood pressure, insulin resistance, and hs-CRP, and negatively with HDL-cholesterol. However, circulating adiponectin levels were negatively correlated only with waist circumference, and hs-CRP. These patterns were retained after adjusted for confounding factors such as age, smoking and drinking habits, menopausal status and total calorie intake. In conclusion, circulating adiponectin and leptin levels according to obesity status were differently observed among healthy women, and circulating leptin levels may be a more sensitive parameter for cardiometabolic risk in healthy women.
The morbidity of obesity, and the associated diseases are continuously increasing in the world [1]. The Korean Society for the Study of Obesity (KOSSO) reported that the prevalence of obesity estimated by body mass index (BMI) ≥ 25 kg/m2 among Korean adults was 35.7% among men and 36.5% among women, and that of abdominal obesity was 23.8% among men and 18.2% among women in 2018 [2]. Obesity, particularly abdominal obesity was known as a main cause of chronic metabolic diseases including type 2 diabetes (T2DM), nonalcoholic fatty liver disease (NAFLD), cardiovascular disease (CVD), stroke and vascular dementia etc. [3, 4, 5, 6]. Excessive body fat accumulation can cause adipose tissue dysfunction, and consequently leading to dysregulated excretion of adipose tissue derived hormones, and metabolic abnormality (i.e., insulin resistance, low-grade inflammation, dyslipidemia, raised blood pressure, etc.) [1, 3]. Recently, adiponectin and leptin, known as adipokines which are representative adipose tissue derived hormones, were reported to contribute to the risk of obesity related metabolic disorders and disease, particularly CVD [7, 8].
Leptin is composed of 167-amino acids produced mainly from adipose tissue and in low level from other tissues (i.e., bowels, placentas, brain and skeletal muscle, etc.) [4]. It plays an important role in the regulation of food intake, energy expenditure and metabolism, and body weight [4, 9]. Leptin is also essential regulator of pancreatic of β-cell function such as insulin secretion, insulin gene expression, apoptosis and cell growth [9]. However, higher circulating leptin levels were commonly observed in obese people compare with lean individuals, which is called leptin resistance [10, 11, 12]. It was reported that chronically elevated leptin levels in obesity reduced the sensitivity of pancreatic \\xe1\\xba\\x9e-cell receptors, and increased insulin secretion resulting in hyperinsulinemia as well as blood pressure, thereby accelerating pathophysiological risk of obesity and diabetes [13]. In addition, leptin may participate in the regulation of immune response by directly producing interleukin (IL)-6 in adipocytes and resulting in upregulation of hepatic C-reactive protein (CRP) [8, 13]. Therefore, circulating leptin levels may be suggested as a useful marker for insulin resistance (IR) and CVD risk [4, 9].
Differently from the action of leptin, adiponectin (Acrp30, AdipoQ, GBP-28) was reported to be a positive prognostic biomarker indicating reduced risk of CVD [13, 14]. It is a 244-amino acid protein produced mainly from the adipocytes, but also expressed in other tissue such as osteoblasts, liver parenchyma cells, myocytes, epithelial cells and placental tissue [14]. Adiponectin circulates in the blood as 3 kind forms of molecular weight (low, medium and high), among which the form of high-molecular-weight (HMW) is known to have more physiological function [5, 14]. Circulating adiponectin was reported to be negatively correlated with BMI and positively correlated with insulin sensitivity [4, 15]. In addition, adiponectin was well-known to have anti-atherogenic, anti-diabetic and anti-inflammatory properties [4, 7]. According to Kumada et al. [16], decreased plasma levels of adiponectin were associated with prevalence of coronary artery disease (CAD), even after adjusted for traditional CAD risk factors including diabetes, dyslipidemia, hypertension, tabacco use and BMI in Japanese. Yamamoto et al. [17] reported that higher levels of serum adiponectin were related to reduced risk of T2DM in Japanese, and had a significant protective effect against the increase risk of T2DM, independently from the deposition of subcutaneous or visceral fats.
However, there are few studies on the relationship between adipose tissue derived hormones (leptin and adiponectin) and CVD-risk in healthy people without diagnosed diseases, particularly in Korean adult women. Therefore, this study aimed to identify if circulating leptin and adiponectin sensitively respond to metabolic status and can be used as early diagnostic marker of CVD risk in Korean healthy women.
Study subjects and study design
Study subjects were recruited form the public advertisement. Included were Koreans adult women (≥ 19 years) who had not been diagnosed with metabolic disease (i.e., stroke, cancer, vascular disease, renal and liver failure, thyroid disease and autoimmune disease etc.). Those who were taking antihypertensive, lipid-lowering, antidiabetic or antithrombotic medications. After the screening, one hundred forty-one (n = 141) Korean women were finally included in the analysis. The study purpose was explained to the subjects and written informed consent were obtained from them. The study was approved by the Institutional Review Board of Dong-A University (project identification code: 2-104709-AB-N-01-201603-BR-001-10).
Dietary intake survey
The participants' usual dietary habits (2-week days and 1 weekend) were obtained through the 24-hour recall method and semi-quantitative food frequency questionnaire with a modification of the Korean National Health and Nutrition survey form through face-to-face interview by registered dietitians. The nutrient contents of daily food intake were calculated using the Computer Aided Nutritional analysis program (CAN-pro 4.0, the Korean Nutrition Society, Seoul, Korea).
Anthropometrics and blood pressure
Anthropometrics parameters were measured in subjects with wearing light clothes and putting off shoes. Participants were examined for height, weight, visceral fat area, total body fat percentage and skeletal muscle percentage using an automatic body composition analyze (N20, AIIA communication Inc., Soengnam, Korea). BMI was calculated as weight (kg) divided by the square of the height (m2). Waist circumference was examined by measuring tape in standing subject after normal exhalation. Systolic and diastolic blood pressure were obtained by automatic BP monitor (HEM-7220, Omron Inc., Matsusaka state, Japan) in the arm at the seated after 20 minutes of rest.
Blood collection, glycemic parameters and lipid profile
After an overnight fast (≥ 12 hours), blood sample were collected into EDTA-treated and plain tube. Serum sample was obtained after centrifugation at 2,000 g for 15 minutes and plasma sample was obtained after centrifugation at 1,300 g for 15 minutes within room temperature, and then the samples were aliquoted and stored at −80°C until analysis. Serum fasting glucose was measured using a glucose oxidase method with Beckman Glucose Analyzer (Beckman Ins., Irvine, CA, USA). Hemoglobin A1c (HbA1c) was obtained with VARIANT II Turbo HbA1c kit-2.0 (Bio-Rad, Hercules, CA, USA). Insulin and C-peptide concentrations were measured by radioimmuno-assay with commercial kit (ImmunoNucleo Corporation, Stillwater, MN, USA). Insulin resistance was evaluated by the Homeostatic model assessment as follow: Homeostasis model assessment insulin resistance (HOMA-IR) = fasting insulin (μIU/mL) × fasting glucose (mg/dL)/450 [18]. Serum concentrations of total-cholesterol (total-C) and triglyceride (TG) were measured by Hitachi 7150 Autoanalyzer (Hitachi Ltd., Tokyo, Japan). After precipitation of chylomicrons with dextran sulfate magnesium, serum concentrations of low density lipoprotein (LDL)-C and high density lipoprotein (HDL)-C in the supernatants were measured with enzymatic method.
Adipose tissue derived hormones
Plasma concentrations of leptin and adiponectin were meausred with commercially available quantitiave kits from R&D System (Cat.# DLP000, Cat.# DRP300, respectively, Minneapolis, MN, USA) and then read in the microplate absorbance reader (Bio-Rad) according to the manufacturer's recommended wavelengths.
Inflammatory markers
Serum concentration of high-sensitivity C-reactive protein (hs-CRP) was estimated by high sensitivity CRP-Latex (II) X2 kit (Seiken Laboratories Ltd., Tokyo, Japan) using a ADVIA 1650 system (Bayer, Tarrytown, NY, USA). Plasma concentration of IL-6 was measured with Human Quantikine HS ELISA kit (R&D Systems) and then read by the iMarkTM microplate absorbance reader (Bio-Rad) performing the color reacction result at 450 nm.
Liver and kidney function parameters
Serum concentrations of aspartate aminotransferase (AST) and alanine aminotransferase (ALT) were obtained with commercially available kits on a Hitachi 7180 Autoanalyzer (Hitachi Ltd.) by modified International Federation of Clinical Chemistry UV method. Serum creatinine concentration was obtained with kinetic colorimetric assay method (Jaffe) and serum blood urea nitrogen (BUN) concentration was obtained with a kinetic UV assay. Serum uric acid was obtained with a colorimetric assay.
Statistical analysis
All the analyses were performed using SPSS version 25.0 for Windows (SPSS Inc., Chicago, IL, USA). Differences in baseline characteristics and biochemical parameters among subgroups were tested by one-way analysis of variance followed with elast significant difference (LSD) method, Student t-test or χ2. Skewed variables were log-transformed and then tested. The tests were also performed after adjusted for confounder factors (i.e. age, total calorie intake, cigarette smoking, alcohol drinking and menopausal status). The relationship among ariables were tested by Spearman and Partial correlation analyses. Results were presented as mean ± standard error or percentage or correlation coefficient. The p value under 0.05 were indicated as significant.
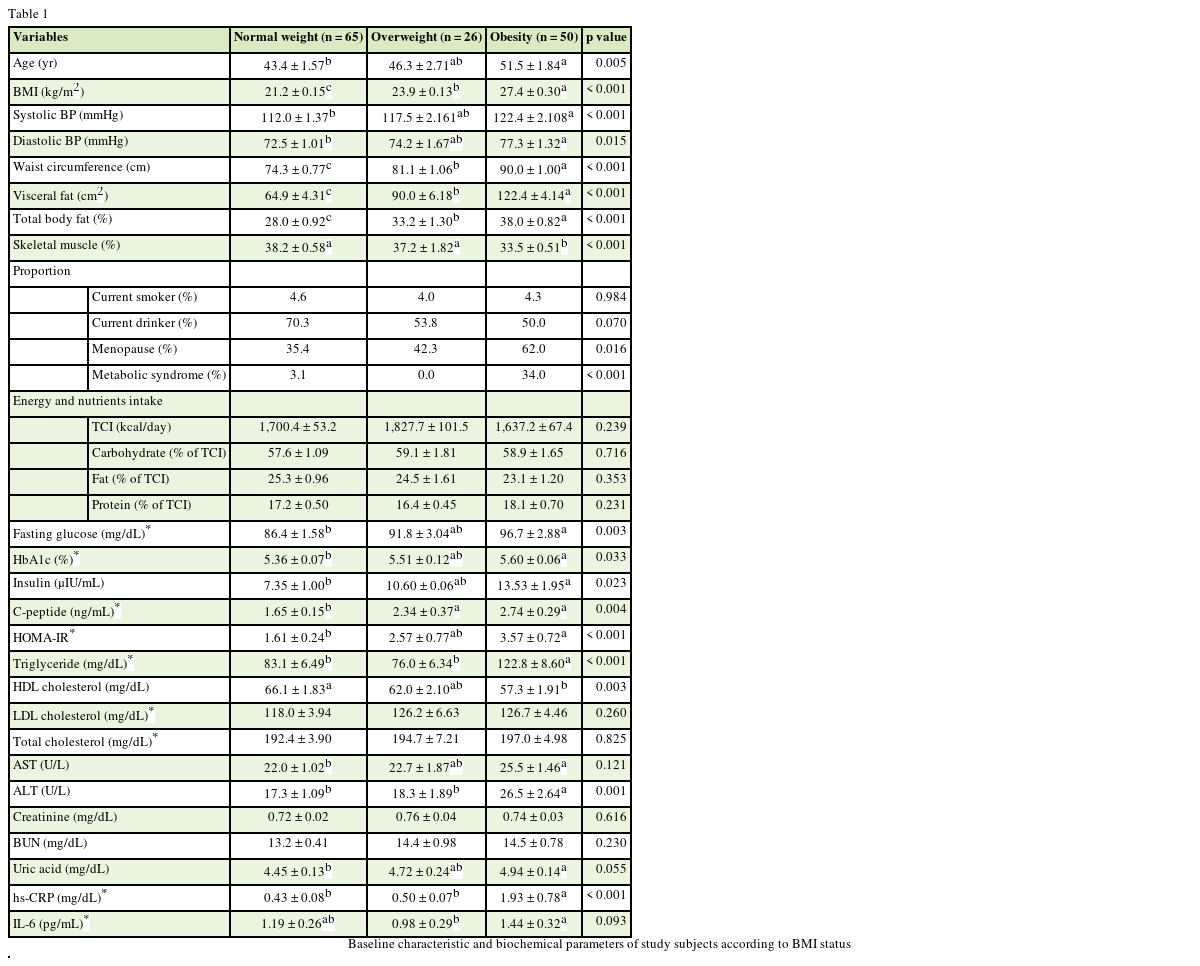
Baseline characteristic and biochemical parameters of study subjects according to BMI status
Baseline characteristics and biochemical parameters of study participants according to BMI status were presented in Table 1 (Normal weight; 18.5 ≤ BMI < 23.0, n = 65; Overweight: 23.0 ≤ BMI < 25.0, n = 26; Obesity: 25 kg/m2 ≤ BMI, n = 50). Compared with normal weight group, obesity group was older and had higher blood pressure. Waist circumference, visceral fat area and total body fat percentage were significantly highest in obesity groups among the three BMI groups. On the other hand, skeletal muscle percentage was lower in obesity group than in the other two groups. Proportions of metabolic syndrome and menopause were significantly higher in obesity group than the other groups. On the other hand, proportions of current smoker and current drink were significantly different among the three groups, but daily energy and nutrients intake were not. Glycemic parameters including fasting levels of glucose, HbA1c, insulin, C-peptide and HOMA-IR were higher in obesity groups than in normal weight group. In addition, serum concentrations of triglyceride, ALT and hs-CRP were significantly higher, but serum HDL-C concentration was lower in obesity group than normal weight group.
Table 1

Baseline characteristic and biochemical parameters of study subjects according to BMI status

Table 1
Variables Normal weight (n = 65) Overweight (n = 26) Obesity (n = 50) p value
Age (yr) 43.4 ± 1.57b 46.3 ± 2.71ab 51.5 ± 1.84a 0.005
BMI (kg/m2) 21.2 ± 0.15c 23.9 ± 0.13b 27.4 ± 0.30a < 0.001
Systolic BP (mmHg) 112.0 ± 1.37b 117.5 ± 2.161ab 122.4 ± 2.108a < 0.001
Diastolic BP (mmHg) 72.5 ± 1.01b 74.2 ± 1.67ab 77.3 ± 1.32a 0.015
Waist circumference (cm) 74.3 ± 0.77c 81.1 ± 1.06b 90.0 ± 1.00a < 0.001
Visceral fat (cm2) 64.9 ± 4.31c 90.0 ± 6.18b 122.4 ± 4.14a < 0.001
Total body fat (%) 28.0 ± 0.92c 33.2 ± 1.30b 38.0 ± 0.82a < 0.001
Skeletal muscle (%) 38.2 ± 0.58a 37.2 ± 1.82a 33.5 ± 0.51b < 0.001
Proportion
Current smoker (%) 4.6 4.0 4.3 0.984
Current drinker (%) 70.3 53.8 50.0 0.070
Menopause (%) 35.4 42.3 62.0 0.016
Metabolic syndrome (%) 3.1 0.0 34.0 < 0.001
Energy and nutrients intake
TCI (kcal/day) 1,700.4 ± 53.2 1,827.7 ± 101.5 1,637.2 ± 67.4 0.239
Carbohydrate (% of TCI) 57.6 ± 1.09 59.1 ± 1.81 58.9 ± 1.65 0.716
Fat (% of TCI) 25.3 ± 0.96 24.5 ± 1.61 23.1 ± 1.20 0.353
Protein (% of TCI) 17.2 ± 0.50 16.4 ± 0.45 18.1 ± 0.70 0.231
Fasting glucose (mg/dL)* 86.4 ± 1.58b 91.8 ± 3.04ab 96.7 ± 2.88a 0.003
HbA1c (%)* 5.36 ± 0.07b 5.51 ± 0.12ab 5.60 ± 0.06a 0.033
Insulin (μIU/mL) 7.35 ± 1.00b 10.60 ± 0.06ab 13.53 ± 1.95a 0.023
C-peptide (ng/mL)* 1.65 ± 0.15b 2.34 ± 0.37a 2.74 ± 0.29a 0.004
HOMA-IR* 1.61 ± 0.24b 2.57 ± 0.77ab 3.57 ± 0.72a < 0.001
Triglyceride (mg/dL)* 83.1 ± 6.49b 76.0 ± 6.34b 122.8 ± 8.60a < 0.001
HDL cholesterol (mg/dL) 66.1 ± 1.83a 62.0 ± 2.10ab 57.3 ± 1.91b 0.003
LDL cholesterol (mg/dL)* 118.0 ± 3.94 126.2 ± 6.63 126.7 ± 4.46 0.260
Total cholesterol (mg/dL)* 192.4 ± 3.90 194.7 ± 7.21 197.0 ± 4.98 0.825
AST (U/L) 22.0 ± 1.02b 22.7 ± 1.87ab 25.5 ± 1.46a 0.121
ALT (U/L) 17.3 ± 1.09b 18.3 ± 1.89b 26.5 ± 2.64a 0.001
Creatinine (mg/dL) 0.72 ± 0.02 0.76 ± 0.04 0.74 ± 0.03 0.616
BUN (mg/dL) 13.2 ± 0.41 14.4 ± 0.98 14.5 ± 0.78 0.230
Uric acid (mg/dL) 4.45 ± 0.13b 4.72 ± 0.24ab 4.94 ± 0.14a 0.055
hs-CRP (mg/dL)* 0.43 ± 0.08b 0.50 ± 0.07b 1.93 ± 0.78a < 0.001
IL-6 (pg/mL)* 1.19 ± 0.26ab 0.98 ± 0.29b 1.44 ± 0.32a 0.093
Data are presented as mean ± standard error.
BMI, body mass index; Normal weight, BMI 18.5–22.99; Overweight, BMI 23.0–24.99; Obesity, BMI ≥ 25; BP, blood pressure; TCI, total calorie intake; HbA1c, hemoglobin A1c; HOMA-IR, homeostatic model assessment for insulin resistance; HDL cholesterol, high density lipoprotein cholesterol; LDL-cholesterol, low density lipoprotein cholesterol; AST, aspartate amino transferase; ALT, alanine amino transferase; BUN, blood urea nitrogen; hs-CRP, high-sensitivity C-reactive protein; IL-6, interleukin-6.
*Tested after log-transformation. Tested by one-way analysis of variance with least significant difference method or χ2 test. p < 0.05 indicates significant differences among the values for the same variance. Sharing the same alphabet indicates no significant difference among the value.
Circulating levels of leptin, adiponectin and leptin to adiponectin ratio according to BMI status
Figure 1 present circulating levels of leptin, adiponectin and leptin/adiponectin according to BMI status (Normal weight, n = 65; Overweight, n = 26; Obesity, n = 50) before and after adjustment for age, total calorie intake, cigarette smoking, alcohol drinking and menopausal status. Circulating leptin level was significantly higher in overweight and obesity groups than in normal weight group (140.8 ± 21.0 pg/mL in normal weight group, 262.4 ± 62.9 pg/mL in overweight group and 329.9 ± 39.3 pg/mL in obesity group) (p0 < 0.001, p1 < 0.001). Circulating adiponectin seemed lower in overweight and obesity group than in normal weight group, but it does not reach statistical significance (5.18 ± 0.57 μg/mL in normal weight group, 3.66 ± 0.60 μg/mL in overweight group and 4.33 ± 0.55 μg/mL in obesity group) (p0 = 0.395, p1 = 0.267). Circulating leptin/adiponectin ratio was significantly higher in overweight and obesity groups than in normal weight group (78.2 ± 15.7 in normal weight group, 180.9 ± 56.0 in overweight group, 205.5 ± 42.5 in obesity group) (p0 = 0.001, p1 = 0.002).
Figure 1

Circulating levels of leptin (A), adiponectin (B) and leptin to adiponectin ratio (C) according to obesity status.

Means ± standard error. Tested after log-transformation. Tested by one-way analysis of variance with LSD and general linear model with LSD adjusted for confounding factors (age, total calorie intake, cigarette smoking, alcohol drinking, and menopausal status); p0: unadjusted p value, p1: p value adjusted for confounding factors; p value < 0.05 indicates significant difference in the value among three groups; Sharing the same alphabet indicates no significant difference among the value.
Normal weight, BMI 18.5–22.99; Overweight, BMI 23.0–24.99; Obesity, BMI ≥ 25; LSD, least significant difference.
cnr-10-206-g001.jpg
Correlations among circulating levels of leptin and adiponectin, and anthropometric and biochemical parameters
Table 2 presents relationship among circulating levels of leptin and adiponectin, leptin/adiponectin and anthropometric and biochemical parameters. Circulating levels of adiponectin and leptin, and leptin/adiponectin were significantly inter-correlated in each other. Plasma leptin levels were positively correlated with obesity-related parameters (BMI: r = 0.454, waist circumference: r = 0.452, visceral fat area: r = 0.246, body fat percentage: r = 0.446), HOMA-IR (r = 0.274) and inflammatory markers (hs-CRP: r = 0.489, IL-6: r = 0.176), and negatively correlated with age (r = −0.187) and skeletal muscle percentage (r = −0.377). Plasma adiponectin levels were negatively correlated with cardiovascular risk factors such as waist circumference (r = −0.179) and hs-CRP (r = −0.184) and positively correlate with HbA1c. Leptin/adiponectin was also positively correlated with obesity-related parameters (BMI: r = 0.342, waist circumference: r = 0.382, body fat percentage: r = 0.320) and inflammatory markers (hs-CRP: r = 0.403, IL-6: r = 0.203) and negatively correlated with age (r = −0.182) and skeletal muscle percentage (r = −0.301).
Table 2

Relationships among circulating levels of leptin and adiponectin, and anthropometric & biochemical parameters

Table 2
Variables Leptin (pg/mL) Adiponectin (μg/mL) L/A ratio
Adiponectin (μg/mL) −0.335*,‡ - -
L/A ratio 0.832 −0.781 -
Age (yr) −0.187 0.089 −0.182
BMI (kg/m2) 0.454 −0.104 0.342
SBP (mmHg) 0.109 0.071 0.016
DBP (mmHg) 0.124 0.024 0.054
Waist circumference (cm) 0.452 −0.179 0.382
Visceral fat (cm2) 0.246* 0.081 0.094
Body fat (%) 0.446 −0.051 0.320
Skeletal muscle (%) −0.377 0.091 −0.301
Fasting glucose (mg/dL) 0.070 0.101 0.001
HbA1c (%) −0.031 0.181 −0.125
C-peptide (ng/mL) 0.164 0.080 0.091
HOMA-IR 0.274 0.061 0.160
Triglyceride (mg/dL) 0.081 0.066 0.027
HDL cholesterol (mg/dL) −0.158 0.062 −0.152
LDL cholesterol (mg/dL) −0.020 0.008 −0.002
Total cholesterol (mg/dL) −0.040 0.015 −0.025
hs-CRP (mg/dL) 0.489 −0.184 0.403
IL-6 (pg/mL) 0.176 −0.162 0.203
L/A ratio, leptin/adiponectin ratio; BMI, body mass index; SBP, systolic blood pressure; DBP, diastolic blood pressure; HbA1c, hemoglobin-A1c; HOMA-IR, homeostatic model-assessment for insulin resistance; HDL cholesterol, high density lipoprotein cholesterol; LDL-cholesterol, low-density lipoprotein cholesterol; hs-CRP, high-sensitivity C-reactive protein; IL-6, interleukin-6.
Tested by Spearman correlation analysis, *correlation coefficient (unadjusted), p < 0.05, p < 0.01.
Relationships among circulating levels of leptin and adiponectin, and major cardiovascular related risk factors after adjustments
Figure 2 shows the relationship among circulating levels of leptin, and adiponectin, leptin/adiponectin, and cardiovascular risk factors after adjustment for age, total calorie intake, current smoking, current drinking and menopausal status. Plasma leptin levels were positively correlated with waist circumference (r = 0.466), systolic blood pressure (r = 0.203) and hs-CRP (r = 0.444), and negatively correlated with HDL-cholesterol (r = −0.183). Plasma adiponectin levels were only correlated with waist circumference (r = −0.247) and hs-CRP (r = 0.212). In addition, leptin/adiponectin ratio showed significant relationships with waist circumference (r = 0.363), hs-CRP (r = 0.293), and HDL-cholesterol (r = −0.192). On the other hand, circulating levels of leptin and adiponectin and leptin/adiponectin ratio were not significantly correlated with the levels of diastolic blood pressure, fasting glucose, HbA1c and triglyceride.
Figure 2

Adjusted correlations between adipose derived hormones and major cardiovascular related risk factors.

HDL cholesterol, high-density lipoprotein cholesterol; L/A ratio, leptin/adiponectin ratio; SBP, systolic blood-pressure.
Tested by Partial correlation analysis. *Tested after log-transformation. r: correlation coefficient (adjusted for age, total calorie intake, current smoking, current drink and menopausal status), p < 0.05, p < 0.01.
cnr-10-206-g002.jpg
Leptin, mainly produced in adipose tissue regulates body weight by regulating food intake and energy expenditure, and acts as the main hormone of energy homeostasis and neuroendocrine function [5]. Inhibition of appetite by leptin is mainly mediated by both pro-opiomelanocortin-containing neurons and neuropeptide Y-containing neurons in the hypothalamus [19]. Leptin receptors called Ob receptors were expressed in hypothalamus and other tissues such as pituitary gland, kidney, lung, and land liver [20]. Leptin receptor has six isoforms such as Ob-Ra, Ob-Rb, Ob-Rc, Ob-Rd, Ob-Re and Ob-Rf [9]. Ob-Rb is a main receptor found in hypothalamus, and mediates insulin secretion and most of leptin signals [4, 9]. Ob-Ra acts as a leptin transporter, and Ob-Re is the soluble form of transmembrane leptin receptor [4]. It was reported that slightly increased circulating leptin levels reduced body weight by suppressing the appetite, whereas the increased circulating leptin levels observed in obese people did not control appetite [21]. Circulating leptin levels were positively related to BMI, and total body fat mass and percentage, which indicates that leptin excessively produced in obese status, and may cause leptin resistance, thereby inducing the impairment of metabolic regulation [13, 19]. Similarly, in this study, circulating leptin levels were higher in people with higher levels of body weight, BMI, visceral fat area and body fat percentage. In addition, the levels of BPs, and glycemic and inflammation markers were significantly higher in overweight and particularly obese people than in normal weight people. Previous study demonstrating the role of leptin in obesity shows that higher circulating leptin levels were important for body weight loss [22, 23]. In the obesity study using genetic rodent models such as Zucker fatty (fa/fa) rat and diabetic (db/db) mice, genetically induced abnormalities in leptin receptor increased central leptin resistance [19]. Human leptin gene mutation (OB and DBU genes) also lead to obesity [13, 21]. Many studies indicate that leptin plays an important role in chronic inflammation regulation. Increased circulating leptin levels observed in obesity is associated with low-grade systemic inflammation, and circulating leptin has been suggested to be a parameter for cardiovascular risk [13, 24]. Lieb et al. [24] mentioned that circulating leptin was strongly associated with CVD and incidence of congestive heart failure in their study performed in 818 subjects. Chronically increased leptin levels in obesity people caused the reduced responsiveness of pancreatic β-cell receptor, and increased insulin secretion [4]. According to Uslu et al. [25], insulin and circulating leptin were closely correlated with T2DM patients and circulating leptin levels were positively correlated with the levels of TG, glucose and systolic BP, and negatively correlated with HDL-C levels. These results are partly in accordance with the present study results. In the current study, circulating leptin levels were positively correlated with obesity related parameters including BMI, waist circumference visceral fat area and body fat percentage, HOMA-IR and inflammation markers, and negatively correlated with age and skeletal muscle percentage. After adjusted for confusion factors, circulating leptin levels were correlated with waist circumference, systolic BP and hs-CRP concentration, and negatively correlated with HDL-C. However, no significant relationship was observed between leptin levels and glucose metabolism parameters such as fasting glucose, and HbA1c. It may be due to that study subjects were not diagnosed for T2DM, and had relatively normal ranged fasting glucose levels.
Circulating adiponectin, mainly secreted from adipose tissue, was found in low levels among obese people compared with normal weight people, and positively associated with insulin sensitivity, and negatively with T2DM and metabolic syndrome [14, 15, 26]. Circulating concentrations of total and HMW adiponectin were found low in obesity and increased after weight loss [27]. Adiponectin has protective roles against pathogenesis of cardiometabolic disease [13]. As mentioned above, the form of adiponectin is distinguished by molecular weight (low-molecular-weight (LMW): homotrimers and hexamer, HMW: multimers, and globular adiponectin) and are recognized by adiponectin receptors (AdipoR1 and AdipoR2) [14]. AdipoR1 expressed in the skeletal muscle mainly recognizes globular adiponectin which was found very low levels in bloods, whereas AdipoR2 expressed in the liver mainly recognizes LMW and HMW [14]. In addition, the receptors, T-cadherin as well as AdipoR1, AdipoR2 lead to anti-inflammatory effect. The activation of AdipoR1 and AdipoR2 promotes fatty acid oxidation in hepatic and skeletal muscle, promotes lactate production and cellular glucose uptake, and inhibits hepatic glucogenesis, inflammation and oxidative stress [7, 14, 15]. Activation of T-cadherin has protective effect against oxidative stress in vascular endothelial cells [7]. Adiponectin suppressed the expression of adhesion molecules in endothelial cells, and increased nitric oxide suppressed smooth muscle cell proliferation [7, 8]. It also inhibited the differentiation of monocytes into macrophages and the formation of foam cells, and secretion of TNF-α by macrophages [13]. In obesity and T2DM, the expression of AdipoR1 and AdipoR2 was found significantly decreased, that is, altered expression of the receptors might reduce adiponectin sensitivity, leading to aggravating hyperinsulinemia [27]. Previous studies reported that low adiponectin levels are independently related with development of metabolic syndrome and hypertension [27, 28]. Abu-Farha et al. [28] reported that adiponectin was negatively correlated with CVD risk factors including BMI, waist circumference, SBP, glucose metabolism parameters, HOMA-IR and TG, but positively correlated with HDL-C and hs-CRP has positively correlation with most of CVD risk. According to von Eynatten et al. [29] circulating adiponectin was not associated with inflammation parameters, including IL-6, CRP, leukocyte count, but significantly associated with HDL-C (positively), and triglyceride and the ratio of total cholesterol to HDL-C (negatively). Conversely, Goropashnaya et al. [30] reported that circulating adiponectin levels were not significantly different among sex, age and BMI, but strongly related to HDL-C, waist circumference, insulin and TG. In our study, circulating adiponectin levels were negatively correlated with waist circumference, and hs-CRP levels, but did not significantly differ according to obesity status categorized by BMI level, these patterns were retained after the adjustment. The discrepancy with previous results may be due to subject characteristics. In most of previous studies adiponectin levels were measured among people with much higher BMI including diagnosed disease such as T2DM. On the other hand, this present study included Korean women without diagnosed disease, and used the definition of obesity announced by the KOSSO (BMI ≥ 25 kg/m2). In addition, humans and animal studies showed that caloric restriction diet improved adiponectin gene expression, and 10 to 20% weight reduction in obesity significantly improved the adiponectin expression in white adipose tissue as well as in circulating [31]. Also, sufficient intake of linoleic acid (C18:2 ω-6) increased circulating adiponectin, leading to improving insulin resistance [32]. Therefore, the relationship between adiponectin in circulation as well as adipose tissue, and nutrients are precisely further studied.
Leptin and adiponectin showed converse effects on glucose and adipose tissue metabolism, since circulating leptin/adiponectin rather than leptin and adiponectin alone, has been suggested as a better evaluation marker for cardiometabolic risk [12, 33]. In a cohort study, circulating leptin/adiponectin was a better predictive parameter than circulating adiponectin alone for the regression of metabolic syndrome in Korean (men p = 0.024, women p = 0.019) [34]. In addition, Jung et al. [35] reported that circulating adiponectin levels had relationship only with HDL-C, body weight and HOMA-IR, whereas adiponectin/leptin had strong relationships with cardiometabolic risk including obesity related parameters, lipid parameters, insulin and HOMA-IR in Korean healthy male. The present study also showed similarly results that leptin/adiponectin was higher in higher BMI groups among the study subjects. Also, leptin/adiponectin ratio had positively relationship with BMI, waist circumference, body fat percentage, hs-CRP levels and inflammation parameters, negatively relationship with age and skeletal muscle percentage, and correlated with waist circumference, HDL-C, and hs-CRP levels after the adjustment.
Increased circulating adiponectin levels were sometimes found in subjects with several diseases [36, 37, 38]. In patients diagnosed with nephrotic syndrome, circulating adiponectin concentration was significantly increased and has relationship with proteinuria. However, the mechanism observed in renal failure has not been clearly identified yet and it is still controversial [36, 37]. Beatty et al. [38] also reported that higher circulating adiponectin concentration was found in patients with stable ischemic heart disease (IHD) and suggest possibility that adiponectin was increased as a compensatory response to IHD.
The limitations of our study are that definition of obesity based on BMI was different from that applied to Western people and the sample size of subjects is relatively small. Thus, further studies are needed to include more seriously obese people (BMI ≥ 30 kg/m2) with metabolic abnormality, and expend the study subject numbers. Despite the study limitations, circulating leptin levels and leptin/adiponectin ratio were correlated with obesity and obesity related cardiometabolic risk. In the further study, it will provide a basement for nutrition guideline for prevention and management of obesity and CVD based on adipose tissue derived hormonal status.
National Research Foundation of Koreahttps://doi.org/10.13039/501100003725NRF-2016R1A2B4013627NRF-2019R1I1A3A01058861

Funding: This research was supported by grants from National Research Foundation of Korea (NRF-2016R1A2B4013627 and NRF-2019R1I1A3A01058861).

Conflicts of Interest: The authors declare that they have no competing interests.

  • 1. Seravalle G, Grassi G. Obesity and hypertension. Pharmacol Res 2017;122:1-7.
  • 2. Korean Society for the Study of Obesity. Body mass index, BMI [Internet]. 2020. cited 2020 July 12. Available from http://general.kosso.or.kr/html/?pmode=obesityDiagnosis
  • 3. Goh VH, Hart WG. Excess fat in the abdomen but not general obesity is associated with poorer metabolic and cardiovascular health in premenopausal and postmenopausal Asian women. Maturitas 2018;107:33-38.
  • 4. Yadav A, Kataria MA, Saini V, Yadav A. Role of leptin and adiponectin in insulin resistance. Clin Chim Acta 2013;417:80-84.
  • 5. Landecho MF, Tuero C, Valentí V, Bilbao I, de la Higuera M, Frühbeck G. Relevance of leptin and other adipokines in obesity-associated cardiovascular risk. Nutrients 2019;11:2664.
  • 6. Erxpharmaceuticals. Obesity [Internet]. 2020. cited 2020 July 12. Available from https://www.erxpharmaceuticals.com/metabolic-disease-focus/obesity/
  • 7. Lau WB, Ohashi K, Wang Y, Ogawa H, Murohara T, Ma XL, Ouchi N. Role of adipokines in cardiovascular disease. Circ J 2017;81:920-928.
  • 8. Balagopal PB, de Ferranti SD, Cook S, Daniels SR, Gidding SS, Hayman LL, McCrindle BW, Mietus-Snyder ML, Steinberger J. American Heart Association Committee on Atherosclerosis Hypertension and Obesity in Youth of the Council on Cardiovascular Disease in the Young. Council on Nutrition, Physical Activity and Metabolism. Council on Epidemiology and Prevention. Nontraditional risk factors and biomarkers for cardiovascular disease: mechanistic, research, and clinical considerations for youth: a scientific statement from the American Heart Association. Circulation 2011;123:2749-2769.
  • 9. Marroquí L, Gonzalez A, Ñeco P, Caballero-Garrido E, Vieira E, Ripoll C, Nadal A, Quesada I. Role of leptin in the pancreatic β-cell: effects and signaling pathways. J Mol Endocrinol 2012;49:R9-17.
  • 10. Farr OM, Gavrieli A, Mantzoros CS. Leptin applications in 2015: what have we learned about leptin and obesity? Curr Opin Endocrinol Diabetes Obes 2015;22:353-359.
  • 11. Segal KR, Landt M, Klein S. Relationship between insulin sensitivity and plasma leptin concentration in lean and obese men. Diabetes 1996;45:988-991.
  • 12. Frühbeck G, Catalán V, Rodríguez A, Gómez-Ambrosi J. Adiponectin-leptin ratio: a promising index to estimate adipose tissue dysfunction. Relation with obesity-associated cardiometabolic risk. Adipocyte 2018;7:57-62.
  • 13. López-Jaramillo P, Gómez-Arbeláez D, López-López J, López-López C, Martínez-Ortega J, Gómez-Rodríguez A, Triana-Cubillos S. The role of leptin/adiponectin ratio in metabolic syndrome and diabetes. Horm Mol Biol Clin Investig 2014;18:37-45.
  • 14. Achari AE, Jain SK. Adiponectin, a therapeutic target for obesity, diabetes, and endothelial dysfunction. Int J Mol Sci 2017;18:1321.
  • 15. Lihn AS, Pedersen SB, Richelsen B. Adiponectin: action, regulation and association to insulin sensitivity. Obes Rev 2005;6:13-21.
  • 16. Kumada M, Kihara S, Sumitsuji S, Kawamoto T, Matsumoto S, Ouchi N, Arita Y, Okamoto Y, Shimomura I, Hiraoka H, Nakamura T, Funahashi T, Matsuzawa Y. Osaka CAD Study Group. Association of hypoadiponectinemia with coronary artery disease in men. Arterioscler Thromb Vasc Biol 2003;23:85-89.
  • 17. Yamamoto S, Matsushita Y, Nakagawa T, Hayashi T, Noda M, Mizoue T. Circulating adiponectin levels and risk of type 2 diabetes in the Japanese. Nutr Diabetes 2014;4:e130.
  • 18. Nazari A, Khorramdelazad H, Hassanshahi G, Day AS, Sardoo AM, Fard ET, Abedinzadeh M, Nadimi AE. S100A12 in renal and cardiovascular diseases. Life Sci 2017;191:253-258.
  • 19. Shimizu H, Oh-I S, Okada S, Mori M. Leptin resistance and obesity. Endocr J 2007;54:17-26.
  • 20. Hussain Z, Khan JA. Food intake regulation by leptin: mechanisms mediating gluconeogenesis and energy expenditure. Asian Pac J Trop Med 2017;10:940-944.
  • 21. Gruzdeva O, Borodkina D, Uchasova E, Dyleva Y, Barbarash O. Leptin resistance: underlying mechanisms and diagnosis. Diabetes Metab Syndr Obes 2019;12:191-198.
  • 22. Heymsfield SB, Greenberg AS, Fujioka K, Dixon RM, Kushner R, Hunt T, Lubina JA, Patane J, Self B, Hunt P, McCamish M. Recombinant leptin for weight loss in obese and lean adults: a randomized, controlled, dose-escalation trial. JAMA 1999;282:1568-1575.
  • 23. Poetsch MS, Strano A, Guan K. Role of leptin in cardiovascular diseases. Front Endocrinol (Lausanne) 2020;11:354.
  • 24. Lieb W, Sullivan LM, Harris TB, Roubenoff R, Benjamin EJ, Levy D, Fox CS, Wang TJ, Wilson PW, Kannel WB, Vasan RS. Plasma leptin levels and incidence of heart failure, cardiovascular disease, and total mortality in elderly individuals. Diabetes Care 2009;32:612-616.
  • 25. Uslu S, Kebapçi N, Kara M, Bal C. Relationship between adipocytokines and cardiovascular risk factors in patients with type 2 diabetes mellitus. Exp Ther Med 2012;4:113-120.
  • 26. Iwashima Y, Katsuya T, Ishikawa K, Ouchi N, Ohishi M, Sugimoto K, Fu Y, Motone M, Yamamoto K, Matsuo A, Ohashi K, Kihara S, Funahashi T, Rakugi H, Matsuzawa Y, Ogihara T. Hypoadiponectinemia is an independent risk factor for hypertension. Hypertension 2004;43:1318-1323.
  • 27. Calton EK, Miller VS, Soares MJ. Factors determining the risk of the metabolic syndrome: is there a central role for adiponectin? Eur J Clin Nutr 2013;67:485-491.
  • 28. Abu-Farha M, Behbehani K, Elkum N. Comprehensive analysis of circulating adipokines and hsCRP association with cardiovascular disease risk factors and metabolic syndrome in Arabs. Cardiovasc Diabetol 2014;13:76.
  • 29. von Eynatten M, Hamann A, Twardella D, Nawroth PP, Brenner H, Rothenbacher D. Relationship of adiponectin with markers of systemic inflammation, atherogenic dyslipidemia, and heart failure in patients with coronary heart disease. Clin Chem 2006;52:853-859.
  • 30. Goropashnaya AV, Herron J, Sexton M, Havel PJ, Stanhope KL, Plaetke R, Mohatt GV, Boyer BB. Relationships between plasma adiponectin and body fat distribution, insulin sensitivity, and plasma lipoproteins in Alaskan Yup'ik Eskimos: the Center for Alaska Native Health Research study. Metabolism 2009;58:22-29.
  • 31. Nigro E, Scudiero O, Monaco ML, Palmieri A, Mazzarella G, Costagliola C, Bianco A, Daniele A. New insight into adiponectin role in obesity and obesity-related disease. Biomed Res Int 2014;2014:658913.
  • 32. Kim B, Jang Y, Paik JK, Kim OY, Lee SH, Ordovas JM, Lee JH. Adiponectin gene polymorphisms are associated with long-chain ω3-polyunsaturated fatty acids in serum phospholipids in nondiabetic Koreans. J Clin Endocrinol Metab 2010;95:E347-E351.
  • 33. Zhuo Q, Wang Z, Fu P, Piao J, Tian Y, Xu J, Yang X. Comparison of adiponectin, leptin and leptin to adiponectin ratio as diagnostic marker for metabolic syndrome in older adults of Chinese major cities. Diabetes Res Clin Pract 2009;84:27-33.
  • 34. Kang DR, Yadav D, Koh SB, Kim JY, Ahn SV. Impact of serum leptin to adiponectin ratio on regression of metabolic syndrome in high-risk individuals: the Arirang study. Yonsei Med J 2017;58:339-346.
  • 35. Jung CH, Rhee EJ, Choi JH, Bae JC, Yoo SH, Kim WJ, Park CY, Mok JO, Kim CH, Lee WY, Oh KW, Park SW, Kim SW. The relationship of adiponectin/leptin ratio with homeostasis model assessment insulin resistance index and metabolic syndrome in apparently healthy korean male adults. Korean Diabetes J 2010;34:237-243.
  • 36. Menon V, Li L, Wang X, Greene T, Balakrishnan V, Madero M, Pereira AA, Beck GJ, Kusek JW, Collins AJ, Levey AS, Sarnak MJ. Adiponectin and mortality in patients with chronic kidney disease. J Am Soc Nephrol 2006;17:2599-2606.
  • 37. Bakkaloglu SA, Soylemezoglu O, Buyan N, Funahashi T, Elhan AH, Peru H, Fidan K, Yilmaz S, Hasanoglu E. High serum adiponectin levels during steroid-responsive nephrotic syndrome relapse. Pediatr Nephrol 2005;20:474-477.
  • 38. Beatty AL, Zhang MH, Ku IA, Na B, Schiller NB, Whooley MA. Adiponectin is associated with increased mortality and heart failure in patients with stable ischemic heart disease: data from the Heart and Soul Study. Atherosclerosis 2012;220:587-592.

Download Citation

Download a citation file in RIS format that can be imported by all major citation management software, including EndNote, ProCite, RefWorks, and Reference Manager.

Format:

Include:

Relationship between Adipose Tissue Derived Hormones and Cardiometabolic Risk according to Obesity Status
Clin Nutr Res. 2021;10(3):206-218.   Published online July 30, 2021
Download Citation

Download a citation file in RIS format that can be imported by all major citation management software, including EndNote, ProCite, RefWorks, and Reference Manager.

Format:
Include:
Relationship between Adipose Tissue Derived Hormones and Cardiometabolic Risk according to Obesity Status
Clin Nutr Res. 2021;10(3):206-218.   Published online July 30, 2021
Close

Figure

  • 0
  • 1
Relationship between Adipose Tissue Derived Hormones and Cardiometabolic Risk according to Obesity Status
Image Image
Figure 1 Circulating levels of leptin (A), adiponectin (B) and leptin to adiponectin ratio (C) according to obesity status.Means ± standard error. Tested after log-transformation. Tested by one-way analysis of variance with LSD and general linear model with LSD adjusted for confounding factors (age, total calorie intake, cigarette smoking, alcohol drinking, and menopausal status); p0: unadjusted p value, p1: p value adjusted for confounding factors; p value < 0.05 indicates significant difference in the value among three groups; Sharing the same alphabet indicates no significant difference among the value.Normal weight, BMI 18.5–22.99; Overweight, BMI 23.0–24.99; Obesity, BMI ≥ 25; LSD, least significant difference.
Figure 2 Adjusted correlations between adipose derived hormones and major cardiovascular related risk factors.HDL cholesterol, high-density lipoprotein cholesterol; L/A ratio, leptin/adiponectin ratio; SBP, systolic blood-pressure.Tested by Partial correlation analysis. *Tested after log-transformation. r: correlation coefficient (adjusted for age, total calorie intake, current smoking, current drink and menopausal status), †p < 0.05, ‡p < 0.01.
Relationship between Adipose Tissue Derived Hormones and Cardiometabolic Risk according to Obesity Status
Table 1 Baseline characteristic and biochemical parameters of study subjects according to BMI status

Data are presented as mean ± standard error.

BMI, body mass index; Normal weight, BMI 18.5–22.99; Overweight, BMI 23.0–24.99; Obesity, BMI ≥ 25; BP, blood pressure; TCI, total calorie intake; HbA1c, hemoglobin A1c; HOMA-IR, homeostatic model assessment for insulin resistance; HDL cholesterol, high density lipoprotein cholesterol; LDL-cholesterol, low density lipoprotein cholesterol; AST, aspartate amino transferase; ALT, alanine amino transferase; BUN, blood urea nitrogen; hs-CRP, high-sensitivity C-reactive protein; IL-6, interleukin-6.

*Tested after log-transformation. Tested by one-way analysis of variance with least significant difference method or χ2 test. p < 0.05 indicates significant differences among the values for the same variance. Sharing the same alphabet indicates no significant difference among the value.

Table 2 Relationships among circulating levels of leptin and adiponectin, and anthropometric & biochemical parameters

L/A ratio, leptin/adiponectin ratio; BMI, body mass index; SBP, systolic blood pressure; DBP, diastolic blood pressure; HbA1c, hemoglobin-A1c; HOMA-IR, homeostatic model-assessment for insulin resistance; HDL cholesterol, high density lipoprotein cholesterol; LDL-cholesterol, low-density lipoprotein cholesterol; hs-CRP, high-sensitivity C-reactive protein; IL-6, interleukin-6.

Tested by Spearman correlation analysis, *correlation coefficient (unadjusted), p < 0.05, p < 0.01.