Skip to main navigation Skip to main content
  • KSCN
  • E-Submission

CNR : Clinical Nutrition Research

OPEN ACCESS
ABOUT
BROWSE ARTICLES
EDITORIAL POLICIES
FOR CONTRIBUTORS

Articles

Original Article

Association of Dietary Patterns with Visceral Adiposity, Lipid Accumulation Product, and Triglyceride-Glucose Index in Iranian Adults

Clinical Nutrition Research 2020;9(2):145-156.
Published online: April 27, 2020

1Department of Community Nutrition, School of Nutritional Sciences and Dietetics, Tehran University of Medical Sciences, Tehran 14167-53955, Iran.

2Students' Scientific Research Center, Tehran University of Medical Sciences, Tehran 14167-53955, Iran.

3Department of Clinical Nutrition, School of Nutritional Sciences and Dietetics, Tehran University of Medical Sciences, Tehran 14167-53955, Iran.

4Centre for Sport, Exercise, and Life Sciences, Coventry University, Coventry CV1 5FB, UK.

Correspondence to Sakineh Shab-Bidar. Department of Community Nutrition, School of Nutritional Sciences and Dietetics, Tehran University of Medical Sciences, No. 44, Hojjat-dost Alley, Naderi St., Keshavarz Blvd, Tehran 14167-53955, Iran. s_shabbidar@tums.ac.ir
• Received: March 21, 2020   • Revised: April 14, 2020   • Accepted: April 21, 2020

Copyright © 2020. The Korean Society of Clinical Nutrition

This is an Open Access article distributed under the terms of the Creative Commons Attribution Non-Commercial License (https://creativecommons.org/licenses/by-nc/4.0/) which permits unrestricted non-commercial use, distribution, and reproduction in any medium, provided the original work is properly cited.

  • 500 Views
  • 0 Download
  • 12 Crossref
prev next
  • In the present study, we sought to examine the association between dietary patterns (DPs) and visceral adiposity, lipid accumulation product (LAP), and triglyceride-glucose index. This cross-sectional study was conducted on adults aged between 18–45 years old who lived in Tehran, Iran, between February 2017 and December 2018 (n = 270). DPs were derived using principal component analysis. We used analysis of variance to examine differences in continues variables across tertiles of major DPs. Subsequently, for the modeling of these relationships, and also considering the possible effect of the confounding factors, multivariate regression was used. Three DPs were identified: healthy pattern, mixed pattern, and western pattern, respectively. Compared with individuals in the lowest category of mixed pattern, those in the highest category had lower fasting blood sugar (96.26 ± 11.57 vs. 101 ± 28.66, p = 0.01). A significant association was found between healthy pattern, after adjustment for potential confounders, and odds of LAP; such that individuals in the top category of healthy pattern score were 71% less likely to have a high LAP compared with those in the lowest category (odds ratio, 0.29; 95% confidence interval, 0.10–0.81). We found that adherence to a healthy DP was associated with decreased LAP. To confirm the veracity of these findings, more studies should be conducted.
Metabolic syndrome (MetS) is regarded as a collection of multiple metabolic risk factors that appear together, and concurrently increases the risk of cardiovascular disease (CVD) [1] and diabetes [2, 3, 4]. This syndrome is characterized by central obesity, high blood pressure (BP), increased fasting blood sugar (FBS), high triglyceride (TG) level, and reduced high-density lipoprotein cholesterol (HDL-C) [2, 3, 4]. Visceral adipose tissue (VAT) is a hormonally active part of body fat mass that is stored within the abdominal cavity, near the digestive organs [5, 6]. VAT is regarded as an independent risk factor for MetS due to its role in glucose [1], lipid metabolism [7], and regulating BP [8]. Indeed, it has been shown that patients with visceral obesity may develop atherosclerosis, and are particularly prone to CVD [9]. Lipid accumulation product (LAP) index is a biomarker of the central fat accumulation which has recently been developed and been advocated as an accurate indicator of the risk of insulin resistance (IR), MetS, type 2 diabetes, and CVD [10, 11, 12]. LAP is associated with abnormal glucose homeostasis and IR, as well as increased alanine aminotransferase, in healthy people [13]. A Chinese study has reported that both LAP and VAT are effective markers for classifying adults for obesity phenotypes [14]. Moreover, the triglyceride-glucose (TyG) index, a product of FBS and TG, is a new marker for metabolic disorders and is purportedly associated with the risk of CVD in healthy people [15]. Indeed, some studies have shown that the TyG index has been closely associated with the homeostasis of the IR assessment model, and has a higher sensitivity and specificity in the evaluation of IR than the hyperinsulinemic-euglycemic clamp method [16, 17]. It is recommended to evaluate the IR using the TyG index timely and efficiently with laboratory tests [18]. A 4-year retrospective study in Korea demonstrated that TyG index was a significant indicator of the risk of diabetes [18], whilst IR was associated with obesity, high BP, and dyslipidemia [19]; however, the prognostic value of TyG index in patients with stable coronary artery disease is currently unknown [15].
It appears that VAT is affected by changes in diet and lifestyle. In addition, it has been proposed that VAT is affected by the qualitative aspects of non-calorie diets, although evidence of a macronutrient combination of diet and VAT is still limited [20]. Recent research shows that energy consumption, mainly in the form of carbohydrate or fat, for 3 months does not affect visceral fat and MetS in a low-processed, low-glycemic diet [20]. There are, however, contradictory findings regarding the association between different dietary intakes, LAP, and visceral adiposity index (VAI). No significant relationship has been reported between consumption of carbohydrates [21, 22], dietary fatty acids [23], including saturated fatty acids, monounsaturated fatty acids (MUFAs), polyunsaturated fatty acids (PUFAs), and VAT [24]. However, it is important to note that food and nutrients are consumed in combination, and complex compositions of nutrients likely have interactionist or synergistic impact [25].
Therefore, given the current dearth of suitable studies to address the aforementioned issues, the aim of this study was to investigate the association of dietary patterns (DPs) with visceral adiposity, LAP, and TyG index in Iranian adults.
Study design
This cross-sectional study was conducted on adults, aged between 18–45 years old, who lived in Tehran between February 2017 and December 2018. This study was conducted according to the guidelines laid down in the Declaration of Helsinki and all procedures involving human subjects were approved by the ethical standards of the Tehran University of Medical Sciences (ethic No. IR.TUMS.VCR.REC.1396.4085), who approved the protocol and informed consent form. All participants signed a written informed consent prior to the start of the study.
Eligibility criteria
Participants with special diets, such as weight loss and weight gain diets, adults with chronic diseases affecting the resting metabolic rate, including diabetes, hormonal and CVD, pregnant and lactating women, receiving any special medication or supplement (slimming medicine, hormone, sedative, supplements containing thermogenic substances, such as caffeine and green tea, linoleic acid conjugate, etc.), were excluded from the study. Finally, data for 270 adults, consisting of 118 males and 152 females, were analyzed.
Demographics
Additional covariates, including age, gender, smoking status (non-smoker, former smoker, or current smoker), marital status (married or single), education status (high as above the diploma or low as under diploma), medical history (underlying disease such as diabetes, hypertension, stroke, cancer, or dyslipidemia), and physical activity level (low, moderate, or vigorous) were obtained using validated questionnaires.
Dietary assessment
The dietary intake of participants was assessed by a valid and reliable semi-quantitative food frequency questionnaire (FFQ), which contained 168 food items [26]. The FFQ was administered by trained dietitians, via face-to-face interviews, asking participants to report their frequency of consumption of each food item, during the past year on a daily, weekly, or monthly basis. These reports were subsequently converted to daily intake.
Physical activity
Physical activity was assessed using the International Physical Activity Questionnaire (IPAQ), which is an interview-administered instrument. Based on the criteria, data were collected regarding walking, moderate, and vigorous activity, in the preceding week. In addition, time and frequency of activity days were recorded, and finally, a physical activity score was calculated. In the present study, we used the short form of the IPAQ (the "last 7-day recall" version of the IPAQ-SF), which records 3 intensity levels of activity based on the metabolic equivalents (METs). Finally, METs were classified as low (< 600 MET-min/wk), moderate (600–3,000 MET-min/wk), and vigorous (> 3,000 MET-min/wk).
Anthropometry measurements and body composition
Weight was measured using digital scales (Seca model 808; Seca, Hamburg, Germany, measurement accuracy ± 0.1 kg), whilst height was measured using a stadiometer (Seca, measurement accuracy ± 0.1 cm). Body mass index (BMI) was calculated using measured weight (kg)/height (meters) squared. Visceral fat level (VFL) was measured using bioimpedance analysis (BIA) (InBody S10, JMW140; InBody, Seoul, Korea). Also, to improve measurement accuracy, people were advised not to engage in moderate to vigorous physical activity 1-to-2 hours before using the BIA device and to empty their bladder prior to measurement.
Laboratory investigation
Ten mL and three mL blood samples, respectively, were obtained between the hours of 7–10 am from all participants in a fasted state. Next, blood samples were collected in acid-washed test tubes without anticoagulants. After storing at room temperature for 30 minutes and clot formation, blood samples were centrifuged at 1,500 g for 20 min. Serums were stored at −80° C until future testing. Glucose was measured by the enzymatic (glucose oxidase) colorimetric method, using a commercial kit (Pars Azmun, Tehran, Iran). Serum total cholesterol (TC) and HDL-C were measured using a cholesterol oxidase phenol 4-aminoantipyrine method, and TG was measured using a glycerol-3 phosphate oxidase phenol 4-aminoantipyrine enzymatic method.
Definitions
The TyG index was calculated as the ln fastingTG(mg/dL)×glucose(mg/dL)2 [27]. LAP was calculated as [waist circumference (WC) − 65] × TG in men, and (WC − 58) × TG in women [28].
Dietary patterns
To extract the participants' DPs, a principal component analysis (PCA) was conducted [29]. Food items were grouped into 25 food groups based on similarities in ingredients, nutrient profile, or culinary usage. These food groups were entered into the PCA. Before the analysis, the correlation matrix between the 25 food groups was statistically examined to justify undertaking factor analysis. The Bartlett test was significant at a p value less than 0.05, the Kaiser-Meyer-Olkin test was more than 0.6, and Anti-image was more than 0.5, indicating that the correlation among the variables was sufficiently strong for factor analysis. The analyzed factors were adjusted using a varimax rotation to improve data interpretability. The eigenvalues and scree plots were taken into account to determine the number of retained factors with regard to DPs. The derived DPs were labeled based on food groups having a rotated factor loading greater than 0.3 [30, 31, 32]. Factor scores for each pattern were obtained by summing intakes of food groups weighted by their factor loadings [33], and for each pattern, participants were grouped into tertiles.
Statistical analysis
Descriptive statistics, including mean, median, standard deviation, and frequencies were used to describe the data including exposure, outcome, and covariates. The normality test is performed by the Kolmogorov-Smirnov test, and also the Q-Q plot. We used analysis of variance to examine differences in continues variables across tertiles of major DPs. In the next step, for the modeling of these relationships, and to consider the possible effect of confounding factors, multivariate logistic regression was used. To obtain the odds ratios (ORs) for a higher level of TyG index, LAP index, and VFL, we used the using the median values Besides the crude model (unadjusted), 2 other models (model 1 and model 2) were used for the analysis of the data. Model 1 was adjusted for age, sex, education, physical activity, smoking, and income. Model 2 was adjusted for variables in model 1 plus energy and BMI as confounding factors. Also, the first tertiles with the lowest major DPs were considered as the reference. The significance level of < 0.05 with 95% confidence intervals (CIs) was considered for statistical analysis. Subjects were categorized as dichotomously using the median. The p < 0.05 was accepted to represent significance, a priori. All statistical analyses were performed using Statistical Package for Social Science (SPSS version 24.0; IBM Corp., Armonk, NY, USA).
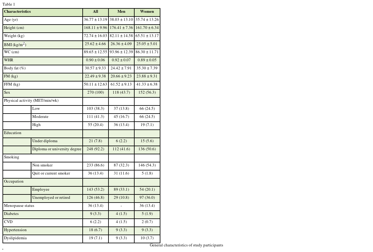
General characteristics of study subjects are presented in Table 1. Of the 270 participants, 44% were male and 56% female. The mean age of the population was 36.7 years, whilst the mean body fat of the population was 30.5%.
Table 1

General characteristics of study participants

Table 1
Characteristics All Men Women
Age (yr) 36.77 ± 13.19 38.03 ± 13.10 35.74 ± 13.26
Height (cm) 168.11 ± 9.96 176.41 ± 7.36 161.70 ± 6.34
Weight (kg) 72.74 ± 16.03 82.11 ± 14.58 65.51 ± 13.17
BMI (kg/m2) 25.62 ± 4.66 26.36 ± 4.09 25.05 ± 5.01
WC (cm) 89.65 ± 12.55 93.96 ± 12.39 86.30 ± 11.71
WHR 0.90 ± 0.06 0.92 ± 0.07 0.89 ± 0.05
Body fat (%) 30.57 ± 9.33 24.42 ± 7.91 35.30 ± 7.39
FM (kg) 22.49 ± 9.38 20.66 ± 9.23 23.88 ± 9.31
FFM (kg) 50.11 ± 12.63 61.52 ± 9.13 41.33 ± 6.38
Sex 270 (100) 118 (43.7) 152 (56.3)
Physical activity (MET/min/wk)
Low 103 (38.3) 37 (13.8) 66 (24.5)
Moderate 111 (41.3) 45 (16.7) 66 (24.5)
High 55 (20.4) 36 (13.4) 19 (7.1)
Education
Under diploma 21 (7.8) 6 (2.2) 15 (5.6)
Diploma or university degree 248 (92.2) 112 (41.6) 136 (50.6)
Smoking
Non smoker 233 (86.6) 87 (32.3) 146 (54.3)
Quit or current smoker 36 (13.4) 31 (11.6) 5 (1.8)
Occupation
Employee 143 (53.2) 89 (33.1) 54 (20.1)
Unemployed or retired 126 (46.8) 29 (10.8) 97 (36.0)
Menopause status 36 (13.4) - 36 (13.4)
Diabetes 9 (3.3) 4 (1.5) 5 (1.9)
CVD 6 (2.2) 4 (1.5) 2 (0.7)
Hypertension 18 (6.7) 9 (3.3) 9 (3.3)
Dyslipidemia 19 (7.1) 9 (3.3) 10 (3.7)
Values are based on mean ± standard deviation or number (%).
BMI, body mass index; WC, waist circumference; FFM, fat free mass; FM, fat mass; WHR, waist to hip ratio; CVD, cardiovascular disease; MET, metabolic equivalent.
Food groups and their loading factors, stratified by the type of DPs, are shown in Table 2. The healthy DP was positively correlated with the consumption of vegetables, fruits, and fruits juices, legumes, poultry, nuts, as well as the consumption of fish, egg, low-fat dairy products, olives, and olive oil. The mixed DP was most strongly correlated with the consumption of non-refined cereals, vegetables, vegetable oils, mayonnaise, high-fat dairy products, and pickles. The western DP was positively correlated with the consumption of refined cereals, red or processed meat, soft drinks, sweets and desserts, tea and coffee, salty snacks, and French fries.
Table 2

Food groups and their loading factors stratified by the type of DPs

Table 2
Food groups Group details DPs
Healthy pattern Mixed pattern Western pattern
Refined cereals Lavash bread, baguette bread, rice, pasta, others - - 0.456
Non refined cereals Dark breads (e.g., barbari, sangak, taftun), bran breads, others - 0.468 -
Legumes Lentils, split pea, beans, chick pea, fava bean, soy, others 0.623 - -
Red or processed meat Beef and veal, lamb, minced meat, sausage, deli meat, hamburger - - 0.401
Vegetables Cauliflower, carrot, tomato and its products, spinach, lettuce, cucumber, eggplant, onion, greens, green bean, green pea, squash, mushroom, pepper, corn, garlic, turnip, others 0.538 0.467 -
Vegetable oils Vegetable oils (except for olive oils) - 0.428 -
Poultry Chicken 0.727 - -
Organ meats Heart, kidney, liver, tongue, brain, offal, rennet - - -
Soft drinks Soft drinks - - 0.699
Sweets and desserts Cookies, cakes, biscuits, muffins, pies, chocolates, honey, jam, sugar cubes, sugar, candies, sweet tahini, others - - 0.469
Salt Salt - - -
Mayonnaise Mayonnaise - 0.767 -
Tea and coffee Tea and coffee - - 0.313
Salty snacks Corn puffs, crackers, potato chips, others - - 0.547
High fat dairy product High-fat milk, high-fat yogurt, cream cheese, cream, dairy fat, ice cream, others - 0.543 -
French fries French fries - - 0.621
Potatoes Potatoes - - -
Fruits and fruits juices Melon, watermelon, honeydew melon, plums, prunes, apples, cherries, sour cherries,peaches, nectarine, pear, fig, date, grapes, kiwi, pomegranate, strawberry, banana,persimmon, berry, pineapple, oranges, dried fruits, all juices, others 0.582 - -
Nuts Almonds, peanut, walnut, pistachio, hazelnut, seeds, others 0.485 - -
Fish All fish types 0.581 - -
Pickles Pickles, sauerkraut - 0.718 -
Egg Eggs 0.648 - -
Low fat dairy product Low-fat milk, skim milk, low-fat yogurt, cheese, Kashk, yogurt drink, others 0.451 - -
Hydrogenated fats Hydrogenated vegetable oils, solid fats (animal origin), animal butter, margarine - - -
Olive and olive oil Olive and olive oil 0.453 - -
Absolute values < 0.30 were not listed in the table for simplicity. Foods or food groups with factor loadings < 0.30 for both factors were excluded.
Multivariate adjusted means for FBS, TG, TC, HDL, low-density lipoprotein (LDL), TyG index, and LAP across tertiles of major DPs are detailed in Table 3. Compared with individuals in the lowest category of the mixed DP, those in the highest category had lower FBS after adjustment for age, sex, education, physical activity, smoking, income, total energy, and BMI. Individuals in the top tertile of the mixed DP had higher VFL. However, this association became non-significant after taking potential confounders into account. In addition, individuals in the lowest category of the western DP had higher mean TG than those in the highest category. No other significant differences were seen across categories of healthy, mixed, and western DPs.
Table 3

Multivariate adjusted means for FBS, TG, TC, HDL, LDL, VLF, TyG index and LAP index across T of major DPs

Table 3
Tertiles of major DP T1 T2 T3 p value p trend p ANCOVA
Healthy DP
FBS (mg/dL) 98.59 ± 12.04 96.76 ± 10.56 99.94 ± 28.62 0.53 0.63 0.72
TG (mg/dL) 117.39 ± 65.50 132.34 ± 80.54 109.76 ± 59.82 0.08 0.46 0.10
TC (mg/dL) 183.39 ± 34.24 190.33 ± 39.94 189.61 ± 40.28 0.41 0.27 0.27
HDL (mg/dL) 49.16 ± 10.54 50.87 ± 11.70 189.61 ± 40.28 0.47 0.98 0.50
LDL (mg/dL) 111.29 ± 29.43 112.98 ± 32.74 118.46 ± 34.81 0.30 0.14 0.13
VFL (cm2) 9.52 ± 4.29 9.73 ± 4.42 10.24 ± 4.89 0.55 0.29 0.89
TyG index 8.52 ± 0.54 8.59 ± 0.60 8.47 ± 0.54 0.34 0.51 0.21
LAP index 38.09 ± 30.51 40.72 ± 37.68 43.65 ± 33.67 0.55 0.27 0.92
Mixed DP
FBS (mg/dL) 101.00 ± 28.66 97.98 ± 10.29 96.26 ± 11.57 0.23 0.09 0.01
TG (mg/dL) 116.87 ± 69.74 124.90 ± 72.44 117.89 ± 67.11 0.70 0.92 0.81
TC (mg/dL) 188.62 ± 37.89 190.86 ± 37.33 183.77 ± 39.56 0.45 0.40 0.58
HDL (mg/dL) 49.52 ± 9.81 50.54 ± 11.97 49.17 ± 10.25 0.67 0.82 0.55
LDL (mg/dL) 116.32 ± 31.66 115.34 ± 31.33 111.02 ± 34.36 0.51 0.27 0.54
VFL (cm2) 9.03 ± 4.25 9.65 ± 4.48 10.82 ± 4.73 0.03 < 0.01 0.56
TyG index 8.52 ± 0.59 8.57 ± 0.53 8.49 ± 0.57 0.63 0.77 0.35
LAP index 38.08 ± 32.76 39.67 ± 36.82 44.77 ± 32.28 0.39 0.19 0.66
Western DP
FBS (mg/dL) 97.93 ± 8.81 97.21 ± 12.68 100.12 ± 28.80 0.56 - 0.80
TG (mg/dL) 108.04 ± 54.90 129.77 ± 75.13 122.07 ± 75.95 0.10 0.17 0.03
TC (mg/dL) 185.56 ± 36.14 194.53 ± 37.88 183.24 ± 40.07 0.11 - 0.18
HDL (mg/dL) 49.58 ± 9.84 50.34 ± 11.51 49.32 ± 10.77 0.80 - 0.86
LDL (mg/dL) 114.36 ± 31.98 118.89 ± 33.15 109.50 ± 31.83 0.15 0.31 0.45
VFL (cm2) 10.33 ± 4.69 9.75 ± 4.63 9.59 ± 4.29 0.44 0.27 0.76
TyG index 8.46 ± 0.49 8.59 ± 0.57 8.54 ± 0.61 0.27 0.31 0.11
LAP index 39.59 ± 30.21 39.56 ± 39.99 43.35 ± 31.13 0.69 0.46 0.09
Data are shown as mean ± standard deviation.
DP, dietary pattern; T, tertiles; FBS, fasting blood sugar; TG, triglyceride; TC, total cholesterol; HDL, high-density lipoprotein; LDL, low-density lipoprotein; VFL, visceral fat level; TyG, triglyceride-glucose; LAP, lipid accumulation product; ANCOVA, analysis of covariance.
Multivariate adjusted ORs and 95% CIs for TyG index, LAP index, and VFL across tertiles of major DPs are detailed in Table 4. No significant association was found between the healthy DP and high TyG index, high LAP, and high VFL. This non-significant association remained after taking age, sex, education, physical activity, smoking, and income into account. However, additional adjustments for other covariates revealed a significant inverse association between healthy DP and odds of high LAP; such that individuals in the highest category of healthy DP score were 71% less likely to have a high LAP, compared with those in the bottom category (OR, 0.29; 95% CI, 0.10–0.81). With regards to the mixed DP, we found no significant association with high TyG index, high LAP, and high VFL, either before or after taking potential confounders into account. No significant association was found between western DP and high TyG index, high LAP, and high VFL; which also remained non-significant in the fully adjusted model.
Table 4

Multivariate adjusted odds ratios and 95% confidence intervals for TyG index, LAP index and VFL* across T of major DPs

Table 4
Tertiles of major DPs T1 (n = 84) T2 (n = 83) T3 (n = 84) p value
Healthy DP
High TyG index
Crude 1.00 0.97 (0.54–1.75) 0.79 (0.44–1.43) 0.71
Model 1 1.00 1.12 (0.60–2.11) 0.84 (0.43–1.66) 0.67
Model 2§ 1.00 1.09 (0.58–2.06) 0.75 (0.36–1.55) 0.53
High LAP index
Crude 1.00 0.78 (0.43–1.40) 1.09 (0.60–1.97) 0.51
Model 1 1.00 0.53 (0.26–1.07) 0.59 (0.28–1.25) 0.18
Model 2 1.00 0.38 (0.15–0.91) 0.29 (0.10–0.81) 0.04
High VFL (cm2)
Crude 1.00 1.40 (0.77–2.52) 1.43 (0.79–2.58) 0.40
Model 1 1.00 1.57 (0.79–3.11) 1.44 (0.69–3.02) 0.40
Model 2 1.00 1.49 (0.75–2.98) 1.17 (0.53–2.59) 0.50
Mixed DP
High TyG index
Crude 1.00 1.06 (0.59–1.92) 0.83 (0.46–1.50) 0.69
Model 1 1.00 0.90 (0.48–1.69) 0.73 (0.39–1.35) 0.59
Model 2 1.00 0.88 (0.47–1.66) 0.60 (0.30–1.20) 0.33
High LAP index
Crude 1.00 1.34 (0.74–2.41) 1.43 (0.79–2.58) 0.44
Model 1 1.00 0.97 (0.49–1.93) 0.82 (0.45–1.87) 0.97
Model 2 1.00 1.26 (0.55–2.87) 0.79 (0.31–2.03) 0.59
High VFL (cm2)
Crude 1.00 1.28 (0.71–2.31) 1.80 (0.99–3.26) 0.15
Model 1 1.00 0.83 (0.41–1.64) 1.18 (0.59–2.36) 0.59
Model 2 1.00 0.79 (0.39–1.58) 0.91 (0.42–1.97) 0.80
Western DP
High TyG index
Crude 1.00 1.02 (0.56–1.83) 1.31 (0.72–2.36) 0.60
Model 1 1.00 1.23 (0.63–2.40) 1.84 (0.92–3.69) 0.20
Model 2 1.00 1.23 (0.63–2.40) 1.87 (0.89–3.91) 0.23
High LAP index
Crude 1.00 0.78 (0.43–1.40) 1.09 (0.60–1.97) 0.51
Model 1 1.00 1.36 (0.64–2.92) 1.88 (0.87–4.08) 0.26
Model 2 1.00 1.69 (0.65–4.38) 3.04 (1.11–8.31) 0.09
High VFL (cm2)
Crude 1.00 0.49 (0.27–0.90) 0.69 (0.38–1.25) 0.07
Model 1 1.00 0.84 (0.41–1.73) 1.46 (0.69–3.08) 0.27
Model 2 1.00 0.82 (0.39–1.69) 1.24 (0.56–2.73) 0.53
DP, dietary pattern; T, tertiles; TyG, triglyceride-glucose; LAP, lipid accumulation product; VFL, visceral fat level.
*TyG index, LAP index and VLF were categorized using the median values: TyG median = 8.49 and LAP median = 33.5; VFL =10.0 cm2. High TyG index > 8.49; High LAP index > 33.5; High VFL > 10.0 cm2; p value obtained from logistic regression. p value < 0.05 considered significant; Model 1: adjusted for age, sex, education, physical activity, smoking and income; §Model 2: adjusted for age, sex, education, physical activity, smoking, income, energy, and body mass index.
In the current study, we did not detect any significant association between DPs and TyG index and VFL, after controlling for some potential confounders. It should be noted that adherence to the healthy DP was characterized by high intakes of vegetables, fruits and fruits juices, legumes, poultry, nuts, as well as fish, egg, low-fat dairy product, olives, and olive oil, and was associated with decreased LAP in the fully adjusted model.
Diet is a key contributor to the development of IR and adiposity, in particular visceral adiposity [34, 35]. Earlier studies have reported on the potential contribution of diet to insulin serum levels and body composition, however, little attention has been paid to TyG and LAP, which are strong indicators for predicting IR [36, 37]. Several studies have investigated the relationship of a posteriori or a priori DPs; indeed, findings from a prospective cohort study showed that adherence to an anti-inflammatory diet was inversely associated with hepatic steatosis indices, such as TyG index, fatty liver index, and non-alcoholic fatty liver disease fibrosis score, respectively [38]. Another study that examined the associations of whole-grain intake and IR, glucose homeostasis, and inflammation, revealed that individuals in the highest category of whole-grain intake had lower blood levels of C-reactive protein, apolipoprotein B, FBG, insulin, homeostatic model assessment of IR, and HOMA-β, hemoglobin A1c, and glucose after 2-hour oral glucose tolerance test, compared with those in the lowest category of whole-grain intake [39]. In another cohort study, where participants followed a diet rich in carbohydrate, sugar, total fat, and saturated fat, the diet was associated with increased mean LAP, VAI, and glucose homeostasis indices. In contrast, adherence to a diet with a high load of vitamins, minerals, and fiber was associated with decreased levels of LAP and VAI. In addition, a third DP, which was mainly constituent of PUFAs and MUFAs, had a significant inverse association with LAP and FBS [40]. In a study conducted on Brazilian adults, adherence to a “Healthy” DP was inversely associated with obesity-related indices, such as WC, BMI, and waist-to-hip ratio (WHR), as well as systolic BP, fasting glucose, TG/HDL, LDL/HDL, and TG/HDL levels. While following a “Traditional” pattern was associated with higher adiposity indicators (WC, BMI, and WHR), and inversely associated with body fat, TyG, HDL, and LDL [41].
A cross-sectional study that examined the association of fat intake and VAT showed a significant positive association between fat intake and VAT in overweight young adults [21]. Increasing MUFA consumption concomitant to a reduction in dietary intake of total protein or PUFA was, reportedly, positively associated with VAI changes in a study on Iranian adults [42]. Furthermore, a case-control study conducted on Brazilian children showed that an industrialized DP was associated with excess weight and body fat, and the authors reported that there was an inverse association between excess body fat and adherence to a traditional DP; however, the unhealthy, snacks and healthy DPs were not associated with obesity or body adiposity [43].
Importantly, demographical, cultural, and economic differences and different regions and study populations may strongly influence results, and thus, it is often difficult to compare reports in the literature and must be considered when interpreting findings. Notwithstanding, several possible mechanisms should be considered regarding how a healthy DP might affect visceral fat. The low glycemic index carbohydrate of vegetables, nuts, and legumes can reduce the IR; moreover, another potential mechanism is that the fiber content of vegetables, nuts, and legumes could lead to a decreased nutrient absorption, or energy reduction, therein directly affecting total fat mass and visceral fat accumulation. It has been demonstrated that higher fiber intake may improve IR and decrease visceral fat adiposity [44, 45, 46]. In addition to the above-mentioned mechanisms, the anti-inflammatory and anti-oxidative properties of fiber, nuts, legumes, and olive oil can reduce systemic inflammation [47, 48]. Indeed, it has been demonstrated that chronic, low-grade inflammation, may provoke obesity and is associated with multiple metabolic complications [49]. Together, these mechanisms support our findings that a healthy DP may result in reductions in VFLs.
This study has several strengths. Indeed, this is one of the few studies conducted in developing countries to have examined the association between DPs and TyG index, LAP index, and VFL. In addition, we controlled for a wide range of potential confounders to obtain an independent association. Furthermore, validated questionnaires were used for data collection, which can further support the accuracy of the findings. Another strength of this study is that we examined the association between DPs and obesity, given that people are not just consuming food alone, but using a combination of them, evaluating DPs may provide valuable information. However, despite the strengths of our study, there are some limitations that need to be considered. Due to the cross-sectional nature of the present study, causal relationships between DPs and TyG index, LAP, and VFL cannot be inferred. As with all epidemiological studies, misclassification of participants due to the use of FFQ is unavoidable, however, we endeavored to ameliorate some misclassification by using trained dietitians to collect relevant data. Despite adjustment for several confounders, the potential effects from residual confounders cannot be excluded.
In conclusion, we found that adherence to a healthy DP was inversely associated with decreased LAP, but not with TyG index. To confirm the veracity of these findings, randomized controlled trials should be conducted.

Conflict of Interest: The authors declare that they have no competing interests.

This paper is a part of the master thesis of Mohammad Reza Amini. Special thanks go to all those who participated in this study.
  • 1. Hayashi T, Boyko EJ, Leonetti DL, McNeely MJ, Newell-Morris L, Kahn SE, Fujimoto WY. Visceral adiposity and the risk of impaired glucose tolerance: a prospective study among Japanese Americans. Diabetes Care 2003;26:650-655.
  • 2. Alberti KG, Eckel RH, Grundy SM, Zimmet PZ, Cleeman JI, Donato KA, Fruchart JC, James WP, Loria CM, Smith SC Jr. International Diabetes Federation Task Force on Epidemiology and Prevention. Hational Heart, Lung, and Blood Institute. American Heart Association. World Heart Federation. International Atherosclerosis Society. International Association for the Study of Obesity. Harmonizing the metabolic syndrome: a joint interim statement of the International Diabetes Federation Task Force on Epidemiology and Prevention; National Heart, Lung, and Blood Institute; American Heart Association; World Heart Federation; International Atherosclerosis Society; and International Association for the Study of Obesity. Circulation 2009;120:1640-1645.
  • 3. Ford ES, Li C, Sattar N. Metabolic syndrome and incident diabetes: current state of the evidence. Diabetes Care 2008;31:1898-1904.
  • 4. Galassi A, Reynolds K, He J. Metabolic syndrome and risk of cardiovascular disease: a meta-analysis. Am J Med 2006;119:812-819.
  • 5. Brown JC, Harhay MO, Harhay MN. Anthropometrically-predicted visceral adipose tissue and mortality among men and women in the third national health and nutrition examination survey (NHANES III). Am J Hum Biol 2017;29:e22898.
  • 6. Després JP. Body fat distribution and risk of cardiovascular disease: an update. Circulation 2012;126:1301-1313.
  • 7. Kim SK, Kim HJ, Hur KY, Choi SH, Ahn CW, Lim SK, Kim KR, Lee HC, Huh KB, Cha BS. Visceral fat thickness measured by ultrasonography can estimate not only visceral obesity but also risks of cardiovascular and metabolic diseases. Am J Clin Nutr 2004;79:593-599.
  • 8. Hayashi T, Boyko EJ, Leonetti DL, McNeely MJ, Newell-Morris L, Kahn SE, Fujimoto WY. Visceral adiposity is an independent predictor of incident hypertension in Japanese Americans. Ann Intern Med 2004;140:992-1000.
  • 9. Fujimoto WY, Bergstrom RW, Boyko EJ, Chen KW, Leonetti DL, Newell-Morris L, Shofer JB, Wahl PW. Visceral adiposity and incident coronary heart disease in Japanese-American men. The 10-year follow-up results of the Seattle Japanese-American Community Diabetes Study. Diabetes Care 1999;22:1808-1812.
  • 10. Mirmiran P, Bahadoran Z, Azizi F. Lipid accumulation product is associated with insulin resistance, lipid peroxidation, and systemic inflammation in type 2 diabetic patients. Endocrinol Metab (Seoul) 2014;29:443-449.
  • 11. Nascimento-Ferreira MV, Rendo-Urteaga T, Vilanova-Campelo RC, Carvalho HB, da Paz Oliveira G, Paes Landim MB, Torres-Leal FL. Reply-letter to the editor-the lipid accumulation product is a powerful tool to predict metabolic syndrome in undiagnosed Brazilian adults. Clin Nutr 2017;36:907-908.
  • 12. Wakabayashi I, Daimon T. A strong association between lipid accumulation product and diabetes mellitus in Japanese women and men. J Atheroscler Thromb 2014;21:282-288.
  • 13. Oh JY, Sung YA, Lee HJ. The lipid accumulation product as a useful index for identifying abnormal glucose regulation in young Korean women. Diabet Med 2013;30:436-442.
  • 14. Du T, Yu X, Zhang J, Sun X. Lipid accumulation product and visceral adiposity index are effective markers for identifying the metabolically obese normal-weight phenotype. Acta Diabetol 2015;52:855-863.
  • 15. Lee SB, Ahn CW, Lee BK, Kang S, Nam JS, You JH, Kim MJ, Kim MK, Park JS. Association between triglyceride glucose index and arterial stiffness in Korean adults. Cardiovasc Diabetol 2018;17:41.
  • 16. Guerrero-Romero F, Simental-Mendía LE, González-Ortiz M, Martínez-Abundis E, Ramos-Zavala MG, Hernández-González SO, Jacques-Camarena O, Rodríguez-Morán M. The product of triglycerides and glucose, a simple measure of insulin sensitivity. Comparison with the euglycemic-hyperinsulinemic clamp. J Clin Endocrinol Metab 2010;95:3347-3351.
  • 17. Vasques AC, Novaes FS, de Oliveira Mda S, Souza JR, Yamanaka A, Pareja JC, Tambascia MA, Saad MJ, Geloneze B. TyG index performs better than HOMA in a Brazilian population: a hyperglycemic clamp validated study. Diabetes Res Clin Pract 2011;93:e98-100.
  • 18. Lee DY, Lee ES, Kim JH, Park SE, Park CY, Oh KW, Park SW, Rhee EJ, Lee WY. Predictive value of triglyceride glucose index for the risk of incident diabetes: a 4-year retrospective longitudinal study. PLoS One 2016;11:e0163465.
  • 19. Salonen JT, Lakka TA, Lakka HM, Valkonen VP, Everson SA, Kaplan GA. Hyperinsulinemia is associated with the incidence of hypertension and dyslipidemia in middle-aged men. Diabetes 1998;47:270-275.
  • 20. Veum VL, Laupsa-Borge J, Eng Ø, Rostrup E, Larsen TH, Nordrehaug JE, Nygård OK, Sagen JV, Gudbrandsen OA, Dankel SN, Mellgren G. Visceral adiposity and metabolic syndrome after very high-fat and low-fat isocaloric diets: a randomized controlled trial. Am J Clin Nutr 2017;105:85-99.
  • 21. Bailey BW, Sullivan DK, Kirk EP, Donnelly JE. Dietary predictors of visceral adiposity in overweight young adults. Br J Nutr 2010;103:1702-1705.
  • 22. Kondoh T, Takase H, Yamaguchi TF, Ochiai R, Katashima M, Katsuragi Y, Sakane N. Association of dietary factors with abdominal subcutaneous and visceral adiposity in Japanese men. Obes Res Clin Pract 2014;8:e16-25.
  • 23. Hairston KG, Vitolins MZ, Norris JM, Anderson AM, Hanley AJ, Wagenknecht LE. Lifestyle factors and 5-year abdominal fat accumulation in a minority cohort: the IRAS Family Study. Obesity (Silver Spring) 2012;20:421-427.
  • 24. Guo SX, Zhang XH, Zhang JY, He J, Yan YZ, Ma JL, Ma RL, Guo H, Mu LT, Li SG, Niu Q, Rui DS, Zhang M, Liu JM, Wang K, Xu SZ, Gao X, Ding YS. Visceral Adiposity and anthropometric indicators as screening tools of metabolic syndrome among low income rural adults in Xinjiang. Sci Rep 2016;6:36091.
  • 25. Jacobs DR Jr, Steffen LM. Nutrients, foods, and dietary patterns as exposures in research: a framework for food synergy. Am J Clin Nutr 2003;78:508S-513S.
  • 26. Esfahani FH, Asghari G, Mirmiran P, Azizi F. Reproducibility and relative validity of food group intake in a food frequency questionnaire developed for the Tehran Lipid and Glucose Study. J Epidemiol 2010;20:150-158.
  • 27. Simental-Mendía LE, Rodríguez-Morán M, Guerrero-Romero F. The product of fasting glucose and triglycerides as surrogate for identifying insulin resistance in apparently healthy subjects. Metab Syndr Relat Disord 2008;6:299-304.
  • 28. Kahn HS. The lipid accumulation product is better than BMI for identifying diabetes: a population-based comparison. Diabetes Care 2006;29:151-153.
  • 29. Newby PK, Tucker KL. Empirically derived eating patterns using factor or cluster analysis: a review. Nutr Rev 2004;62:177-203.
  • 30. Esmaillzadeh A, Azadbakht L. Major dietary patterns in relation to general obesity and central adiposity among Iranian women. J Nutr 2008;138:358-363.
  • 31. Esmaillzadeh A, Kimiagar M, Mehrabi Y, Azadbakht L, Hu FB, Willett WC. Dietary patterns, insulin resistance, and prevalence of the metabolic syndrome in women. Am J Clin Nutr 2007;85:910-918.
  • 32. Hu FB, Rimm E, Smith-Warner SA, Feskanich D, Stampfer MJ, Ascherio A, Sampson L, Willett WC. Reproducibility and validity of dietary patterns assessed with a food-frequency questionnaire. Am J Clin Nutr 1999;69:243-249.
  • 33. Kim JO, Mueller CW. Factor analysis: statistical methods and practical issues. Newbury Park (CA): Sage; 1978.
  • 34. Adams J, Tyrrell R, Adamson AJ, White M. Effect of restrictions on television food advertising to children on exposure to advertisements for ‘less healthy’foods: repeat cross-sectional study. PLoS One 2012;7:e31578.
  • 35. Liu E, McKeown NM, Newby PK, Meigs JB, Vasan RS, Quatromoni PA, D'Agostino RB, Jacques PF. Cross-sectional association of dietary patterns with insulin-resistant phenotypes among adults without diabetes in the Framingham Offspring Study. Br J Nutr 2009;102:576-583.
  • 36. Unger G, Benozzi SF, Perruzza F, Pennacchiotti GL. Triglycerides and glucose index: a useful indicator of insulin resistance. Endocrinol Nutr 2014;61:533-540.
  • 37. Xia C, Li R, Zhang S, Gong L, Ren W, Wang Z, Li Q. Lipid accumulation product is a powerful index for recognizing insulin resistance in non-diabetic individuals. Eur J Clin Nutr 2012;66:1035-1038.
  • 38. Tyrovolas S, Panagiotakos DB, Georgousopoulou EN, Chrysohoou C, Skoumas J, Pan W, Tousoulis D, Pitsavos C. The anti-inflammatory potential of diet and nonalcoholic fatty liver disease: the ATTICA study. Therap Adv Gastroenterol 2019;12:1756284819858039.
  • 39. Mazidi M, Katsiki N, Kengne AP, Mikhailidis DP, Banach M. Adiposity mediates the association between whole grain consumption, glucose homeostasis and insulin resistance: findings from the US NHANES. Lipids Health Dis 2018;17:219.
  • 40. Mazidi M, Kengne AP, Mikhailidis DP, Toth PP, Ray KK, Banach M. Dietary food patterns and glucose/insulin homeostasis: a cross-sectional study involving 24,182 adult Americans. Lipids Health Dis 2017;16:192.
  • 41. Silveira BKS, de Novaes JF, Reis NA, Lourenço LP, Capobiango AHM, Vieira SA, Hermsdorff HHM. “Traditional” and “healthy” dietary patterns are associated with low cardiometabolic risk in Brazilian subjects. Cardiol Res Pract 2018;2018:4585412.
  • 42. Motamed N, Razmjou S, Hemmasi G, Maadi M, Zamani F. Lipid accumulation product and metabolic syndrome: a population-based study in northern Iran, Amol. J Endocrinol Invest 2016;39:375-382.
  • 43. Rocha NP, Milagres LC, Filgueiras MS, Suhett LG, Silva MA, Albuquerque FM, Ribeiro AQ, Vieira SA, Novaes JF. Association of dietary patterns with excess weight and body adiposity in Brazilian children: the pase-brasil study. Arq Bras Cardiol 2019;113:52-59.
  • 44. Jenkins DJ, Jenkins AL, Wolever TM, Rao AV, Thompson LU. Fiber and starchy foods: gut function and implications in disease. Am J Gastroenterol 1986;81:920-930.
  • 45. Kimm SY. The role of dietary fiber in the development and treatment of childhood obesity. Pediatrics 1995;96:1010-1014.
  • 46. Lundin EA, Zhang JX, Lairon D, Tidehag P, Aman P, Adlercreutz H, Hallmans G. Effects of meal frequency and high-fibre rye-bread diet on glucose and lipid metabolism and ileal excretion of energy and sterols in ileostomy subjects. Eur J Clin Nutr 2004;58:1410-1419.
  • 47. Kim Y, Keogh JB, Clifton PM. Benefits of nut consumption on insulin resistance and cardiovascular risk factors: multiple potential mechanisms of actions. Nutrients 2017;9:1271.
  • 48. Saraf-Bank S, Esmaillzadeh A, Faghihimani E, Azadbakht L. Effect of non-soy legume consumption on inflammation and serum adiponectin levels among first-degree relatives of patients with diabetes: a randomized, crossover study. Nutrition 2015;31:459-465.
  • 49. Castro A, Macedo-de la Concha L, Pantoja-Meléndez C. Low-grade inflammation and its relation to obesity and chronic degenerative diseases. Rev Med Hosp Gen (Mex) 2017;80:101-105.

Download Citation

Download a citation file in RIS format that can be imported by all major citation management software, including EndNote, ProCite, RefWorks, and Reference Manager.

Format:

Include:

Association of Dietary Patterns with Visceral Adiposity, Lipid Accumulation Product, and Triglyceride-Glucose Index in Iranian Adults
Clin Nutr Res. 2020;9(2):145-156.   Published online April 27, 2020
Download Citation

Download a citation file in RIS format that can be imported by all major citation management software, including EndNote, ProCite, RefWorks, and Reference Manager.

Format:
Include:
Association of Dietary Patterns with Visceral Adiposity, Lipid Accumulation Product, and Triglyceride-Glucose Index in Iranian Adults
Clin Nutr Res. 2020;9(2):145-156.   Published online April 27, 2020
Close
Association of Dietary Patterns with Visceral Adiposity, Lipid Accumulation Product, and Triglyceride-Glucose Index in Iranian Adults
Association of Dietary Patterns with Visceral Adiposity, Lipid Accumulation Product, and Triglyceride-Glucose Index in Iranian Adults
Table 1 General characteristics of study participants

Values are based on mean ± standard deviation or number (%).

BMI, body mass index; WC, waist circumference; FFM, fat free mass; FM, fat mass; WHR, waist to hip ratio; CVD, cardiovascular disease; MET, metabolic equivalent.

Table 2 Food groups and their loading factors stratified by the type of DPs

Absolute values < 0.30 were not listed in the table for simplicity. Foods or food groups with factor loadings < 0.30 for both factors were excluded.

Table 3 Multivariate adjusted means for FBS, TG, TC, HDL, LDL, VLF, TyG index and LAP index across T of major DPs

Data are shown as mean ± standard deviation.

DP, dietary pattern; T, tertiles; FBS, fasting blood sugar; TG, triglyceride; TC, total cholesterol; HDL, high-density lipoprotein; LDL, low-density lipoprotein; VFL, visceral fat level; TyG, triglyceride-glucose; LAP, lipid accumulation product; ANCOVA, analysis of covariance.

Table 4 Multivariate adjusted odds ratios and 95% confidence intervals for TyG index, LAP index and VFL* across T of major DPs

DP, dietary pattern; T, tertiles; TyG, triglyceride-glucose; LAP, lipid accumulation product; VFL, visceral fat level.

*TyG index, LAP index and VLF were categorized using the median values: TyG median = 8.49 and LAP median = 33.5; VFL =10.0 cm2. High TyG index > 8.49; High LAP index > 33.5; High VFL > 10.0 cm2; p value obtained from logistic regression. p value < 0.05 considered significant; Model 1: adjusted for age, sex, education, physical activity, smoking and income; §Model 2: adjusted for age, sex, education, physical activity, smoking, income, energy, and body mass index.