Skip to main navigation Skip to main content
  • KSCN
  • E-Submission

CNR : Clinical Nutrition Research

OPEN ACCESS
ABOUT
BROWSE ARTICLES
EDITORIAL POLICIES
FOR CONTRIBUTORS

Articles

Original Article

A Vegetable and Fish Dietary Pattern Is Positively Associated with Skeletal Muscle Mass in Korean Men

Clinical Nutrition Research 2019;8(1):1-16.
Published online: January 28, 2019

Department of Food and Nutrition, College of Engineering, Daegu University, Gyeongsan 38453, Korea.JFIFddDuckydqhttp://ns.adobe.com/xap/1.0/ Adobed     ! 1AQa"q 2#w8B36v7XRr$9bCt%u&Ws'(xy4T5fH  !1AQaq"2B Rbr#u67Ѳ3sTt5v8Sc$4ĂCÔ%UӅFV ?_Aנj- H>>,m*>fzp"TrKkr^r.|_&]|*vPuܶvoQ1mwVJUhu-I"=LniAƕ8"۲ k*ҿ[yu:.vUQ+)%F DHyVBk>Hy8jݹ q~9D4KRmzQ)^ʔ.J%k_tVi5NTjg!'ky|5asOȻ)R۸ߩFMԿ3L4j6dڜ#NIwUF]JqB/(FafJRzq3\G՛ ?~\ 6)6W4m[O^L0E&rRMض*C .]Unl-1 1r#Rj/&QɈ׉˩s6Rj=5Tg.y.·Pӡ:JJS:C8-2u]d&vUz;7p9 5VnL֢"y)">iי(IDDd| Yj0; LRfS:ktYK%*N2^m|&dğth":ey)uPQZW)gcC3Pv&MMWd&Ŵ۲mvTRoժM03*F3Yd6\8,\hݻ kߔi<k NTwSԪmljj[>->ptU%'LR>&EBH$MQAUx[$Z6vi&_a.KIQ{hyƒ j"JOC9eFҝfj;˚Ω<[3_m% lQ@4g=5$(J]Yc-OMq<Ǎ wSzڗ)k$7VIP붾ͯnV+卵*t]iЎD31~SA1éC2u)ʼnQn-Uoi3:grI8ؓWm*G zܕ)ZקJ}Y YlGeJ6cB2I NS3Q>k=KTBT]W6+SOXQgGR? telˊ%-Re\hѯ2TF"C/OJΩ6r[N.0{SpljjX1“jOsӥ;ҭhe}xu`Ք&.)yO̒ Fߑ.$Qw;9Iw2o+RVJMSOj[SoҌZ%;`d$blQ{Ro{Imڌ>3egf\O֝Uzx"䢸g+mv%Gʆ:|V[N'&ס-ޝ'kfE|K,G&˳98Juin/\\Qݿ̋v~Ǩ!rtWU d|E߫R4d}.qPw*Ӭv5YEcn~f5c%MTMkb-F>5JT,})QHg%{("ӔȸWMsYyWNRrkkJr0XドnͫT}r-jj,Ŕʍ\Q2Ri>v$5!]"JB2WɅ)]VԜUc8i|.jeRO6^V.¸ Q&#|ܶ-*uOG%JAtRZRr]FFG\۩w+?'zչSѧt jz>KW&ot{7P&2D;&\\>Q2JzܗAKSfeNn[jRrԕf6,q,F1tRfԗ>vֶևj-&R'Zi2=xv~Elbsvm8=ӛ"ū񕜈BȩlWau[]ٷBߨF~J!|Ipr3R̴#Yp)={7:G{+:\W}n|Q#%)7^-h"Ƒq:M*%J&$T軨I333׎g_- ucBwwjp[6i25$̏bU’ٱRv?G\~#Iͪb7<<}Ezt" q_Inw,7-d,G÷%T* Wg1"䥱kq/A.,_KhqŒxwvo u2ۥۧ.bQ}XκA$֣ +K״ZUNmڸII{.v{5z5ѮRme[moyƾd~cRݾK'j.\i&/S6f|b=5: p!6i_ 4j6=.si˧eƾtS^c.Y^RJVS-Vi3,esi08?H$GvZgg?gi䤟2adw릿:"۪lkSN>q-4kI܋ێe̊qۅgDoѨ9; #T.Q;7#~_Ufstb_'w~Xw1Xk,vcOt._}v}8"(4Z\ۘgk?J?bm_c!g{HZV]Fkk%~gEt)b秴vΰB|꽸}mp~E6ݹv;7P٤v+ri*3Ԣ|'O14_~7nP{7ZU\Vű[ +7󖱅o#:ǥŬ\|3r%TJX]V7ez¨Y]lc|O3V! R zbJ'PnGqVJ"19WVeOF埜EaEJωqCN5Z g-9[S<$sUK5b|7sn\7x qmv##FF\ w[=-43$^ooVSiXօv7iB۴yg>]Vf"r$J3""32!Zh[K%7GvNLs+4nB/B{vlsobJaҺJR:0g%&zR\ S3T[&ִor*ⷳc3ʊO[iozW٨%$gn:ܶWwFBԹjHP&z u&F2\f;ipW73 [; '_̽b;vib!oec dC-tS__$Xs]l9&z$2/N>%'[}b{h/{`{Ji׉׏ YJB/X%}.|+{(S:qz]4_Kѵo`^tY_4S#* ^zvݾMr+TrkQ g.8Ͽ^i>ӈǙvix>$o( ^qt*&t1oJVu-ql5U6jCЉmĻ*"?JT=K'O/|=Vo}l0b}}f?X[?/\JSBe,kP8ETJ==?.p5ފgbU9}ǶdNKk—_$8̸͓ۍ8Di\BԿ-1v{FF]|.^ۅ{vl12׏z7-R7wE?\nh\jN/Kձr_oBw"N QMBZqe-m:ӨSn6j4%!hQ;sv'm4kcM=!8\m[M4{SMliۇ%eֽR&N:{2A8)THLK3Zj[jPBx#BگMf:G1\`edcʮ?|w(-̮vXt,bW2;.ιNHRR#YwTM"<;mk\.foIDjmlJ;vxy7o7i\,KQŊ9d^Mmgc L*.T6tLeIuOH3SJQ3=F/ʿ<9\JM6mN6=<{xkP!F1QR[I$6ُimXu2An2yԒMU q f[IB-'䤯jYm52&JG\zд\~vdg QtHGXw&1Lw+nDEdC1w|YJmvP)HZ>i0BPβә?R:QO["]I_Jʏۍ>QKyu^bycBq4lXF~l [\*N>-J6,Gq(Zr5h]CwYӤU~ʶߑ u*SIv%ZfJ7)! FS*s_\|IŸZ)J ]ܜi4"z[+Z,MOZ))}|Ʀ(RUNIII.S'ˍO~˨rn}M)xxӕ0 eyҵ7YMAB]ӣU:/ѭ*6bcwP͵ "+qēVjŹO|GtY4V j[mLV M -m>",B$ GD1~j6O4|LxnNmqATNR3ε|DŽa[fmn-ڭ+FiK7Pcm;r5 l8r{#-]'nrFh2ruycb;pW=njRqRJ(d mnpckNnʹ+6]tz~E=ʕ l ZZ5jSi3#47.Lcfe`9؏v囜.F\-UZ:*0_<Νu9Lӵm&)_3\^ҹ3"1n1v_|uRʞͫr'iȧN_kH׺8xXrj=\МH)V\ˬ.Xʸ oVRC}ySU9/OBY먌5 ٿwޞ)rw8Ӫi5*5ZΗcGƱ !ZۄlmpjJ -l <R̵/JAպZuq\IdUS 48wXJJtcg4cI~aqߓwŷrm-v)G7yS^7H^-\mŌAq|"m9IBnF㏉9[N+mmy/!KKۉ%n +BdddfFF6FQRN-U5;Sv'm4kcM=Mn)\qιqUd9F%",6MGdT%-+~ f%+y֛^3SrF>6lc(֪vۊN;g._0Sѧ]ETWرkQKzGe9ʨsKA"yC y2\[5 rԭ7Gk5Mzw_4sM3hxЊ'oÍ5jsub )ͪ~tR2H]R͍>̋m6=%(˿(Wrr-܅y5(ܔJ޺YunW̹븹NsqK ]/QR#"ZMDfD|43Qw|._ԡSqTZBg??O Ϥ)/E_U|i}2 9Z?¹0:x'3,whǣ?C y-A~=daJј&M?D1_PS+Oi&;a @;Dž7[ zZC"bv:jjMQk$M RԸ3uA\=wI.AwC"^.{?-\NSiˏ"b}T/}q/ o.1M}R%:-ZniʒL$SgrBW*,Mw'N\ɇ{s\j]VryG'8f`}'N<*/`U숻z CwHq18J+vԕKss4R53/&XTt1bZƟo\=%nO)h$rBi-nKĪ^ ջڜlwkYm[̑+/QrZo%TQ;TLs($2C:s.%+eoNttq۰kK7O0m_t_pZ1SsSM7"mevFZ[w -FJ*T*jФQRg BSu|]g:ɵzjqwmltL.e3sRMچkSmjkmWœިm++¦'tILk*բQ D,PB\lI[9{%Gb R6öۍmX-MaʉA931cs..G4CujQտ[9 }G-xwl)IQz j Ó"rqe&=]꾧֎c)<kӳ+0JrRR3'TnXi^xMF Bު*tIL.[h"2"nKzZe'ZV/RrNYz]8죝n]Ķܩ>^Ժ]u-7^\mZjܣ9+Rmn ߑv?oꋘ?&ƪy^N4o=3-ؔ̿*`}V݁ ƒPu8%$ ݗ]wt;\y\>='OjPIp/nJU8{϶FNMsf"ίNqƹ(+ ݮF2Km |jܴZs%zf*eȫ?]4)I۵nR&FX + [jDh(#哑9q9Eծj8noǕZf\J-l&Z˫}`ӎhyrΉn\űn]9pʌӣ"׮Wt?N4_I_~54#/my1Xr*척aS#DT >q ssΛW;3oUaJSRMDgQnt:Ql,/ ܷfRqiM Ȼ>Cob;A>ڦWقM9X~/!'MW.}Vrߔꔵ!5|iB(0-zF=}okڢE$^wW~nokY߮\6՜̌{i-AF*9)\t9IV6۸5ZUF6R$ŨQIq砳YUZ]eyv >hI櫥N )&l JulwE1GDOuFN2| }馥uC1rޫV+^gdb&W[4<^e4YW,d|htͮsUM)۸8:{3d{AѢ)~ \#J=NdƮꮓ90 |1K$v*?мS ]i$J,C,SG?/_՜pMSƯM|mG1V1$~K>CSvkuj=&) -,yLjuFHK{c駗.SOua;BrSqj-ۍZ#'Jys7[g2z/.u4+XV2VQ.ޕ)$"(%)#Z7suZ%j }BǬݕe)Jvz8zJf:hIN|svO1O#IEcۍjݽ:SdὮvu^@:o^5cs>i/VqmVm]ؔܢn6'vޑ̗J4Wn@OlKbX ;n:hgJ9ŻyǑz8f܌q&Y fN0N;[69 rbׅC2/#kE l&2~èMR.*%g=Ft.%؝e8<.e=Uv{~㻏"EˑnvDѭ͜Lu3u0:U֝$[M5<:oi+V4V9 6nXvx&_ q Qqw3W:uϔ2yb/(ɳ|5zQiJ#r|Hw#.W?4aDŲ\ugWG;Cw鐢K|xg)##=O.dF˟jMUvWĻsr.z]kPc9"]R)mkfOd*uYf١RsB Aîh=k]ʳUrrZsq`d#r$/Ը3o^&lRWȍyuW̦Y4QDUMJ65ƒ[+ygk XK_±k#y:8(TJOSQhJt2.DR}"5[) r)6V6u5k:eXZmv𭤔!푊Q[qQ}ҹLE- 8qIZG|UM4j}Mܕ[Vwm{} Naqµ"ԈM zOpKѰ?IAD3Ir0'/q1itoB5{%wkOBn-ۜduqIzYK60{+DʕܞqIt";r1mG/\/ym[6JƫR \L=S=OT@Ix[TMm{>ݾտ֒ݸӉLYIx>+"JVNzx||5rI?C{oz8۹e\R-^\A2F R+N9 vlT]"ۭ d)t֞i #E2jB@׵=#/N+!ĕhx}I!cM`ąZ*ŻɄҒ߮Y.Z}='/oۙ3IpW̮hT7cTSuz9>B}΄&h!>lӵn~j˅IvU.'v'CSZw8QK3G> ,J59ٷ+HSg䧎hJdzvwv-cvxS5[̊n~ؿ%ַX?O0\6ne 6kn9.ϯ} *h 8_QhLݣ7q +=XBҲ5?[[)+F`=4 }B,sNg==u*Nj9k_GJ)+R~GSPBȒZ:(K]heL=vKPӢwq(NrG^ثϣ?#tC?.ͼ[ۅo؞y#%ǛjVyLSw%T*s92JTM%"YkQО.q)gCͲn8cgi6j1MѾ[{9h^vƘǚםidfi.^RHmg&rׇz:}݃}xT$ضk'5s-狶,\vpbPD،=Okf.c#cdz2FK5T!&)|ntD<+OŹU i-G[EE*FDfeaf2QƤM\UG_{ǹm%\yrGy:.\4wjPGUJޕUV7Do\7Vy_13w;[?c]H\$IJ,*L]3b%L{y.JRKG2sq,B6T}(#nW|km+q5] r㪍bJ@y{byz,b踊3ϻJ,'^xd،)JVw#.Vټc''ÝպWtbRؒJz۠8!o9IۄS95E9ؔ-e9JR{dmnッ<[~n${~Њ$W?&ՐY_? #a.ߑv?oꋘ?&ơ|y^N4o=3t=~7!/M3>n8W홎2M`Qx+ z qy8%]7_~540ۦ彷]Wq CѡwkďyF5Dum_}~P(5.(X,K9vᯐ?leB9;Jhm#3{CxGE-S{;@Fz˙]=O'!ɿ]' r`:7'2bЖ>Iy,/eTy/V<.H?UYY{\^#ѣr9^7?xoRȆ7EoS_&??zϾM?(~Q-K&>"~aߨ t7Emsϛ+?;fCr)fY+>z$tIkjn_>vnrֳki-˹l= t;'EyC¥|/BLwBJdgjۛ$s S1|ɍV%JI6KvəhzIlBYɒ|0"Sy0F>eo5W)O+X˻u';v)2vVq۳kۮws?UʑBǴYO漪e2MIjPAک\b1)DDؚKm6ZWΨgȕ۶yjڳ 2ضN[C[|r@9Jfo<_eI7q.|cÊV߷:i.:$ȋ)1%%)ADZCEBxJ0MJۥy(bNsKM9k43IwNt.\%N簤I'.j|ƃ2$grBEٌ\}9:v*!n7M(ɽ]7c@XxƱԨ37īf62cTTfFK]9wntQHͮvٱI/f|j=7}\_V5U^+:uljSȃY(XI.ȱmo1甅jڎIZ2>#\*:gY|4k\8ZwSqtyA!+];бޞKծË¥e)#5ap.QK^8VdU{*ѽL\=qmjnB5>{ Ӟ`v±5 ^k&O~Oshɷ,;6nOW>u6{RqS`)S%jp\ipdEBLfTWy$GIYw~䲭J.1vSY5z.V>^+Ǎvc.I[R{QsNR3ӎfhd>y?UJ*}~[e\i5U^͛E]G_FS(Iɿ]i8:4zj~շsW,ˆsy:%O}iur]iF5~3M:Ӟ#N06)4ߧgdawIotiz:1r5YDZLHBSi;NQc44la=Y kQIT*ըl:tq2(է9VO4뒳܂~2rq'nrVZŦ[t7\oլfb/mlpc.I8콚q^1iE~䰳mi[dۧw֤ICfdFeCsg:i| 6擣׋* 96lust^{%99UNRvaMܽo ammi$em4D6DD\nA%$$#}۷/ݕr99JMն[oT޲E"KTaP+HGkŴj5TM5xƱOS-k`ۛkٝWz;{kS}F;~q|~^_|euwnE'pSupUP)V]vE+t =ZRaVdG6= *.ϼnj9:UɷbېmF_tޫgHjVS'śǕًdkkѻ_]Kv?nT>)^e=Ar1'3ԔILyD?:-^in):{7.؂\.:V }#뺾.3r̸*xbFM aȵz 6SQ:ײj[ 8nn iFMw rR"5M5I旘35f^j='j:nNW.ʭocZvZKV^ɚJ.cM1ZI7E'6rg탸5oZ=[m Z`\hbMUR١Ȗĉ):Jin!_7Dй+f̷eKҷvͨBPR(V`y6tw*MRΝcB.ڭTnc;P$8nFvm4(D(R#R-L -2:FP lxZKQc6I("Km%$E, 78uXIFA$RQI$JbInG]c[ֹ:ZM+n^')JmJMJRu{e)7jQDw~%yQl}BZujSSf۩QZ+Dzhd5o%BIc'GZ?}΍:>Ɵivז-%݌J5MqGWTVʦh݇ܟ~Օ_6 n'{3~mϬj'J11OȻn߃r Qr\3y٘+WӍ'WxEs^O3 o~[|7>]]H9݇ZomT@]?5B:Z߂'`V_+/MSKX߆ޠk3?o7y:4R/7þ] iG߬aBRU&?r&/} cQߥGj2?C5Yśe7hU=?+ x龳f-܈czW^7p%-(\D4h{UK&ӡn^m]Fݢ:`δvj俜F+) y[{{ 7 tu>gvrěOj'5 iRg[ͶFjGe n~qT$ci ۚ0oԹc*jL[sVWqj\ݻ&6"WoK:cnWmrv)o>66(F>=W^bf#c zzʞtپy%mՉPël e}J.\Zk4ttt>oEM=q)hJjI=ͥ(%]脼_88ф;͛gWG;Cw~˘$4=uWdĜTثNDkiQL9U*O"4XP`02,Ge-k5$h>ܼ]3vr6!9RQPIVSnM(ۓ{>;/Qͱv{3&-[rc)ܚI$n{Sv3[j00)-D3z}MRzVQпj,T[uVs0\}Sid;r(ݝJ>æʺL&c[jPK0~d(FKÝW\m]GTcF|Iׁ)I3~#oX%vҦEݑؼ5Żv2qAZTE^..M{ʐfȏ2##.R}*KʛZz^ӞN*lPťLf\G6[WVQquV]XAi)5J!,$iJ6o$tPZc;Kjx_n3`qIelV~vLy{fn匋Ѿn%;zV.n'-ұdd2߽1bZksPe3TI9)$ԩIN9Vơ\=2885N\ p)/a柛w9g_lױo8ݷ iixJV& ғRi{N^_oAŮE6Y7I$Nk$|Q)-*4Z)^¸%4Qm [I%.c-OV+C֧R#%ѨCe3i;w$G+_dy| Fzj$DI(=OA gj%v/]8qԯNIS*֩',Q%\44ZZ%D|Ǧʴ6&vֵI$%8(ԬƾS&#Z. }6z?b/|Jl{ץv&mpx4Z$”ڝ4-H%dGKfM:sKSRWeJAn]>s6应-W9'H]'uȫYvgK^\czp|My\鏩w/ËQ.)]\QiS`8uL뚛̸=J"ܻi\å'-)54Ue]:K\퓡vK xwBqrH\*֕TnzC.mT=t-H]SČ~Nu╏NÅ3f|͡G~B+Xm[Q7U{9"~jgK Zoʰ7"qJ,ekSeNGgϳ] ^.6:s}_,%eRg<5⿨z{ZPun#jRІ.6g T.!]xa c#jN$Zpl̋H WZu8WmMRýsĮ?Mco~sx TU҆Q :KDG4n42.<3/'^?6/ܠڒ^yrrÿr2\D}}B]^E~^T cɛ7϶Y[<֞[7d}2%QPqOLEQR\CIsj1?\}%tJ0e~ *sk"*)&ۓEi#{1J8Hrt|'ܝRr8)=ƔN'RVz:cf]F7bZyZUȘ4x8,#JG̒?.W9XnO]KO]%]ƻ O5Γ/3qÓj؍/r̺rƵ 5\&m6h.xoeX[=<3%< lZ"2h\Z[&jW3ejm?k&[]ųj+{N{66leu_+lj]q* 7g*knأYv= q ەdxЬZ|%GUrQ3jLŒqET]1% qkXYūYc[7Ś]QY\jko\</Lc7+'hMSUc6qXyؙ~6#ѯv.0$BQi5YyIhɍiy=KD!n3Vm[V%W-B%swa97ajۗ m+9~]fKq|Ddaˑ0A]_v޺mM5* F-BYHJ5}q>ʉ.6hyDmpD׬'-_v5;5[8K[viJ.3dR:oYHHh9I7:۽fi+wm^ [)odPѱ52CZUJicSw\&_s0uBȍh32džzQflcd^m|7GѹE!fO5]]H9݇ZomT@]?5B:Z߂'`V_+/MSKX߆ޠk3?o7y:4R/7þ] iG߬aBRU&?r&/} cQߥGj2?C5Yśe7hU=?+ x龳f-܈czW^7p%5|Y:SJE\U-(a_cƣUǽXXKiȞNlmۊڭڄR!**ܤMeȽ$|X5(Ź\rJ~ܮ]>'HB0cp XFr_c?f?7<ukSgov¥iG>>䙗i.+t+bOjIܶ . i^:nm}s}(3>NZ$2Qg([".>i.ƾ)B̋M8+"- >eE6DݥJnJˣt׻ 5.˅nJGwZD~!i۶a,Db3ZQ3O#KO5/֍ozuK'GbRi᝘NV_ҝcvם ZoX}F6z 7e5_e:ۓj=AB+iܔERadMBq*ԯ DwI/Gy*mĥiRKg6skY/#SN4e$-yXM YL?^ĸNNӪ{$r1JJRSLO]Aqm>V/s[~i/j+m>z}eI"Qvp]{ZԼ:{vPAG2=T͡@ڐ#u"E*>C;o$~C#_d/HBq^YRٽzIKbOm\~żjFFGdiQ(*/i*#.FF]©m=BmpQQQSP&Ҫ!T&^>:y)$ˑÐFčI Bӡ-t!bM WҦŶ'UZ=}zvn~oT/\ǒ'nr8 AJIӆz<^uߖ4eFC1i+v!3qNyߕni?4JZlmYFXFۼO0B\m[ tʄU3s"Sr(NJ;SKW72L4̏BVdf^Ҹj\]ȱ۪(ӷm?J-KEmWڽ^4<8qu%9pŹW~877ܾeVгS(յe^C]yX͹! םm4FGȋ\y'Z FX7e)|Gjt߹#gb\ŧq_([R8[qU$Z (ʻezV2V!iQ,i$JE˂٩ a(GK'O{vnBvryRd-RK4=qxZJMl_CuuIz @Rt㮽޳!|68\-l[џ84-2Pu" RJ_^OL>G1~XnBŬw6J0*Uvlږ1N G1q9IUm*'oWu][&UyYZbBZRZNfEJf"+2nF~Eû7n1xv.RUM$6 lAxSQJ&n5ܞwlEói"#>4׿Q.nEq7Oko[1wg8ZQwZYiqtm&~">Bo?w͡ni2峋NCEy Ҕ+%ZJ ʩq*fpˤl,~^Mχk1+:ݕ z&Y`KLӪУDr3[*Z :(SL&ݻ۬Vqsyԭs x|iI߽zZrg.:mp%6ԜvgmpIUt;QbS.Է) ǨKSV,*lڌ|5Jt3#NP.=+OZ~/G سIgbꥹJnl_DUM\iM!֔wVZuԺ,yV.Q>f v:݇WiaŸN5Ҕ[M7SsrvǣrMW= \8ZW-jsnڕ.ZnF2qt ً[ٻޘY۷Zm"Jxr&NAfA-݌to9s359݆mZ+N1-qS$D=17 x׵+%_ ve4ir6Z$FDڗnFtOr'7'{9C˨ꤡaYoace{Refnft RR"4%ʌm:Sj3)OdInTO>X'vxV#jܮw9Fog;5.~Y5\~18YQܹvj4+~t7S ﬕs %^۵ڴDZV69R^Y+rj$ԇoJKR5wB9C>Y:l+EǎS{ʲ{T6Wi* ^^9k/y/Cs\g*qڵgn4T8mERr|Ti+iPe;;.i\EBEJ 丬i9ɧM-ԼsGDrZ>r#R>~X9y4b棇9JwV۔%m(b[Tjvl}۩~nDԺ{Zo-YuK1vx.nWuO+jN [ٮ0%"΢CdTJK-RަH"$I(*ve &҉FzB,_Vpqp9m8werv')E;o&QE׵^d9˦j\_,ڵugZȻ̧8k+jK{wmr@3ӭ2 wFkzFVqs1؛.v'I%$[iT]D5Dl2 nk7qUxԫLS+sا3/ΖeZYK<["%-g/kRs:f3;*E ت wJ%)5&+&rw*霣i|sMҴ|;R+fm䡩.!**dӶ-6s6,]zAXMWjmnz%SJߴm2UXw7MQ%<!tKys#P,W>s;3IYwx<+i_\\\U6 u7P|xbn_k&ӓVOe䦒 VUr,-㘘"-LZeOSҠթrEvq8Kf%5%&K"#%vD/.ZYYŏ+p$nZkvއuW9㓱Z G wYIFyf)?ƎUm5ԉ/'k84{KO:rQI}XRuԪ|*lu)3qZ[mSm5R3".Xcَ5c®ࢫI*۳~wRϿQWޝ(EJrri&ۥ^ʶ齲Im|[yb;mnm֩uiܘq>E+Ikx߄3r33-5𹻖09ϖ9[Tz~mr5NsWl$oPusޛ^{Z;);sڹf\3oٹZmԉ/'k84{NO:rQIBø8Bݱ3n֤DiK4u& ofSȒܩx<˘|N0Fչ]qsp"}! QWw@t4ӭ+cO5%]'*{eM߲DRO1y*q8w++e!c߶ܪlZWّM欼 CQ̼빶lX{vib/V/ ai;x6~]+z]MWB>re-:lgk}պ!#9?%܋V-c[z!W?c7YNm/jRr[HOzԻefճ0q15Zp#rkQQ0tU-AmڵP/cȕ?0cZYj;:0ZM=D6g ?'UN+ձ[K ܖB2'xq9{|۫N0ku 7xaj;n\ 2[VznMlWiKbSk))f..)Km)&bGZ=>OR܍W:j'rM'wYz&/鶧{Sʵb"vջq[I-ՌZH._x*BagC'T(Q:$ͳQcMCKy?3g'ߝqnT);qs #ؤZ}OOI:cfnc8W~qy.;^pVl]Hԓ>^H^@7-AA܃nmL(uWܻS߿ Td95Bdh4t6*dDh!EhI[iŨ\L.&Nc ܮf^;$R)\rip9I|ٺ?#R.ZDZ;/]nݻqs\QE9M&Bd ]N mN*D>tgbK>+ˏ.!23]BȔR1ɝ^j'k2ƮqBQq[$di]icV/e`޵B.FIIJqbi>Ӥ|p; 6${)RU>_e}^dzdfzi %ekRVUS?6'hׂ)5.\+qUgzE2C˷ecŏ^֔ibk shesFWJ#~> Wk~ݨ}ڶ>ơǚ)׽ZƉo~B-ڼrvoE:Ʃ3ۣK7+Y`WirS):{>ڛ}:wԨ(J_";6R%[u&ƫdZ_\'np| RJwNeTW,=rrbnkڄ[M3ܴz)3- R.?:okۼ0TU'w{6&w7j1z3ON'fGoO?)S_bQ_¿R(^ԴԴG.EtMڇ&RUiW uQjU> Kiu1d<ѥIQ'RQ1:O/lŗᏩiʂv&Jc{D5 Tt)1.n[n۶X}RjqnOʽ(~[Ns{ސ⛌uO,kgo֢dRNQȄ .'6W!׌P朼tdZjFGE"]K@'i۪N;sI[{SOzk>`rRR+!σj8&TjlvA̷Q?HyjyLHNտJMjܶT۽lG?SnKN%<‘ nq[N0Sq[Ta(&t(|HGO~gvkݻTR4&Z$#ViOY1r$6YF?e4U/Mvxų:zbU^gQQ+NW_'4jfz^c'#`rvrڡ(IJ/J ݦ6 ]-CW |_{v*_q3^DZ}Ic6Uڌ8p7{crZq5ki`)mU6|-Z5^iEz3P=:Cu7DF'k%}<C-޹ֲ̱#\,(f88%X-N(ck0VLR~} G"-8ӏ/ϰKq?(#nrVTmZ;zióM4 m |UT'C^_1X.gXM{%ʤd 4\ovN":"y-,T)fLQgۢr=/CƹǨJVr[a+!rT|%Y\ٱzsS>jͱ.oOc6f$q% ǒGo;n[];ߎjrk{~\VۓNIGn:iqxo |~t5)Rxעri{Vi&NUOl_ѮMfsޕkЄay.0P{7N((BaIP$ K"U6Gl ݙqJRu+qN$ m#*p<|{:>-Ev=86N*MM긭U*uѾ?/^o7;'u,h4݌xښRM:5.(/ \իU.{F^rmF-Jɷ.>Q"[4xT^OZ~mK}T0ݛ^SAo9u?lX(' qj%=X}"^e4wˠ|rܫ 6I\Ķ;Ӻw!'ڍWg{ i U_9Avhۣƾ+:vs/MK[ɭīe{`Zgb}r[i'GE2J7Nez579wRq+Un ]J.cJ4M:h箽Wxxm^ pc\wcN%'My $$| :$Fqɏ¾^қP9J6Wxvu}ݵP>Z'FFdg"-; [¢cmWkÎT8nG%ݣ7*\խCLRYZͤiD&J#'ehbSyXK|y*ӞpS̍R`[pTr/Eg)K+92{_ n3zwz'oŸۤ+sOj J:`T>Cf*lwd\fYOP"R E֢̔L4ɥ :;.b(B02rJ蠟9>V'9M%)IqnhP<%,r'P/vNSwr#w"ݨaqc(|{kd=^0jTMR2ULNz|.<|^PfY22##!,K~E BEJۜ&jRNsHަޛg\r,v؜.jK3)[EJ2ii{KEiHP^&]Gn8x=K}Wx/KI9-ϵwQ%spܾ[^R}S3$qvq8M[ ozKxcqmJ/ӿ{_}7&ݨ\f6ZSyQz& 7ۉ[8~UNn|nkiTB+4RI8'Nc%tn{!]Ȋo.nEmʱn𵵥J A+wy#+ikǒڂ;՛s85'KmE:Ђu""Iģ5p=БbTY-ͽڔ詻ngL2Q}$de# fs^o{DUUsfwӶ;s1T,ǤtޒQ\෼J=.tKU,7čJ5 N$y3kdSMQU~mO[03 $zAڟsF5^뜞"Կ QHmrR"ӳηer+ҔZ]hE-6Jmt'ޒ=O[sQj)6K}?e4v_KfZheޓ=BV[bY}lݒTTЬ{ȫvO_qpRApVŗ 6ju=*BR)g "O1yhb=tqJ gtm\b3RY+JQ^Ō֍\յ\>+uSi{=x ^w;uӘ#ĸzLn*$anok߷CBӷ}5Yqvdž<( "_OWit5:EZj2 B ρ1̊fi[n!HQF82q1牙nqnEpT(2RMoM4ϳOu ':֧_Xjsg jP^(ڙ{2%E͖j^}ZU[Q$'U) <܂%!s"m R'G5M0<+zM6qYm$ڕ$3ǧH]?o2N<8F1̻r_my[Rf59NjpzBnl7*{.QP 3N&^BLJPjAHCK2Q}$#~YMq8 k(MFMU)8MEqTy+Tʞ-ar5yܕOXw!e;q-Jqܶ䓊Y:LC UE{/t>r"lI9)3KJjϤA 6SEE$d߇3KG*En|P\ԭTn6I-ƍKTj<1H_zwGr19wF N8ݝ+a9ɫM6mhePi%mmD! """"""*1bRKrD"vnrM۫mmĽm]ӡiG~e"˩ lhRTMk^MX["Jݱk7_ޕ*DqĒ&flՒ}`W}~SմZ{ĕ~wm*/{{ѹ_-0ط#P]xlڱ~Tn5wi*lڪ (JxioϏbqKYR|!|KN53 OS222$jzww%i}>N)E+rۥ7c$Ofl/LNث\6H9: FY󡈾I)fB֔JI_ ֣^: 9mY{66㒢7Uj]:.-os[R&gMF3˸#໹kmjq^8W"PΦURjʄWa˧T!͋ lW48JB2ko+ /Nw QwQzQ ے%$ޓ7^YL|r7!v%Trܥ &|M8~ybrn[RV gSn{{*#2#ԽᢏӴHak" ӌcwҜw&RJ07ױ>Ļ =^ BɆ)v32.M1=#6%̠tҤnzqMwԣ~s*%-j|_m*.Yx9Sz=)qE4 3pk+,`=kNRڥ=B=nŔNAx)Q$ԩȧ4z3t#Z2lҮYn$S%y- JzGpu|LBV7ZW#;Wwipܷ%(6jFG5#{$D"uۭ~]֫SrD܃fҎӾ+Tu>-ZTQ& N|$沸ii>eRWݳu'[O̻j8JۻEѩ[]vni= ڒ,[_%kC7I3Nv$4ɎЈeٸoUu:[}Do5|zNq=Tre%ɧ6&~DȍF]ƞG5q m]/w/ \ʲr8=oʔe9U(W"|S]uZd#?Se[W"ֿh][-7Nu:T=)R}.;ml*5Dlf $fF(̏T hiIUU4Szɕ t(%_|2 ~6eM;TƗK[f&]LK^CE2[ȏBOd;Mi|cx,^6;sیGpQ\NuJIFTJ~đArh* B"$H쉩eXPRj?sl"ԥ)su]xpԴY%VESH"ЋJǰ K&5^Ukzׄ8kEgS2h&Se\ Yl]WҶp-ZUvi7QS:4byqOo+[̺腋[6-_Fo.6[7$p&^ _GZԸߍkc.qqoI[9m߸YxOZЦ1uoiSH)P9Uʄjcq= S>֙NeR><;+ڌk%_qT].srNO?s[=vH[]RZHRMtᩗVؾ:/~u)ԍdg%=edVrISb{6vSu=(ܥ)mTv/J}̇8 S3ad:^hBSf؉OɔLhI_1d8,L><_A0y3rXq"'(۱;mFNII.v5_(^q~X>y{3צ I*Vܛv/jW' T'NR'j%ꔩ:mJ3SB}΋!-H-RJBТQoedi9tjENenPpke.%4]#{:>mkEɱdYWl\\\'nRM4&U>?Ќˉk÷!𴪛]]5}UqG~ݏI"O~s6(Ļ)qO~h}uԕd}Q~G,oE!&G&/]_H-O=o{k\̭bkv.Ô܈+;arZx)m?M\3lU$mk-CFXjTv6u' g:Vn_*qk:VC A%'4JV%EY)#BғO4<e׿jQQ]yUr4=wm[K1r׵%Iũ-O}|kC;/VcݩWZ)EHdžTru]8hgĵ-;=>U_ InvTm_jBM+QiF"9*{DI/iuo(=TzϖmPQl_v4z>T*ȴ>YF;ε\t]EH4ꌇ[VrLzef 2T^V>g2~kg5~Nק;{~Z~W}&ŒBӿS2$J?~(Yœ"˲ߩ\O]: J׉ښT{mmIѩn3˧)4LdFZ/zUG>U> n 5& ϴ-KJi2o]uKljvK3$bԔҚV旧iY5.ίfi96v7!v))FJM4{jG~Jt/lUE%pTAFe4qQk\ve۽/u/Im+W')v{\-E|Pms7߮DZRr۞/mu*1ՙaB܆ -xg3#6ۥtRogʌU)׎]ZҞNnŞr}F1Nnޞ;cZ{N}ۿMiuxʉ*3qi'9KHQ$WJxXyرŔe~[v5~/jN9Q4o6rJv FrdxM*iRjMzUinHdн7ᾞS=S'7 } ̽zt7K|_g J=Lq+/Bw_\ۧx\HJUPzQ<hqF[V0x==CsU7q|^ {)Iq38$_A(VgcKu06Ƅ"%i~_ˉk QCܣB8Ku/񋇵u([w}$F|8TՠI.E !;RJ^}MɒD_q2];Ɖ{5}*n7nEInO{Mwv}&q+v [V}Ĝ@%>#dXQ$f;iep.GquixVt x6bj͵mlKقQ[T]zs/&yەnM'W}!Fp_d^Tu N{ɻ'l{խ2.sTu{W^H&;1s)Pӛ6>$mě;Łnj= fLT)>׸+qReɴ[UR\L*P/!$Ӊ3Q 'K=m~6XqW3^W+ųO_[F$rR*u"T%@O +%# ]˽!aܽz{ͷvQh쩎]hGތ5ɇ*DzJDRNLi 4:{~2FmXY-zzĽ^f=]uū{/+&c:Ma{ĝDp2m܍kHș/(--m_vݮK(V{R}.k&yƴ7i^4@3f sK3^Ř˸B=]?gt5KbZB<e;kQLpxuWC}n 5ҴepB##~q= `x]KWF {GfŲ}?G.I9pjWkU]>={7q{kO/^I3==f1ɏ%nnʫ/Zu_yXN<57ۍ'vy/"8넭M2eԷ&Y,в33%IkjMr7xf nmQkX4踼>a-GcIeތw&U=-:qnW)z¥j :WqSZvԒ#j"KrIU)%qrmRoDGQ~SYRsu*V)  ,/x)MFD6O#]z 96[Ui(JRfw'y$GeUީkdMF-ݻ98F2d[o{Rn0n-xsV6Dh|Eb2E:KCOӪv4SJCr"J!!m,hRLD| ZYFm/X~ΧfrN&4Ƒ=Z9Mh.Mܵw/BdrܥniŪ8ɧ|y%œ[M=_tj?F!z5\evM:\ ~F-sg钬OWq“iiȍ<Gi%%n2rqͻllƑ)okw7}\Uk-:&fj솘XerV9yZuʼşdFC=rmo%~ZN78X(N)_7.Εn1MpJ}62jjJdI";R5&iLԸc:jmqiQj$ujp\{;v5B񥍪Xn Ą4qOERjzN(Ga٠䌡)p*v(J7#ZۻZ8O W uONb+^Qipv9GvֽƼϯrYƖKGJQDNPhRJjᡧC"21"9ѓS1;R_O7/WGz)8fE%F2ukmvSov/iZ&/]~KmI[:^~ͤ\kMi稜\ywJt3W7 8Ʒ~ݥeFgѼw"8VVSج\뻆}ݭ/J6Q)d|)zU3>k\L=;ow֯gN3pKѫ|wmkZ$z^2R:E)f>ς нd|#׆?\ǔpV{;\$ƵE%-ͪm0S6[n< kE[}mvE4DDZ^$OZ0*$~XUv҅B@^?]so#%ojw;Y#SxxueBگy v^i-)s)zV jC{7Gt.w3v,ygg8s]aE_,*E tY5k٨h=o"m泏:\6w噓aiL׎n^c\75AGkЯ0Lf46َ`egZ˓p/k;̛]kq!ݸzpԭG"}R9Ve>ˏHUjJ-&7nrnwG*Xv\˱/vN}O)ʼn&CV͍f̵]r\PMB-6Du-#RͰtRN^)mT _}nSȕC*_xBuTkJW[`ɩ`ejvsngP ڻ.-WUtܑqԹQj)t;vN&RNũT+8%IXӃ5fK՛-d9 ]CƑm|nZ-6=Hz,*aEm W3VzRšdY~Xf׀Xx"]s;)5u*ُHB BRGS6bݶؿ 9j[1*jױga7oX CUI%0v#~\-O-Ꙛuɷ쏪&5mY٦M`LJ2qK~HZbr =N'YobI. (^ ׾{_ ?OJ`S`3BN[}5w6:ǵ/iSlt=4F*d&T4y/#. ɵim5Uֲf 眕6Y7 fơ=3dϕq뚩$qTM-%r!$@A? ޾V0c~{[{;򥧅a~ڵ»&ڄv1ek=wb MLkNAԬw-x>~/r=e73VeVN)K%Sښe"+3uXuچrn ֺVzscJ峻m}vb㶓n\YbIUBT%*,0nov=;z꣓S/nSXSpl##k9mXGrZv^Gde!ŷRԠzQyjC]`gToPov{j~KRBMY}i[߶9KL2ԉO0K#m>wB[ٍ+n[[b٦DX ݲpo] [\m5qdT()mo4Oy9Ie b][wղmM~vmi۱~t \}$яimRk(L c Cvk7r9_r1 ;zv|F@KyZ[&jEji/"6$69ml#e]9s\{ScL}Ȣؿ0q/nZ*t,CLoD߉Njǚy=Pgmu6^]l-["çUʖMlʍp-"qmU>۷uFOJ%Ǔkx 'g=睋k[3u,{³WɘݪF]ՍeFX"Oy\,cچ=w/gn Ļ]#2? vqy-gXnR.^}ݺFs{ŝG]}e|#0mjx"ƬWكm?rgU^xVB":Dt>@LRbun~ݭ,w+v⪕;\U(RYa61>#Jm˞Μ9g9XKaG='u8gf}'qy#ɉw J]We.ʲ-<+&q%s?2dњztҼn`cΤmmqMdz O[-ߩӲ&;[tmܝVnr">{x<8U+p:Ig]zjGkt,uzf}dؠoJaکqEq -(:d<պ=eKy[˗^%ZXkX[C2߱\ITTLGzANM￵i]K>UsOGDDD.ZF6* ҃V Zhz{'xp^`wo8r0h ZmJ5"jb[l=yUu7-;7IT%:jFjߖm0tzU'K)څNۧYJ)4IQ}^KWm7kSP>q;ނ#)'n7&׊r?óM{IwR\j2Qn[v pe#/tAF\ϵ225q֒om6z})6҅*oqDsMf CNIN=T S2t,_ѧ}kveMF0J\Rnnݙܹy[rUc-j{yGtkQ%s]5qB.Nw.JN1LvR Ui5J ZESQԙr):MJ+g}χ!2;q([jAud][ljVK3$ײSJI=/|&tl'*n۽f.frܥ jQO8>&Z];.|7T/C}$ڋUmP2Reҭ8hFF\L 3~e v\۫]ݝNmrnB%*]Z«hKc=BTLG :V74$=Ǘy+EX'4tn(I:Ѝ;Df8c,k1%dJ6.j6ź{N~l6&*fœI7 WAlGOu-ҢH,,(ǔe뿋쩨kM܍ZſgRvQ' 9)?n|er˭|I|-fGK.rΛp8XV1%K6mvG+tc+qE&ǸC_Nm:l=_/m5^[dߌڇ.c<%:)tQ$Ow~-aY;UJ>=F)2[nk؆?훐M=l6[4(O.]2#-H^n#->&mp5~Fӛ+|| S,xag%qkEUzUgæBhߕP(7]kFnq?֖CpruZ6*rEڊtS|*tI*E}7R<,nUU֫^I7Q*mSly%rdȓd8hE<9oHhMfNSRj[i7D[Rj݊+kდq{"$$H?p\̅S?㭻;t~R߁)^/>Qj`yt[w ԛ;²~+ߔ_ YW~|o]?x^ᯛ `ʼn;g)T@vWn]>&4lp+$D̢1l|ȨF%-}.9[}w~ ԠLM9hСablfe&QoW!s?wjLK?s7yO>(=C~_nyǜu?v3vyo oI@qV-jeES^[9WoSܝh"l2C1a͔CiJ@3:Pճw=/7ovuk+\V;lDgն<[A+rX~d;m!_s8ݖ׷;;.0llUC+?i#_crʙ1~C.\–q ul8Hܶ2m`ܻM3Tov|Bs rɵ"oLS- DКw=Tv@f'6|YlD͓Y%׵-#Ѯo%:&!3o%\J<02;K87>^vgƓ# ;ݝmz^Y6=PS39U%~ &f# }o!muH;ʲŇ˷yvP+&.7e[3'vR4Yj̗IZ`e˽3o[WU{ m[sUbۋZǾۆl6~9'V*.\S2<Sd*zY[aŶ`]C$n.v^Ʌ dng>ەZ,Mmϑ :n6nϦezWqUJ4! ۇ4R! =>>Fn|Q[{pRO17ƕ~._I''00k=b՛o}Osðc2'o\3}ݭQ^2 . R1yKȣtAݿ-uܾw!`?1Whn|gzUo[ECWwjUIן)^h#1ɭ!/Z np;o;ΗŻkXs."6E`Z1 עӐ9Kl8qd q} 2Stt;#j>;խabONŗ=fwP1j)l6J̶|gV2`y/0E˛6+ԫ1? 6}KW c\KoKͨ2ۅFw–s*TԞLיuDx .kCzWXhy۶gLu|%TnupǺl-S* PRaLnT+c+*xl.v!.U=|; !_L̎뱚U=4hm:ٯ"y)$:>%(n}X'p[ȴ ^˒4kƓmzDx \ 'NqamP7nyN݅=j7%McSڵj%STy qXymvCg{w/w=wSW5r̹u erծˊsOm=DhEҚRb#n)QOxtվQwe]I}wCa'"[ۂ-z}2UuKP$㜉ԧ:mc<Ý>RoL?wu|%ҷ&K y_!y9 ??:tq3(UU-lkS'ɸ@jdzQˬR] EVPW1DJq2n:,c|ǻ̑;y{X,ۂ.u.b˕u.tKBjQ"[S園S`ٮdNبeJ&9Ơ ~0a(Vm٘L+Jr*vڑE( x0+tp˕ n';wm-ޜMOxX>{#2%jgb2M[`K*\5@8l'e=0u+w ֘鳾{y܀:R*Ya]"Ӧ%ktynlۣ65,3gU}{GYrb;ge'TKwǘ.,rpܚV]Tr,!dp /ԺU,xՉ>s׽~W5oTh yx?xrrx?)?ilbT׬,z$Ԏ.UH٠\U1pU:]JwSrGZq8àd驐,N67QYBӢD㏙W!Q25ϸo9ms-7-%3CihO.J鯽-;MZM8ku-7k9S$8]q2E(}bۏI[DKOK}3KUB^u %Y,u.-&f#]'܆o$x`Yu,dzwM;#oKxn;\[d7}Rb+*Y䛂ZuBӱl{j0O̓}LhK;[aֶaGL{Cb#S.T[>߃F]NK"u^LUʐ_ykW?!GRj29͖qa'0[npcDvV)qz9R)PۨM^aJx W] r>];eN3vxdmĘ(5W2K1䪖weF{mE/QP6\u54x5[hۮ-Nk”i[lUgL]J}5 S:EhiUrgHl!ŒJ$pe=q^b͵Q' ?6|R\,JA ڵ"TDꈭ:ymg`B5t%M] <N_zv2_Ortٵ/i/ReӮ*7[qүqEG* m"[I:6e^p"I$jԴęh!m)]GZkcjS!{e^z}+Cѥ9;R|/ֱeiUԏCNu2Zhcٗg$ݭwvr P8*7/Lk~I'Km1+MW%Bk|oOm>-#qj*|Dbѱkn|n{v#jĮqNpMIUm(7Liz;{ҜݞڝVƚVϬ+sO!OstGvxӉ']uӎ4g_ 1^-8ۦ k!)Ύ5O;YSB#2Zzχ;<.ֵOtge~.(RC#wFZeGZٸ6FFJ4e2ˇpJT$[wgV)q6muDGJ56q\I!̗ y/I~RtJ9kJ]Iy*'FN0s.[l!fw'y(7$œ WƫgyΙdMEU JQJv̋vmrۖ.jWR_M֨djYgSj0^\y'EoECjm$ IƩK>Z28J2TiJ2N#}.s cArl嫶nB.FIJ.)۔\ZiM>/hLĸ=C1s[?YMqp|94- 鮝𦔽/k^#NT(Y LS$6˩}{;5 )B۷W$qpN)qqoot}ZDVә;7TiK|6f3h$dԄ}fqݡ>Nb򗉉+ͶO]>ߡ_VtYf79ڰիF sq~prս|QM)g%l0ocJȨHz V;Bb/kLAcfPJ,ԭ{ƍgpjNR6VSI*$!yV足jᇑ.](EܣqM\qJ2eZT).<9UB/(B0j)mtKEj#׿fDI-=rZړj|'Nڤ]k*i$5qt"ݙPM6E4ke^Z8ۏhz$Q(R Ay2zfRñnpnkbkI:=j &ΝșW?׵d{+ύM'??XqeeĽ.[o=UxFS=ӷdZwenՄ]_X=ĭVa* pKs0ބۍfJ3 gz̚i|wnxtjc¼5${(1fXQ65ȼb̶Zkn>%FQMJXӡ{TZEVNᖣimT/37cNJUPnP҂ZOE~"-Rc4^b- FEͧtf5[)S!OZIښݲ͑;tvܡ+N)AR=hCNn;wL16-:特7M$=Tҕ-.R[HٷnXk sn[ҞD-0WS9p9:-Ϸ-jѬNu{ҹfv)[Ľvwfg(ٷfe+0mYj8Q1\ݧg]Eǎvڿc!4#j5̋C2"}BRriFp7=ô\TZ:\BLfj#I22װ<;صZl j 6:l"6]۸ K'6RTѯ^ئOԓV\?$x7s#r:Oh{ց=MmuHԷd{pN /܅:UE#Yy+(SgQ(Щ)RHzw>^Ѿݻ>mK&^ '$Jۻ&w%F|xfz%˳ L~3N?Cy9 v w/{ƿ kz3x> sXv}vP"@WyC z`'톽Dw%-tt yVY\wmuPYQA0iG-2JP,6/gˢ]u.-n!Zw.N7Q]Df}Q0({a\@=i_X7gFǘ8^⻲}G MZ1)WEfO12G+=-B@z\`||w6ċj߬m}UwRox֢I &c~XGP6Qndpvܻul'V7^FJt^{b^B(L~sѣ6@߿^xqU!ڙ5|Vpvef-uӥ^3  FSDɯKD%0r}FF穛r7 +o"V8tv̖NQU!5uFd"bCr^bJ=֤fM#ʳԷP0O-9xRBm\=`r-:;~3Tl(nXtXi%2Vٛ#vwqƴ`L@"H‹qW.j,JM5B[)WܺUeZFqc'V˷1W7V̾-MHФwn8N;HPSdݷC7&2j.W\τGŎ'Vb]c.x+Rx1%C2T{myg[qU|+m:M:շ8҉yWd)ՋWS%%:iqlʹmGwݹ WnNŤѩ5(9hTٵDdGUi-)vSs2 2{OnT$Xck n:¶(lASLeȔBjμPpTb2~N2~%^k[ܗ[Jzs0ӓHBKq[}JَA-$dFQgjxxFv4r/x*Rm% `4J(&iv7SkԲmSH1YWmx 8n.k']:Z˭_W >ڃXЩ. jTq%Aā[E}amc]D:rmHRiu:uӚӢ\p(5-q%e)(۬ҖȽIf<߽pr&ݫVfY91q2ĭEQgYbTGQ&,yL+N$[q*RVۉQ=FuTܻ>f>f㋳8N6$܌n)9&»iˤsX,݅܍ȩv+sRTpO}d?Wn/Inpȸ%O]StQO|v5\}7Zwb.AIVK^:wb{[uݯcytO߶S<{8KSRׁH̏N7ۚ[xkwYy_'ZӵF+>쌛ZUĦreE9F[24De{}@:ExWs-\ǻ7K-\JNvEk%:s˙#κ].oͳ;լ7wB6nwu:$L; DkI#Wz.:Xp(˅v$Sq,wn\qIN-e<5Oe+vuYTpcojUI_ާP8 O 7&VL8z$_B-H-[uh]T{|8=qVRN-:Ij:7PUtXϷmy鉿:RIM~33ӸS2#׳GdŲ5+/Bx{(WzȨ5Y㞎#|˖+ ط.|e<o/rߔX>7s}VE.OVti׽ .5nNJO"95{#q}Ay9do]R"M6z\tnNS-D!@3N_jicWsy*5uٮRcWv/.,j}=S)j5C^> Ie =gu9ӛqjtz]۪TMoߧI!Ǧ¶m:,"[L!{qAv-o 3{"KʼnrIkfٶj2ƙ؄S`7` k6jzޞ?e5G&6uʷ2%ԒRKE*G\Npom F/V |C0.q_eenƣ<5Oh'67ɪn[SĽ{ڔjǘzs;~׌(ۂ`ܢ1ƣ` _l9Va6%UQWh~P~\F^ZHR@:ۧCJ{ôGeBh;~ۧnU J\O+n2 RҠ)ng}Kh{5+S×ܛ.1ZjG)iRȤIN 4%{oΜ/eO[Nffd ĹK?nnԼMqX'܌nZvq<ķbFnͪaQ`5 s,M_լ?-@_{w{ӺձJ}GF[%v\5[ŒGkOw/ΜM9rjË%2+rd~+󲕛C9U۳r[aJǭm|˒LAʨSCq[XMۺoubfp:t+ΤĻo ][ zt-*67kvS7D·MMCQXm;)܎n_h%]4ܙnRk!]ڵsDUF"`R, &#R_*[z*ZqFXɻ]7|۵w+'pFDەs=r./ᐚm3Hשy yD"jHCr':sA65نѮ^o1V/ f;nFr3VM)e*- s D'H݅fӧ\*޷[k<7u<-]֍Q8R h|p=WlW3s%Q %3l}@U-K6f-NϿu|ڴmWN׮[׸F*mW\%r! C78:޳vBG7ŵ.JթԚ2x)ST!řn~9 W:Wpܢ件{xf8ٳwKE ҰWxVB\qBZ 2wMb[lGSnyԚ~z9ZmያvoN2Afnݽjf>)j3 !;gOYʹK" Wftڎ+׭b*2ϻK>ۢӱeyԪXISUm[z+ugX%0lϏnvg!;t{BqPj>PyvR7Cj]O%+ݲ :qiMj6W}3vC/R=4Som]ŗ=ю, TF6U_-\6MyskwMr&Q\wjKܩyMϣUj0*}RZܷSdY3>Zjqj6TgzpA/M`/Cmл,޻feE[/+uk^Vs1W$G(JsW2ٰu*߻q*Y޵.Wi:ur5T),=0uRmho.twܖiYwrWHntvEj8qhf`Ͻpf(R&>Ki%I7$QӖm-2 ~yߗQ-앑/ x[k8nw.c㩵k}]FkbJl:{.(˩n0Hqvαp7 귎.Gupx[N`Yq'+ruU7[ү+>!xrȫoSo]OC# d^Q]\>!ƛGw^Mx"-+%vdX-:M2UR%d>%l ioSu6lsj7D P>XxHz Ukà(n^Q V>5cVtWj SEiJdznyej[lE' 3kuٌNn4JW)gB {4 j6&]' m-(ZMEz8cz>WZ6#7+[,MR-Z!4ܓtCyE|umj1ƽvƷV\;%>Q :#Le(iVz5 4ũۤUWxX ^(ҔsլB2w-V ^R+; ˂M\z+Uwr+RWY⺧~ Q*JcYSNSλUd8in=v K낫k\IRרSUaCFmϿ5̗P|u ZTԕ}>oYѲ1sfP+sQkX8Gb~6r,s>^\,mGL+7[n-E\.Fqḕcl*Jmjb5 ,m]c}NXfeVlǸJ5eˡ$4%g~N p4Y*WwW٧<8v#;qԩTut,m"#Y D\5V`\\Lȋ];LȇiS6ϝZ l>LruR\v=ǘϔDg=ԈdFZ+M{=|,[;0>RiSi4,S5}yxw&(E7&fݙ4UՕ! ~'Id)]ǽu2K-fޭ \08Vڅ쓬=Vy^^ IhyKR-B#Ըr=]mܻӾ'*Umkoy rTqT_i,/8Q^<ݤ|4ԻO(܄"'5N~#m.(Ҿ2i6Uev&I*<}҄$eNtÛzyWJubW^iBW.܅Wڮg]irO6Ve90sgv.+sV޿aޔ[p?3q*FutUo*eL\KM'EG*ZcAFfG5J 5jj=MJ3OK:k˝'NMB7m3uFҕ\-Ywg%PRqMIyZGY9|μvn߻5cWݷa^+X֥vnݘ\v7m>Fgzv"-;Ew֝}1|RjN𿊀7g#֟*GQQ|#/bo]p$>_Un9гUbn9׃ErQBU-^vDmVh'<R[fdHT]*~}3j;nvjc7s-rӳ Y8[n[1pJx kX[Jk9Mn!_Nю6x:iZ˦U |߉^Ԛ݃hYxk &U^bwKk.[jE+P(˞=9j@snCv7%c_7=xǁ<l {t'酚+1F‹l׭:ݻILruǶkL-L(K0L1&>wXB(pm;1fpnlp֓%Skidkt(U +xulo'/ڕeN r=^pZZ:Pnj8Hf"48ijY[ N[yZٻ+=  ø:3 ?^ܷ^Sr#YK[UF?CuhC b]GM')mڏsNrܗI]ljq6VB. W,UK"YX5{c >Iqā> T:n!,5l2VzCl|+I[*SrjnS6٨y+x,@>П.g+!rn9>N|W>OZT_ut Y""v7|sfި;Pclm EùN,{'fNT%U&LfH8~1v>Il}统u6P˗c(WV~H^bMU.o*oOF0N:_:6Smr_.b+|ݶYY غF,mwjv>f*>QM뭱Sd:`N{l/⎱;n-z~"Gze퇎J5S KG9!Gn;N1 ݎ h6m|S?ɂ5'WOÞ 7|7^ao @mxGmi^jϽ>01Mf0լD3-2T. VXR"ɥV Kl J O7|u?bvа;6.eߓ|[1bmRr,eRz`z 6܎-ͨku͹Fː dPhYgZUj}nvX;z=gVեTv_J }\1n7w2J?ޘγc\E 1Aޑzq;\r]]\Y&[nsNei\uURje*Qk2CSl*xJz-xٶlm+|UjUؓ`Ladqiĩ!Gd\W~fz;Tn*PdRM&T4`չSWq5k훶(N"Ӎ% V]֦wb.nUO!u*J&Oӕ2e|Z=eV쫚΅g#+/RW:طnbi*Wyo)p{:ETKؚR(RY+r웓r(IF) VmȵNB:h Q1ғ|u8E]{,'$-TR[j49l*3"I鯴zhd>Q+\BkNF=.$ZR4Nwհ(IpNi.(Gi33#33e$FXK*NdWrud[r{xnk$v2ıh+J1TQ[#JQl[tRO]LHKٮ NӍnF񨔤֞Em'MILB"ԋ%dBŋ+p̿_17jzT~4pc Vo\ƹb9Rq-'1j;8ܗ)hE%DZKS<璸Bu*%*Yw5ڻ9ۣ^z4U; Ñk\U(o~G?VUĎ:?P?_F_Kߤ~ᓾI |pr.Ok\SklRhҪz{­P .}SktZ7UQ4ڌIM8̈eaӊJZ%FFZu,KZvln廐SNFIVtuNi?CM5]+Ph,{jN JSR$IS^tSUVrORYu.9WyP6 [Kiu m!X|]Y79ӄ)\ģ)pbڳr%*&ꑶ_-H*dzk)1 V3')UAϹٶWRxe'պn۫h7AR9 EAJeGLms!%D| A 5]/Q3eb̄vnVn%za\m kZnv([emqrIҕij|""><hjJשvvǕ|Pޟs}V~2&Z?+2N&Z4w@)4iSڪ_>/JN9Hiۏuf8'It[ȲR.hZ$ȋ_Y ~U<UUO*6b)Ovzڜj\R̋.$FsQuҊj^נ䈈y<zZIuP[}Qm=C?zN(Exqu/kn S-FzKZzOסӽjJ\)F3b!r5ٝ|;6 o=-3*λ]αb\abqRi-w޵⦪~b8Kpo)Z=>)ғ"5/GTZLE-輵f7ݘ۹~+&+w/7GFI:l33fg.N~۲\2|*cnermnnM+Fq"ѪIz%j =YW8@~gc/~?N'?)«qȸs➟n=k" X“m֮VreMh2[uݖ] *FܖN)MȐ`f0 g,C9̑o;ddudJ=In13:ݒvvdMUEJLp^,6t-@͐9'{7m{-3,>hnF;ѰM)->>+Ěz!R* :`e--m7nB\u{b U>[8֪]6^ߤLʦ\DFNo$$dͶlgno8OrsQ\l̯hRo8tuNo+ CTxu!2[>ctFpeޓƻֶR"3QrQuOѳgwQr;S~)6HhZw/GgVTmUf_yt7%$];zLWF̰xy2Ʉu!MCmš_0[W6jf#a-KLi+3Q7c^qg%s<1aYIQeZf+}>;S6L0]Yu_h9߻<ƅpmiM$AVvŚ,*#t2.8Y)-Zhshü97/#Oro"u^/uFgWɺ,p:6a,^x%$Yve^3PƗMnTP&yS}OJ '덫MH^:rXԴJۋ/rI;S*,+yz1hv)Qw^ڍJ2oL׊q(\fDj:^T%vOadɂnS}ZO)N*λdaȜkG_PIEO}нa(^iQX᯦-7^)%g'SJx(.S9zVɴZ{E ))ۅi/s7 VIV-|sj0*UBTHIqRf>FP$KqN0 R̻8j\GcC}IUz\i 6F)Q{Gҧ3qSzKj-Az VЛS-zy:8*mNk|D鿓ND2u+0Yŝ7kqm·?8Ib]u>˗^_>(]vӋzv+ݩ){vZrJ2RQ몋C$z [,pp,8mڊbR]Il .f~d/ݓs㓓mͶ{mgjQwn=Oic9ܚm4Q/6ݨ[TƧ?nԶoytf{@AzT{e{[O'ZRZt~AGD?s3􌿂ՉIw'|~U\ w~di:Kޱ)U/sU%njѩ&GSP^ǝd)..!^U` 1wX[aԇSxoFV6_扐)T 2Mfd=ۖͭiZ7KK Bi9%7@<3<ճԻU,},a}FRqɛr i@ONJvK KLN M, ʖv0n-]DwlI-X6ܶ$Jʴh5O+mOI+Ra瞠\ MG7BفjYo1#͖0V`Ѱ2M?c8>-Crt*JkIGS:e#hPKx[鱼>{5m;wcն&>j-M֥^َ) 6yȜl_w{-ō̱r> U=]iw3)r*]:K]6BdCTZ|>gf}LW}[$'Y5 &c -j.z6R 67MԷFMnÌwI7w5E}o޽+K ֵy4܌ȥW"COyR[q5Ӱ͙f[v"_#q{MV6܍3"u9BK(41ӯqˇc${ߝCi6I(OmθzҜ5k^:>Jzw.>qV8{vU[ڶEm|DžBz].KHjI]x;Mɗ{m,qZXr忇2u^RO2Z}ZێS[2Jen!*NDcrBUً4<ǼMҲs1Zw57c3&ĖڻzmP*FuJG1-dN:|OU}ҵgi2t~F^^Z.VxjvŧnNNh<:]^~NN+ge^g.SԔGFe߯'[vn'(ScJ]kܗ7eJOlRrfziݮq̋S"\*U<*W]k$FջV}? 7g#֟*GQQ|#/bo]p$>_Un9;l S VvQU%OLU{οmU6bZ1MTx%!֙Q7, J=!3 ;Q,ڌ;6ͱ݅q^&ߔ·n #WbwӖX.HtG)N&d̵zpI,n cu ޖUj+VXUp[w]N o.J6Z8Ts&utxln;~HPHS/xw`G\ʡ¿rj Z^vt"[L:SD\h0sUwR,}[x^X,R2Vn< ]2YDr[SRKs8tXb̷G?Ps Tv 3be,zVz D[/I.KOEQrm'$7|[J>r S`5յwT#\w1FTz\Ԛ &"ׅhSHrD\'r]~/>p;:Piuu:"9ő=tTaS7V2rӷk7mb[^WmPp*[y.Þ6f]cizJCgRR@UVl큝.WJP1N{/\whZ ػϧӱE7|E֫Sί.x-Y&pi%v''-x6r'Ws*6=DwwUu]=C?MK [yrtܒG$!WGqJ*%SAz ED[^)/tė/g=#Omd.|^n/sl׉g DZqemqowݮRzUܜ=ڽ-o/Iۖ;qVʘgPp|mm;6zGl9.8pwWgsJ2qPbe}}UpNjٯ}7TMQKrؽtEx%v w߾8%|j;~|}pK]ơ/ w߾8%|j;~|}pK]ơ/ w&~e_H 8PL7:%ʭ5Kw&U2vwR_+rm'}C7#rWoO&HoG?M$UR7{FU]u ;# !Wk`|W>׹潇9Vn)6)*ҹ{%qV4q>W1vi#T"Qk&GwxcJBJ- Ϸ^ˁxkU}ԣ/3.;]J=<*)cS)ROK9H=,r zX @)cS)Da^ԽQ gxJI=w֣gf*TRj

Correspondence to So Young Bu. Department of Food and Nutrition, College of Engineering, Daegu University, Daegudae-ro, Jillyang-eup, Gyeongsan 38453, Korea. busy@daegu.ac.kr
• Received: January 14, 2019   • Revised: January 22, 2019   • Accepted: January 23, 2019

Copyright © 2019. The Korean Society of Clinical Nutrition

This is an Open Access article distributed under the terms of the Creative Commons Attribution Non-Commercial License (https://creativecommons.org/licenses/by-nc/4.0/) which permits unrestricted non-commercial use, distribution, and reproduction in any medium, provided the original work is properly cited.

  • 904 Views
  • 0 Download
  • 8 Crossref
next
  • Isolating the effects of a single nutrient or food in relation to health outcomes including increased skeletal muscle mass is a challenging task because dietary constituents are highly correlated and synergistic. Hence, diet pattern analysis may be used to investigate the role of certain diets in health outcomes. The present study investigated the dietary patterns and their relationship to skeletal muscle mass in Korean adults. Data were extracted from the 2008–2011 Korea National Health and Nutrition Examination Surveys. To explore the dietary patterns of the study subjects, factor analysis was performed using data obtained from a 24-hour recall. The skeletal muscle index according to dietary pattern scores was then investigated to estimate the changes in skeletal muscle mass. Three patterns were initially identified from the factor analysis. Of these vegetables and fish (VF) pattern was the primary factor with high reliability and was a common factor in sex-separated analyses. The VF pattern scores were positively associated with increased skeletal muscle mass in both men and women. Further analysis according to quartile levels of VF pattern scores showed a positive association between skeletal muscle mass and VF pattern in men but not in women. These results suggest that dietary patterns focused on vegetables and seafoods may contribute to increased skeletal muscle mass in Korean men but that sex difference should be considered in nutrition care for skeletal muscle health.
Retaining skeletal muscle mass is one of the important health issues for proper physical function and metabolic balance in the elderly [1, 2]. Even in young populations, skeletal muscle mass is related to disease susceptibility and affects metabolic responses to medical or diet therapies under disease conditions [3, 4, 5, 6, 7, 8]. Bone and skeletal muscle mass and strength peak in early adulthood before declining in elderly [9, 10]. Thus, skeletal muscle mass needs to be preserved by both attenuating loss and gaining mass in early adulthood. Hence, assessing changes in skeletal muscle mass, rather than the prevalence of sarcopenia, a substantial loss of skeletal muscle, is a more practical approach to ascertain the factors affecting skeletal muscle mass.
Diet is a major factor affecting skeletal muscle mass [2, 6, 11]. However, interpreting the relationship between nutrient intake and skeletal muscle mass is somewhat complex because most studies involve subjects with metabolic dysfunction, which confounds changes in nutritional status or skeletal muscle mass. For example, the prevalence of sarcopenia was higher in overweight or obese subjects whose average body mass index (BMI) was up to 37 kg/m2, and was positively correlated to changes in fat-free mass [12, 13, 14]. High protein intake increased lean body mass and reduced insulin resistance [15]; however, other study showed an association between high protein intake and an increased prevalence of diabetes [16], leading to the disintegration of skeletal muscle. Our recent study reported a positive correlation between skeletal muscle mass and energy consumption. However, the composition of single macronutrients had a very weak or no association with skeletal muscle mass [17].
Conducting studies of single foods or nutrients in relation to disease prevalence has been problematic due to the high degree of correlation among dietary constituents. In this situation, isolating the particular effects of a single food or nutrient becomes a serious methodological problem. Moreover, foods and nutrients are more likely to act in synergy rather than in a simple additive fashion [18, 19] and they often have interactive and cumulative effects as part of a whole diet. Thus, it is relevant to investigate overall dietary patterns to explain the effects of nutrition on health. In recent decades, many studies have utilized dietary pattern analysis to investigate the relationship with health outcomes [20, 21, 22]. Of many approaches to explore dietary patterns, factor analysis is a variable-merging method used to reduce the number of variables on food intake data to describe the major sources of variation in the diets of study populations. For instance, energy-dense and nutrient-poor diets were inversely associated with bone health [23] while vegetable and fruit consumption was associated with cancer incidence [20, 24]. Though the importance of adequate muscle mass in health outcome is relatively well-established, the association of diet pattern with skeletal muscle mass has been rarely reported [25, 26]. Also, the accumulation trend of skeletal muscle mass and anthropometric condition differs between sexes [27, 28, 29]. Several recent studies demonstrated a sex difference in factors affecting skeletal muscle mass [17, 30]; therefore, changes in skeletal muscle mass in response to certain dietary patterns will differ by sex.
Therefore, we performed factor analysis to identify dietary patterns in Korea National Health and Nutrition Examination Surveys (KNHANES) participants. We then investigated if certain dietary patterns are related to changes in skeletal muscle mass and if this relationship differs by sex.
Study subjects
Data were extracted from the KNHANES, a nationwide survey directed by the Korean Centers for Disease Control and Prevention (KCDC) in the Ministry of Health and Welfare to investigate the health status of the Korean population. By combining data of four years from the KNHANES 2008, 2009, 2010, and 2011, a total of 37,753 subjects were identified. At the first screening, 22,793 subjects aged 30 years or older and had complete demographic data were selected (Figure 1). Subjects aged between 20 to 30 years were excluded to avoid changes in muscle mass of subjects who were still in the growth period. Subjects were excluded for missing dual-energy X-ray absorptiometry (DXA) (n = 6,617), BMI (n = 135), biochemical parameters (n = 749), or dietary record (n = 1,720) data. In addition, subjects with on-going medication (n = 735), whose dietary record differed from that of a usual diet as reported on the questionnaire (n = 2,646), and whose total energy intake was lower than the resting energy expenditure (n = 206) or higher (> 1.5-fold) than recommended dietary allowance set by Korean dietary reference intake [31] (n = 913) were excluded. This study finally analyzed data from 9,072 subjects, consisting of 3,805 men and 5,267 women. The protocols conducted by the KNHANES were permitted by the Institutional Review Board (IRB) of the KCDC (IRB No. 2008-04EXP-01-C, 2009-01CON-03-2C, 2010-02CON-21, and 2011-02CON-06-C).
Figure 1

Flow diagram of subject inclusion and exclusion.

KNHANES, Korea National Health and Nutrition Examination Surveys; DXA, dual-energy X-ray absorptiometry; BMI, body mass index; REE, resting energy expenditure; KDRI, Korean dietary reference intake.
cnr-8-1-g001.jpg
Assessment of lean body mass and calculation of skeletal muscle index
To assess lean body mass, whole-body DXA scans were performed using a fan-beam densitometer (Discovery-W; Hologic Inc., Bedford, MA, USA). The accuracy of the DXA calibration in the KNHANES was reported in earlier studies [30, 32]. Appendicular lean body mass (ALM) was determined by combining the lean body masses of both arms and legs. In this study, we used the skeletal muscle mass index (SMI) to estimate the skeletal muscle mass relative to BMI. The calculation of SMI complied with the Foundation for the National Institutes of Health, as previously reported [17, 33]. Briefly, the equation for calculating SMI was as follows:
SMI (%) = Total ALM (kg)/Body weight (kg) × 100
Collection of diet records and data preparation for factor analysis
Dietary data were collected by a 24-hour recall to assess food and nutrient intake. To identify dietary patterns by factor analysis, the recorded food items were categorized into 21 food groups based on secondary food variables according to the KNHANES guidelines [32]. Grain products were divided into rice and whole grains. The vegetable group was divided into vegetables including mushrooms and kimchi (traditional fermented salted vegetables). Kimchi was presented as a single group because this traditional side dish is frequently eaten by Koreans but has high sodium levels, unlike other vegetables. The fish group included squid and shellfish such as clams and shrimp. Meat was divided into processed or red meat, beverages were divided into alcoholic or non-alcoholic, and the oil was divided into animal fat and plant oil. The frequency of alcohol consumption was categorized according to the number of servings per day; high (≥ 2 servings/day for men and ≥ 1.5 servings/day for women) or low (< 2 servings/day for men and < 1.5 servings/day for women). Energy intake from alcohol was calculated as previously reported [17].
Measurement and assessment of other covariates
Household income was reported as quartile of average household monthly net income in the KNHANES as low, low-middle, middle-high, or high. Education was categorized as less than or above high school. Smoking status was incorporated in the analysis and participants who reported to have ever smoked more than five packs of cigarettes during their lifetime were classified “smoker,” while those who reported no history of smoking were coded as “non-smoker.” Physical activity was classified and ‘active’ or ‘non-active.’ Participants who met the criteria for mild strength physical activity for a minimum of 30 minutes at a time for more than five days per week were considered “active”; otherwise, participants were classified as “non-active.” The biochemical variables reported in this study, including total cholesterol, total triglyceride, and fasting plasma glucose levels, were obtained through a chemistry analyzer (Hitachi 7600; Hitachi, Tokyo, Japan) and the accuracy of measurement was reported by the KCDC [32].
Statistical analysis
SAS version 9.4 (SAS Institute Inc., Cary, NC, USA) was used for all statistical analysis in this study. Dietary patterns were identified by principal component analysis, one of the main approaches in factor analysis [20, 34]. The number of dietary patterns was determined based on Eigenvalues > 1.0, a breakpoint of the scree plot, and interpretability of the principal components. The Varimax rotation function was used to obtain a simpler correlation matrix. The factor scores for each dietary pattern were then computed by summing the amount of food a subject consumed and the standardized factor scores for each designated food group. Items were loaded on a factor when the absolute value of the correlation was higher than 0.20. Inter-item reliability for each factor was assessed by Cronbach's alpha coefficients. Labeling of each factor followed the combination of food groups where the highest value was obtained in Cronbach's coefficient alpha within the factor. The SMI values of all subjects were log-transformed for regression analysis. The data of continuous variables were presented as means with standard errors and categorical variables as frequencies with percentages.
Multivariable linear regression analyses were performed to investigate the relationship between dietary patterns and SMI. After initial screening of the valid dietary patterns that were significantly associated with SMI after adjusting for age and BMI, the factor scores of the selected dietary patterns were stratified by quartile scales. The subjects were then categorized and compared according to the quartiles of factor scores. Analysis of variance (ANOVA) was performed to estimate the differences in continuous variables among the quartiles of factor scores. Differences in the frequencies of the categorical variables were assessed by Rao-Scott chi-square tests without adjustment. Weighting was performed for all analyses and subgroups of interest were analyzed within assigned domain codes. Then the first multivariable linear regression model was further adjusted. Before adjusting for the variables in the regression model, the collinearity among variables was tested as previously described [17]. Using the linear regression model beta coefficient, the 95% confidence intervals (CIs) for SMI according to the quartiles of dietary pattern factor scores were estimated by setting the lowest quartile as reference. All analyses were performed separately by sex. The significance of the data was defined as p < 0.05.
Dietary patterns identified by principal components factor analysis
The general characteristics of all study subjects are described in Supplementary Table 1. From all study subjects, three primary dietary patterns were identified by factor analysis (Table 1). These three factors explained 21.0% of the total variance in food intake amount. The first factor demonstrated the highest factor loadings for vegetables, fish, and seasonings. This dietary pattern was the first factor, with similar factor loadings even in the separate analyses for men and women (Supplementary Tables 2 and 3). The main food groups in the second factor were flour, eggs, and meat. The third factor was mainly comprised of rice and kimchi. We defined the first factor as “Vegetables and Fish (VF)”; the second as “Flour, Eggs, and Meat (FEM)”; and the third as “Rice and Kimchi (RK).” The variances explained by these factors were 9.0%, 6.0% and 6.0% for VF, FEM, and RK, respectively. While the VF pattern showed positive factor loadings for the main food groups, the FEM and RK patterns both demonstrated large (less than −0.3) negative factor loadings for the whole-grain and potato groups and FEM further revealed negative factor loadings for the milk, flour, and fruit groups (Table 1).
Table 1

Dietary patterns with factor loadings* derived from the amount of food intake

Table 1
Food or food groups Dietary patterns
Factor 1 Factor 2 Factor 3
VF FEM RK
White rice 0.47
Kimchi 0.22
Seaweed
Sugar beverage 0.22
Meat 0.24
Vegetables 0.40*
Seasonings 0.36
Fish 0.29
Plant oil 0.20 0.29
Etc. (animal)
Alcohol 0.20
Etc. (plant)
Whole grains 0.22 −0.31 −0.30
Fruits −0.21
Beans 0.20
Milk −0.30
Nuts
Potato −0.20 −0.28
Beverage
Animal oil
Egg 0.25
Flour 0.34 −0.25
Variance of food intake explained (%) 9.0 15.0 21.0
VF, vegetables and fish; FEM, flour, eggs and meat; RK, rice and kimchi.
*Factor loading scores below ± 0.20 are not shown; Labeling of each factor follows the combination of food groups where highest values obtained in Cronbach's coefficient alpha within the factor.
Screening of regression coefficients for dietary pattern scores on skeletal muscle mass
Table 2 shows the degrees of simple linear associations between the dietary pattern scores and skeletal muscle mass as SMI values. In both men and women, all three dietary pattern scores were significantly associated with skeletal muscle mass. However, the associations of skeletal muscle mass with the FEM or RK patterns disappeared after adjustment of the regression model for age and BMI in both men and women. The association between VF pattern and skeletal muscle mass remained after adjusting for age and BMI in both men (β = 0.5224; 95% CI, 0.3533–0.6915) and women (β = 0.2799; 95% CI, 0.0856–0.4743).
Table 2

Regression coefficients for dietary pattern scores on skeletal muscle mass

Table 2
Patterns derived by food intake amount Men Women
β* p β p
VF
Model I 0.6217 (0.4455, 0.7980) <0.0001 0.4055 (0.1727, 0.6383) 0.0007
Model II 0.5224 (0.3533, 0.6915) <0.0001 0.2799 (0.0856, 0.4743) 0.0048
FEM
Model I 0.7037 (0.5346, 0.8729) <0.0001 0.7240 (0.5104, 0.9377) <0.0001
Model II 0.0745 (−0.0867, 0.2357) 0.3643 −0.0736 (−0.2741, 0.1269) 0.4713
RK
Model I −0.1960 (−0.3941, 0.0020) 0.0524 −0.7209 (−0.9021, −0.5397) <0.0001
Model II 0.0246 (−0.1526, 0.2019) 0.7851 −0.0369 (−0.1986, 0.1248) 0.6538
Beta coefficient with 95% CI was shown.
VF, vegetables and fish; FEM, flour, eggs and meat; RK, rice and kimchi; CI, confidence interval.
*β (95% CI) was estimated by using a linear-mixed regression analysis without adjustment (Model I) or with adjustment for age and BMI (Model II).
Justification of the VF pattern by the amount of food intake
Since the VF pattern was the only pattern common in both sexes and the VF pattern scores derived from food intake was significantly associated with skeletal muscle mass, we further categorized the study subjects by the quartile scale of the VF pattern scores derived from the amount of food intake. As shown in Table 3, we initially justified the VF pattern by assessing the intake amount of each food group according to VF quartiles. As expected, the intake amount of vegetables and fish (VF) increased up to 4.3- and 6.7-fold in men and 5.2- and 5.7-fold in women, respectively, with increasing VF quartile, indicating that those main food groups were well-fitted to the VF pattern. The intake amounts of other minor food groups in the VF pattern including white rice, whole grains, potatoes, beans, nuts, kimchi, seaweed, fruits, plant oil, and seasonings gradually increased while those of the flour group gradually decreased with increasing VF quartile in men and women (p < 0.0001). These data suggest that subjects with high scores in the VF pattern tended to have healthy diets. However, except for seasonings, the fold-changes of intake amounts of those food groups were not as high as those for vegetable or fish intake. When the intake amounts of these foods were computed as percent energy intake, the change in the intake amounts of the main food groups of the VF pattern was proportional to the increase in VF quartile (Supplementary Table 4). These data suggest that the VF pattern derived from food intake amount is a valid dietary pattern for the subjects in this study and that the VF pattern scores acted in accordance with the percent energy intake as well as the food intake amount of the subjects.
Table 3

Average intake amount (g) of each food group according to the quartile of vegetables and fish pattern scores

Table 3
Groups Q1 Q2 Q3 Q4 p
Men (No.) 951 952 950 952
White rice 212.88 ± 3.67 248.84 ± 4.46 254.07 ± 4.21 271.64 ± 4.63 < 0.0001
Whole grains 15.57 ± 0.93 24.39 ± 1.37 30.31 ± 1.67 43.56 ± 3.06 < 0.0001
Flour 101.42 ± 5.27 80.13 ± 5.07 65.32 ± 4.05 60.64 ± 3.40 < 0.0001
Potato 13.40 ± 1.52 28.36 ± 2.51 32.73 ± 3.17 51.55 ± 4.61 < 0.0001
Beans 19.84 ± 1.52 36.30 ± 2.35 49.54 ± 2.79 71.87 ± 4.19 < 0.0001
Nuts 1.21 ± 0.19 1.93 ± 0.24 3.87 ± 0.42 7.76 ± 1.47 < 0.0001
Vegetables 86.32 ± 2.70 160.33 ± 3.57 232.81 ± 4.54 374.85 ± 8.67 < 0.0001
Kimchi 145.99 ± 4.29 166.51 ± 5.56 169.60 ± 5.55 190.16 ± 6.07 < 0.0001
Seaweed 2.84 ± 0.21 3.85 ± 0.28 5.68 ± 0.48 11.06 ± 1.06 < 0.0001
Fruit 85.91 ± 9.96 147.39 ± 9.49 184.01 ± 12.61 197.91 ± 12.81 < 0.0001
Fish 18.81 ± 1.19 39.83 ± 1.59 69.57 ± 2.93 125.32 ± 5.34 < 0.0001
Meat 85.05 ± 5.91 79.49 ± 4.51 82.54 ± 4.49 92.33 ± 4.44 0.1789
Egg 23.29 ± 1.97 18.82 ± 1.36 22.80 ± 1.57 24.92 ± 1.63 0.0103
Milk 65.45 ± 5.74 53.93 ± 5.10 61.96 ± 5.17 61.46 ± 7.49 0.4466
Plant oil 3.63 ± 0.24 6.25 ± 0.27 9.16 ± 0.33 14.51 ± 0.50 < 0.0001
Animal oil 0.32 ± 0.11 0.05 ± 0.02 0.06 ± 0.02 0.05 ± 0.02 0.0569
Beverage 24.05 ± 9.35 20.59 ± 3.32 27.15 ± 5.07 42.24 ± 5.84 0.0137
Sugar beverage 57.48 ± 7.14 43.42 ± 4.23 49.07 ± 4.69 47.26 ± 4.23 0.5194
Alcohol 1.78 ± 0.02 1.76 ± 0.02 1.77 ± 0.02 1.77 ± 0.02 0.7762
Seasonings 15.49 ± 0.54 26.81 ± 0.63 41.30 ± 0.99 70.31 ± 1.77 < 0.0001
Etc. (plant) 3.06 ± 1.22 0.42 ± 0.14 0.46 ± 0.18 0.49 ± 0.36 < 0.0001
Etc. (animal) 0.22 ± 0.13 0.00 ± 0.00 0.14 ± 0.10 0.01 ± 0.00 0.1601
VF pattern score −0.0232 ± 0.0004 −0.0062 ± 0.0002 0.0093 ± 0.0002 0.0396 ± 0.0008 < 0.0001
Women (No.) 1,317 1,317 1,317 1,316
White rice 166.83 ± 2.62 201.41 ± 3.27 206.82 ± 3.40 212.85 ± 3.80 < 0.0001
Whole grains 15.42 ± 0.76 20.69 ± 0.96 28.95 ± 1.38 53.03 ± 3.16 < 0.0001
Flour 75.07 ± 3.49 53.52 ± 2.92 50.74 ± 2.80 45.42 ± 2.33 < 0.0001
Potato 13.08 ± 1.06 27.66 ± 2.09 40.45 ± 3.33 67.22 ± 4.57 < 0.0001
Beans 13.20 ± 0.82 22.84 ± 1.35 37.32 ± 1.79 58.75 ± 3.44 < 0.0001
Nuts 1.09 ± 0.11 2.02 ± 0.20 3.52 ± 0.44 6.49 ± 0.65 < 0.0001
Vegetables 62.97 ± 1.77 122.82 ± 2.54 181.22 ± 3.34 325.37 ± 7.63 < 0.0001
Kimchi 107.54 ± 3.64 123.76 ± 3.52 130.16 ± 3.83 134.91 ± 4.31 < 0.0001
Seaweed 2.59 ± 0.17 3.93 ± 0.30 5.57 ± 0.42 10.44 ± 0.90 < 0.0001
Fruit 112.38 ± 6.49 179.1 ± 8.14 231.75 ± 12.45 255.41 ± 10.93 < 0.0001
Fish 13.54 ± 0.77 28.21 ± 1.26 41.60 ± 1.78 77.78 ± 3.22 < 0.0001
Meat 55.18 ± 4.34 58.17 ± 3.66 57.99 ± 3.09 53.62 ± 2.62 0.6935
Egg 14.97 ± 0.84 14.67 ± 0.86 17.69 ± 1.14 20.10 ± 1.23 0.002
Milk 76.18 ± 4.95 67.47 ± 4.46 61.16 ± 4.26 70.36 ± 4.13 0.1606
Plant oil 2.22 ± 0.11 4.12 ± 0.15 5.92 ± 0.24 8.70 ± 0.30 < 0.0001
Animal oil 0.15 ± 0.03 0.08 ± 0.03 0.05 ± 0.01 0.04 ± 0.01 0.0036
Beverage 18.87 ± 2.97 23.98 ± 3.32 36.16 ± 8.19 37.97 ± 4.79 0.006
Sugar beverage 38.34 ± 3.64 28.58 ± 2.47 33.05 ± 2.62 26.85 ± 2.51 0.0405
Alcohol 1.94 ± 0.01 1.96 ± 0.01 1.96 ± 0.01 1.96 ± 0.01 0.3965
Seasonings 10.65 ± 0.34 18.50 ± 0.42 28.18 ± 0.61 51.21 ± 1.72 < 0.0001
Etc. (plant) 3.06 ± 0.96 0.25 ± 0.09 0.18 ± 0.04 0.49 ± 0.25 < 0.0001
Etc. (animal) 0.19 ± 0.10 0.01 ± 0.01 0.01 ± 0.01 0.04 ± 0.03 0.2406
VF pattern score −0.0277 ± 0.0002 −0.0145 ± 0.0001 −0.0026 ± 0.0001 0.0235 ± 0.0007 < 0.0001
Values are presented as mean ± standard error. For men, Q1: factor score < −0.0135, Q2: −0.0135 ≤ factor score < 0.0009, Q3: 0.0009 ≤ factor score < 0.0187, and Q4: 0.0187 ≤ factor score; for women, Q1: factor score < −0.0199, Q2: −0.0199 ≤ factor score < −0.0093, Q3: −0.0093 ≤ factor score < 0.0052, and −Q4: 0.0052 ≤ factor score. The p values are from analysis of variance for assessing the trend of difference among quartiles. Bold letters: Intake amount of foods which compose main food groups in VF pattern.
VF, vegetables and fish.
Characteristics of subjects by quartiles of VF pattern scores
We further categorized the health-related parameters of the subjects according to VF quartiles. As shown in Table 4, the mean age of the study subjects decreased as with increasing VF quartile in both men and women. Many aged subjects were in the lowest VF quartile and the proportion of aged subjects (≥ 50 years) declined as the VF quartile increased (p < 0.0001). Men and women with high VF pattern scores had higher household incomes and were more likely to have a higher education status (p < 0.0001). The distribution of physically active subjects did not differ among the VF quartiles in both men and women. The ratio of smokers in each quartile did not differ significantly among quartiles in men; however, women in the lowest VF quartile tended to be current smokers (p < 0.0001). The ratios of subjects who drank more than 1–2 servings of alcohol per day did not differ significantly across the quartiles of SMI in both men and women.
Table 4

Characteristics of demographic and life style variables according to the quartile of vegetables and fish pattern scores

Table 4
Groups Q1 Q2 Q3 Q4 p
Men (No.) 951 952 950 952
Age 53.1 ± 0.6 51.8 ± 0.5 49.7 ± 0.5 49.1 ± 0.5 < 0.0001
30 ≤ year < 40 149 (26.0) 153 (22.7) 177 (25.7) 186 (26.6) < 0.0001
40 ≤ year < 50 139 (22.7) 170 (26.3) 218 (30.0) 238 (32.6)
50 ≤ year < 60 147 (18.8) 202 (25.9) 210 (24.6) 202 (22.8)
60 ≤ year < 70 230 (15.7) 224 (14.8) 202 (12.4) 212 (12.7)
70 ≤ year 286 (16.8) 203 (10.3) 143 (7.3) 114 (5.3)
Household income < 0.0001
Low 344 (27.7) 202 (14.9) 178 (13.0) 134 (9.0)
Low–Middle 249 (25.6) 263 (28.4) 263 (27.0) 198 (20.9)
Middle–High 193 (25.4) 261 (30.7) 283 (33.6) 294 (33.0)
High 165 (21.4) 226 (26.0) 226 (26.4) 326 (37.2)
Education < 0.0001
Above high school 457 (41.4) 375 (34.1) 305 (27.3) 264 (24.3)
Below high school 370 (58.6) 469 (65.9) 533 (72.7) 580 (75.7)
Alcohol intake* 0.7551
≥ 1–2 serving/day 179 (22.1) 199 (24.6) 204 (23.2) 188 (22.6)
< 1–2 serving/day 772 (77.9) 753 (75.4) 746 (76.8) 764 (77.4)
Physical activity 0.5185
Active 468 (46.1) 459 (46.5) 475 (46.7) 501 (49.7)
Non-active 483 (53.9) 493 (53.5) 475 (53.3) 451 (50.3)
Smoking status 0.0675
Smoker 654 (70.1) 616 (68.1) 594 (63.7) 606 (65.5)
Non-smoker 297 (29.9) 336 (31.9) 356 (36.3) 346 (34.5)
Women (No.) 1,317 1,317 1,317 1,316
Age 52 ± 0.5 51.3 ± 0.5 50.4 ± 0.5 48.9 ± 0.4 < 0.0001
30 ≤ year < 40 333 (29.9) 297 (26.2) 279 (23.1) 297 (25.1) < 0.0001
40 ≤ year < 50 228 (22.3) 259 (24.8) 321 (29.5) 351 (32.7)
50 ≤ year < 60 200 (16.1) 272 (21.3) 287 (23.0) 304 (22.6)
60 ≤ year < 70 240 (13.3) 256 (14.5) 244 (13.9) 242 (13.0)
70 ≤ year 316 (18.4) 233 (13.3) 186 (10.5) 122 (6.7)
Household income < 0.0001
Low 423 (26.6) 327 (18.1) 287 (18.5) 231 (14.3)
Low–Mid 339 (28.1) 358 (28.8) 350 (25.8) 330 (26.7)
Mid–High 313 (25.5) 335 (28.9) 351 (28.7) 352 (29.4)
High 242 (19.8) 297 (24.3) 329 (27.0) 403 (29.6)
Education < 0.0001
Above high school 624 (47.7) 628 (47.1) 591 (44.4) 475 (34.8)
Below high school 495 (52.3) 531 (52.9) 580 (55.6) 685 (65.2)
Alcohol intake* 0.3693
≥ 1–2 serving/d 56 (5.5) 47 (3.7) 45 (4.3) 47 (4.5)
< 1–2 serving/d 1,261 (94.5) 1,270 (96.3) 1,272 (95.7) 1,269 (95.5)
Physical activity 0.9762
Active 591 (45.9) 608 (46.4) 592 (45.5) 617 (46.4)
Non-active 726 (54.1) 709 (53.6) 725 (54.5) 699 (53.6)
Smoking status < 0.0001
Smoker 145 (11.6) 98 (8.8) 64 (5.8) 95 (7.9)
Non-smoker 1,172 (88.4) 1,219 (91.2) 1,253 (94.2) 1,221 (92.1)
Values are presented as mean ± standard error or number of frequency (%). For men Q1: factor score < −0.0135, Q2: −0.0135 ≤ factor score < 0.0009, Q3: 0.0009 ≤ factor score < 0.0187, and Q4: 0.0187 ≤ factor score; for women, Q1: factor score < -0.0199, Q2: −0.0199 ≤ factor score < −0.0093, Q3: −0.0093 ≤ factor score < 0.0052, and Q4: 0.0052 ≤ factor score. The p values are from analysis of variance for continuous variables and Rao-Scott chi-square test for categorical variables for assessing the trend of difference among quartiles.
*A serving size of alcohol intake: one cup (50 cc) of soju or one glass of beer (200 cc), “≥ 1–2 serving/d” corresponds to ≥ 2 serving/day for men and ≥ 1.5 servings/day for women, “< 1–2 serving/d” corresponds to < 2 serving/day for men and < 1.5 servings/day for women.
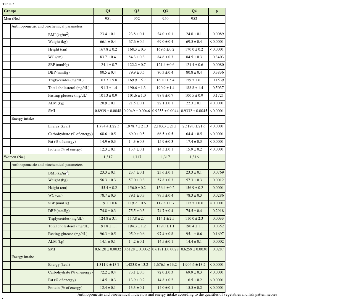
Anthropometric and biochemical indicators according to VF quartile are shown in Table 5. Both men and women in the higher VF quartile had higher body weight, height, and ALM values than those in the lowest VF quartile. BMI increased with increasing VF pattern score in men (p = 0.0089) but the change in BMI by VF quartile did not reach statistical significance in women (p = 0.0769). In women, the change in waist circumference among VF quartiles appeared to be significant but the mean value of waist circumference was not parallel to the order of VF quartiles. While systolic blood pressure tended to decrease at lower VF quartiles in both men (p = 0.0080) and women (p < 0.0001), diastolic blood pressure did not differ across VF quartiles in all subjects. Women in the higher VF quartile tended to have lower total blood triglyceride (p = 0.0033) and cholesterol (p = 0.0352) levels. In contrast, the mean total triglyceride and cholesterol values did not differ significantly across the quartiles. The change in fasting blood glucose did not differ significantly among VF quartiles in all subjects.
Table 5

Anthropometric and biochemical indicators and energy intake according to the quartiles of vegetables and fish pattern scores

Table 5
Groups Q1 Q2 Q3 Q4 p
Men (No.) 951 952 950 952
Anthropometric and biochemical parameters
BMI (kg/m2) 23.4 ± 0.1 23.8 ± 0.1 24.0 ± 0.1 24.0 ± 0.1 0.0089
Weight (kg) 66.1 ± 0.4 67.6 ± 0.4 69.0 ± 0.4 69.5 ± 0.4 < 0.0001
Height (cm) 167.8 ± 0.2 168.3 ± 0.3 169.6 ± 0.2 170.0 ± 0.2 < 0.0001
WC (cm) 83.7 ± 0.4 84.3 ± 0.3 84.6 ± 0.3 84.5 ± 0.3 0.3403
SBP (mmHg) 124.1 ± 0.7 122.2 ± 0.7 121.4 ± 0.6 121.4 ± 0.6 0.0080
DBP (mmHg) 80.5 ± 0.4 79.9 ± 0.5 80.3 ± 0.4 80.8 ± 0.4 0.3836
Triglycerides (mg/dL) 163.7 ± 5.8 169.9 ± 5.7 160.0 ± 5.4 159.5 ± 6.1 0.1539
Total cholesterol (mg/dL) 191.3 ± 1.4 190.6 ± 1.3 190.9 ± 1.4 188.8 ± 1.4 0.5037
Fasting glucose (mg/dL) 101.3 ± 0.9 101.6 ± 1.0 98.9 ± 0.7 100.5 ± 0.9 0.1721
ALM (kg) 20.9 ± 0.1 21.5 ± 0.1 22.1 ± 0.1 22.3 ± 0.1 < 0.0001
SMI 0.8939 ± 0.0048 0.9049 ± 0.0046 0.9255 ± 0.0044 0.9332 ± 0.0045 < 0.0001
Energy intake
Energy (kcal) 1,784.4 ± 22.5 1,978.7 ± 21.3 2,183.3 ± 21.1 2,519.0 ± 21.6 < 0.0001
Carbohydrate (% of energy) 68.6 ± 0.5 69.0 ± 0.5 66.5 ± 0.5 64.4 ± 0.5 < 0.0001
Fat (% of energy) 14.9 ± 0.3 14.3 ± 0.3 15.9 ± 0.3 17.4 ± 0.3 < 0.0001
Protein (% of energy) 12.3 ± 0.1 13.4 ± 0.1 14.5 ± 0.1 15.9 ± 0.2 < 0.0001
Women (No.) 1,317 1,317 1,317 1,316
Anthropometric and biochemical parameters
BMI (kg/m2) 23.3 ± 0.1 23.4 ± 0.1 23.6 ± 0.1 23.3 ± 0.1 0.0769
Weight (kg) 56.3 ± 0.3 57.0 ± 0.3 57.8 ± 0.3 57.3 ± 0.3 0.0012
Height (cm) 155.4 ± 0.2 156.0 ± 0.2 156.4 ± 0.2 156.9 ± 0.2 0.0001
WC (cm) 78.7 ± 0.3 79.1 ± 0.3 79.5 ± 0.4 78.3 ± 0.3 0.0286
SBP (mmHg) 119.1 ± 0.6 119.2 ± 0.6 117.8 ± 0.7 115.5 ± 0.6 < 0.0001
DBP (mmHg) 74.8 ± 0.3 75.5 ± 0.3 74.7 ± 0.4 74.5 ± 0.4 0.2918
Triglycerides (mg/dL) 124.8 ± 3.1 117.8 ± 2.4 114.1 ± 2.5 110.0 ± 2.3 0.0033
Total cholesterol (mg/dL) 191.8 ± 1.1 194.3 ± 1.2 189.0 ± 1.1 190.4 ± 1.1 0.0352
Fasting glucose (mg/dL) 96.3 ± 0.5 95.9 ± 0.6 97.4 ± 0.8 95.1 ± 0.6 0.1697
ALM (kg) 14.1 ± 0.1 14.2 ± 0.1 14.5 ± 0.1 14.4 ± 0.1 0.0002
SMI 0.6120 ± 0.0032 0.6128 ± 0.0032 0.6181 ± 0.0028 0.6259 ± 0.0030 0.0287
Energy intake
Energy (kcal) 1,311.9 ± 13.7 1,483.0 ± 13.2 1,676.1 ± 13.2 1,904.6 ± 13.2 < 0.0001
Carbohydrate (% of energy) 72.2 ± 0.4 73.1 ± 0.3 72.0 ± 0.3 69.9 ± 0.3 < 0.0001
Fat (% of energy) 14.5 ± 0.3 13.9 ± 0.2 14.8 ± 0.2 16.5 ± 0.2 < 0.0001
Protein (% of energy) 12.4 ± 0.1 13.3 ± 0.1 14.0 ± 0.1 15.5 ± 0.2 < 0.0001
Values are presented as mean ± standard error. Percent intake from total energy intake, for men, Q1: factor score < −0.0135, Q2: −0.0135 ≤ factor score < 0.0009, Q3: 0.0009 ≤ factor score < 0.0187, and Q4: 0.0187 ≤ factor score; for women, Q1: factor score < -0.0199, Q2: −0.0199 ≤ factor score < −0.0093, Q3: −0.0093 ≤ factor score < 0.0052, and Q4: 0.0052 ≤ factor score. The p values are from analysis of variance for assessing the trend of difference among quartiles.
WC, waist circumference; SBP, systolic blood pressure; DBP, diastolic blood pressure; ALM, appendicular lean body mass; SMI, skeletal muscle index.
Total energy intake increased with increasing VF quartile (Table 5). As expected, the values of energy-producing nutrient, carbohydrates, fat, and protein intake paralleled the amount of total energy intake throughout the quartiles (data not shown). The intake ratio of energy from carbohydrates to total energy at the lowest VF quartile in men and women were 68.6% and 72.2%, respectively but decreased to 64.4% and 69.9% at the highest quartile (p < 0.0001). The highest VF quartile had a higher intake ratio of fat to total energy compared to that of the lower quartiles (p < 0.0001). The intake ratios of protein to the total energy in Q1 were 12.3% and 12.4% for men and women, respectively, and increased to 15.9% and 15.5%, respectively, in the highest VF quartile.
Estimation of change in skeletal muscle mass according to the dietary pattern score
We examined the association of VF pattern score with the sarcopenia index by incorporating age and BMI as covariates in the linear regression model. The subjects in the highest VF quartiles had a higher SMI than those in the reference group (the lowest VF quartile) (p < 0.0001) (Table 6). When total energy intake was further adjusted in the regression model, the change in skeletal muscle compared to the reference group gradually increased with increasing quartile. We also designed sex-specific models by adjusting for household income, education, and systolic blood pressure for men and further adjusting for smoking status, waist circumference, total triglycerides, and total cholesterol for women based on the characteristics of subjects according to the quartile of dietary pattern scores. No significant change in skeletal muscle was observed in women while the coefficient of change in SMI increased up to 4-fold with increasing VF quartile in men. Analysis of the main food groups belonging to the VF pattern showed that neither vegetables nor fish was significantly associated with the change of skeletal muscle (data not shown).
Table 6

Estimated change of skeletal muscle mass according to the quartile of dietary pattern scores

Table 6
Models Men Women
Model I
R2 0.2826 0.3248
Q1 Ref. Ref.
Q2 0.0117 (−0.0001, 0.0235)* 0.0014 (−0.0093, 0.012)
Q3 0.0294 (0.0181, 0.0407) 0.0110 (0.0004, 0.0215)
Q4 0.0357 (0.0238, 0.0477) 0.0100 (−0.0016, 0.0215)
p for trend < 0.0001 0.1074
Model II
R2 0.2869 0.3326
Q1 Ref. Ref.
Q2 0.0071 (−0.0045, 0.0188) −0.0018 (−0.0128, 0.0091)
Q3 0.0198 (0.0083, 0.0313) 0.0043 (−0.0071, 0.0157)
Q4 0.0175 (0.0042, 0.0308) −0.0005 (−0.0138, 0.0128)
p for trend 0.0052 0.7115
Model III
R2 0.2990 0.3552
Q1 Ref. Ref.
Q2 0.0029 (−0.0094, 0.0152) 0.0000 (−0.0116, 0.0117)
Q3 0.0163 (0.0042, 0.0283) 0.0022 (−0.0094, 0.0137)
Q4 0.0098 (−0.0042, 0.0238) −0.0016 (−0.0154, 0.0121)
p for trend 0.0399 0.9382
Beta coefficient with 95% confidence interval was shown. Model I: adjusted for age and body mass index, Model II: Model I + energy intake, Model III: Model II + household income, education, systolic blood pressure for men, Model II + household income, education, systolic blood pressure, waist circumference, total blood triglyceride, total cholesterol for women. For men, Q1: factor score < −0.0135, Q2: −0.0135 ≤ factor score < 0.0009, Q3: 0.0009 ≤ factor score < 0.0187, and Q4: 0.0187 ≤ factor score; for women, Q1: factor score < −0.0199, Q2: −0.0199 ≤ factor score < −0.0093, Q3: −0.0093 ≤ factor score < 0.0052, and Q4: 0.0052 ≤ factor score.
*p < 0.05, p < 0.01, p < 0.001 compared to reference quartile (Q1) within same sex.
This study identified three dietary patterns, VF, FEM, and RK, by factor analysis. Of these patterns, VF was the main factor in factor analysis for all subjects and in factor analyses for men and women separately. The VF pattern was associated with increased skeletal muscle mass only in men. This association remained after adjusting for confounders including age, household income, education, BMI, total energy intake, and systolic blood pressure, indicating that the association was independent of these covariates. The VF pattern was not significantly associated with skeletal muscle mass in women, suggesting the presence of sex differences in changes in skeletal muscle mass in relation to diet.
The foods which belonged to the VF pattern with positive loadings included vegetables, fish, whole grains, potatoes, nuts, and fruits. In contrast, meats and alcohols had negative loadings in this pattern (data not shown). The amount of consumption of the food groups with positive factor loadings increased according to increasing VF quartile. Therefore, the main food composition of the VF pattern in this study was like that of other diets which have been reported as healthy [24, 35, 36, 37, 38]. For example, the Mediterranean diet, mainly composed of vegetables, fruits, and plant oils with moderate intake of fish and low intake of animal foods including meat, saturated fat, and dairy, has shown several health benefits [36, 37, 38]. In addition, the diet approach to stop hypertension contains many plant-based foods with low consumption of red meats and animal fat [39]. In line with these findings, the average systolic blood pressure value decreased with increasing VF pattern score in both men and women in the present study. Although the Cronbach's alpha coefficient was low (data not shown), the high factor loadings of seasonings in the VF pattern was likely due to the fact that vegetables are often consumed with sauces or dressing rather than as a raw food without seasoning. Seasonings made from soybean or herbs may have bioactive nutrients and synergistic effects with vegetables on health outcome. In addition, subjects with high VF pattern scores tended to comply with ideal diet patterns with proper energy distributions (carbohydrate: protein: fat), which might contribute to the beneficial relationship between VF pattern and skeletal muscle mass in this study.
Based on the many health benefits of plant-based diets and fish consumption, recent studies showed that a diet containing VF or related food items was positively associated with skeletal muscle health [25, 26, 27, 40]. A healthy diet pattern composed of vegetables, legumes, and whole grain was positively associated with lower limb muscle strength in Australian women aged 60 years and older [40]. Fish consumption was associated with increased grip strength in UK women aged 59 to 73 years [27]. Mediterranean diet scores were positively associated with fat-free mass in UK women [25], but the study did not find any significant association between a single food group (vegetables, fish, or fruits) and skeletal muscle mass or strength. The effects of diets mainly composed of VF on skeletal muscle in previous studies are similar to the results of the present study that the VF pattern was positively associated with skeletal muscle in men but a single food item which belonged to the VF pattern was not associated with skeletal muscle mass (data not shown). Our recent study also reported a significant association between total energy intake and increased skeletal muscle mass in Korean men but no association between a single major nutrient and skeletal muscle mass [17]. Taken together, the VF pattern, as a combined approach for a healthy diet rather than its individual food or single nutrient, had a positive effect on skeletal muscle mass.
Although our findings are concordant with those of previous studies showing a positive relationship between the VF pattern and skeletal muscle mass, the lack of association between the dietary pattern and skeletal muscle mass in women in our study differs from previous findings. A study including Iranian subjects found no association between the Mediterranean diet pattern and skeletal muscle mass or the prevalence of sarcopenia in either men or women [36]. Other previous studies including women demonstrated a positive effect of vegetable-oriented diets on skeletal muscle health [25, 27, 40]. Our previous study showed an association between skeletal muscle mass and total energy intake in both men and women, but the association was more pronounced in men than that in women [17] and a study including Chinese adults reported more favorable beneficial effects of a Mediterranean diet on skeletal muscle mass in men than those in women [26]. Except for two studies conducted on Korea [17] and China [26], most studies on the relationship between diet pattern and skeletal muscle health included only subjects at least 59 years of age. Because age and body mass are strong determinants of skeletal muscle mass, the younger subjects in the present study had ethnically different anthropometric conditions compared to those of previous studies [25, 27, 40], which may reveal different results. Another explanation for the differences is that the carbohydrate consumption of the subjects in this study was greater than 65% of the total energy intake even at the highest VF quartile and women tended to have a higher energy intake from carbohydrates compared to that in men. Carbohydrate intake is closely related to the risk of metabolic dysfunction such as dyslipidemia, diabetes, and obesity, which are significant confounders for skeletal muscle mass [34, 41, 42]. In the present study, the changes in metabolic parameters such as waist circumference, total triglyceride, and cholesterol by VF quartile were larger in women than those in men, which may explain the lack of association between the VF pattern and skeletal muscle mass in women. Furthermore, studies on the relationship between diet patterns and health outcome have consistently reported heterogeneous health behaviors and diets of women when defining women-specific dietary pattern [20, 24]. Also, fruit was not included in the VF patterns in this study. Therefore, isolating the distinctive effect of VF pattern on skeletal muscle mass may be challenging in women.
To our knowledge, this is the first study to use a nationwide survey to investigate the associations between dietary patterns and skeletal muscle mass in Koreans including both younger (30s and 40s) and older (50 years and older) adults, while previous studies mostly focused on older adults [1, 10, 17]. Previous studies have assessed the relationship between nutrition or diet and changes in skeletal muscle mass by comparing the prevalence of an extreme status such as a substantial loss of muscle mass which has already occurred [4, 7, 36]. Especially in healthy populations, sarcopenia is usually a gradual process and the gain or loss of skeletal muscle mass may take a few months to years [1, 29]. Hence, assessing changes in skeletal muscle mass rather than the ratio of sarcopenia or non-sarcopenia is a reliable method to identify factors affecting skeletal muscle health. Moreover, our findings have clinical relevance as the scale of association of the VF pattern with skeletal muscle was up to 4.6-fold higher the loss of skeletal muscle per year after accounting for covariates (data not shown). Subjects with higher adherence to the VF pattern may also have a healthy lifestyle; although lifestyle factors were adjusted, residual confounders cannot be ruled out, especially with 24-hour recall data. Therefore, these findings require replication in a different pattern analysis such as index or cluster analysis [20]. The health benefits of vegetable-oriented diets engage various mechanisms such as anti-inflammatory and anti-oxidative properties and microbiome changes [19, 43, 44]; however, those mechanisms are rarely evaluated in population-based studies. Thus, markers that can explain the specific mechanisms for the association between diet and skeletal muscle health require further investigation.
The dietary patterns identified by factor analysis were positively associated with skeletal muscle mass in Korean men but not women. The results of this study suggest that a healthier dietary pattern focused on VF intake may help to increase skeletal muscle mass in men. These findings can be used to develop diet guidelines for public health perspectives and to plan dietary intervention trials for skeletal muscle health.
This study performed diet pattern analysis to investigate the effect of certain diets on skeletal muscle mass. Three dietary patterns, VF, FEM, and RK were identified and the VF pattern commonly appeared in factor analyses for men and women separately. The level of skeletal muscle mass increased with increasing the quartile of VF scores in Korean men after adjusting for age, household income, education status, BMI, total energy intake, and systolic blood pressure. However, no association was found between VF quartiles and skeletal muscle mass in women. These results highlight that the healthy diet pattern characterized by VF is beneficial for increasing skeletal muscle mass independent of body size and total energy intake. Though the results require validation in different types of pattern analyses, separate consideration for men and women is warranted to assess the relationship between diet and skeletal muscle mass.
Daegu Universityhttps://doi.org/10.13039/50110000260820160264

Funding: This research was supported by the Daegu University General Research Grant, 2016 (20160264).

Conflict of Interest: The authors declare that they have no competing interests.

Supplementary Table 1

General characteristics of study subjects
cnr-8-1-s001.xls

Supplementary Table 2

Dietary patterns with factor loadings* analyzed only in men
cnr-8-1-s002.xls

Supplementary Table 3

Dietary patterns with factor loadings* analyzed only in women
cnr-8-1-s003.xls

Supplementary Table 4

Percent energy intake of each food group according to the quartile of vegetables and fish pattern scores
cnr-8-1-s004.xls
  • 1. Lang T, Streeper T, Cawthon P, Baldwin K, Taaffe DR, Harris TB. Sarcopenia: etiology, clinical consequences, intervention, and assessment. Osteoporos Int 2010;21:543-559.
  • 2. Hughes VA, Frontera WR, Roubenoff R, Evans WJ, Singh MA. Longitudinal changes in body composition in older men and women: role of body weight change and physical activity. Am J Clin Nutr 2002;76:473-481.
  • 3. Poggiogalle E, Lubrano C, Sergi G, Coin A, Gnessi L, Mariani S, Lenzi A, Donini LM. Sarcopenic obesity and metabolic syndrome in adult Caucasian subjects. J Nutr Health Aging 2016;20:958-963.
  • 4. Ryan AM, Power DG, Daly L, Cushen SJ, Ní Bhuachalla Ē, Prado CM. Cancer-associated malnutrition, cachexia and sarcopenia: the skeleton in the hospital closet 40 years later. Proc Nutr Soc 2016;75:199-211.
  • 5. Slusher AL, Mock JT, Whitehurst M, Maharaj A, Huang CJ. The impact of obesity on pentraxin 3 and inflammatory milieu to acute aerobic exercise. Metabolism 2015;64:323-329.
  • 6. Stephens FB, Chee C, Wall BT, Murton AJ, Shannon CE, van Loon LJ, Tsintzas K. Lipid-induced insulin resistance is associated with an impaired skeletal muscle protein synthetic response to amino acid ingestion in healthy young men. Diabetes 2015;64:1615-1620.
  • 7. Pongchaiyakul C, Limpawattana P, Kotruchin P, Rajatanavin R. Prevalence of sarcopenia and associated factors among Thai population. J Bone Miner Metab 2013;31:346-350.
  • 8. Burnham JM, Shults J, Semeao E, Foster BJ, Zemel BS, Stallings VA, Leonard MB. Body-composition alterations consistent with cachexia in children and young adults with Crohn disease. Am J Clin Nutr 2005;82:413-420.
  • 9. Doherty TJ. Invited review: aging and sarcopenia. J Appl Physiol (1985) 2003;95:1717-1727.
  • 10. Frost M, Nielsen TL, Brixen K, Andersen M. Peak muscle mass in young men and sarcopenia in the ageing male. Osteoporos Int 2015;26:749-756.
  • 11. Reidy PT, Rasmussen BB. Role of ingested amino acids and protein in the promotion of resistance exercise-induced muscle protein anabolism. J Nutr 2016;146:155-183.
  • 12. Blundell JE, Caudwell P, Gibbons C, Hopkins M, Näslund E, King NA, Finlayson G. Body composition and appetite: fat-free mass (but not fat mass or BMI) is positively associated with self-determined meal size and daily energy intake in humans. Br J Nutr 2012;107:445-449.
  • 13. Hopkins M, Finlayson G, Duarte C, Whybrow S, Ritz P, Horgan GW, Blundell JE, Stubbs RJ. Modelling the associations between fat-free mass, resting metabolic rate and energy intake in the context of total energy balance. Int J Obes 2016;40:312-318.
  • 14. Cameron JD, Sigal RJ, Kenny GP, Alberga AS, Prud'homme D, Phillips P, Doucette S, Goldfield G. Body composition and energy intake - skeletal muscle mass is the strongest predictor of food intake in obese adolescents: the HEARTY trial. Appl Physiol Nutr Metab 2016;41:611-617.
  • 15. Johnston CS, Sears B, Perry M, Knurick JR. Use of novel high-protein functional food products as part of a calorie-restricted diet to reduce insulin resistance and increase lean body mass in adults: a randomized controlled trial. Nutrients 2017;9:E1182.
  • 16. Tinker LF, Sarto GE, Howard BV, Huang Y, Neuhouser ML, Mossavar-Rahmani Y, Beasley JM, Margolis KL, Eaton CB, Phillips LS, Prentice RL. Biomarker-calibrated dietary energy and protein intake associations with diabetes risk among postmenopausal women from the Women's Health Initiative. Am J Clin Nutr 2011;94:1600-1606.
  • 17. Jang BY, Bu SY. Total energy intake according to the level of skeletal muscle mass in Korean adults aged 30 years and older: an analysis of the Korean National Health and Nutrition Examination Surveys (KNHANES) 2008–2011. Nutr Res Pract 2018;12:222-232.
  • 18. Jacobs DR Jr, Steffen LM. Wheat bran, whole grain, and food synergy. Diabetes Care 2002;25:1652-1653.
  • 19. Jacobs DR Jr, Steffen LM. Nutrients, foods, and dietary patterns as exposures in research: a framework for food synergy. Am J Clin Nutr 2003;78:508S-513S.
  • 20. Reedy J, Wirfält E, Flood A, Mitrou PN, Krebs-Smith SM, Kipnis V, Midthune D, Leitzmann M, Hollenbeck A, Schatzkin A, Subar AF. Comparing 3 dietary pattern methods--cluster analysis, factor analysis, and index analysis--With colorectal cancer risk: the NIH-AARP Diet and Health Study. Am J Epidemiol 2010;171:479-487.
  • 21. Mishra GD, dos Santos Silva I, McNaughton SA, Stephen A, Kuh D. Energy intake and dietary patterns in childhood and throughout adulthood and mammographic density: results from a British prospective cohort. Cancer Causes Control 2011;22:227-235.
  • 22. Whittle CR, Woodside JV, Cardwell CR, McCourt HJ, Young IS, Murray LJ, Boreham CA, Gallagher AM, Neville CE, McKinley MC. Dietary patterns and bone mineral status in young adults: the Northern Ireland Young Hearts Project. Br J Nutr 2012;108:1494-1504.
  • 23. McNaughton SA, Wattanapenpaiboon N, Wark JD, Nowson CA. An energy-dense, nutrient-poor dietary pattern is inversely associated with bone health in women. J Nutr 2011;141:1516-1523.
  • 24. Flood A, Rastogi T, Wirfält E, Mitrou PN, Reedy J, Subar AF, Kipnis V, Mouw T, Hollenbeck AR, Leitzmann M, Schatzkin A. Dietary patterns as identified by factor analysis and colorectal cancer among middle-aged Americans. Am J Clin Nutr 2008;88:176-184.
  • 25. Kelaiditi E, Jennings A, Steves CJ, Skinner J, Cassidy A, MacGregor AJ, Welch AA. Measurements of skeletal muscle mass and power are positively related to a Mediterranean dietary pattern in women. Osteoporos Int 2016;27:3251-3260.
  • 26. Tian HY, Qiu R, Jing LP, Chen ZY, Chen GD, Chen YM. Alternate Mediterranean diet score is positively associated with skeletal muscle mass index in middle-aged adults. Br J Nutr 2017;117:1181-1188.
  • 27. Robinson SM, Jameson KA, Batelaan SF, Martin HJ, Syddall HE, Dennison EM, Cooper C, Sayer AA. Hertfordshire Cohort Study Group. Diet and its relationship with grip strength in community-dwelling older men and women: the Hertfordshire cohort study. J Am Geriatr Soc 2008;56:84-90.
  • 28. Visser M, Pahor M, Tylavsky F, Kritchevsky SB, Cauley JA, Newman AB, Blunt BA, Harris TB. One- and two-year change in body composition as measured by DXA in a population-based cohort of older men and women. J Appl Physiol (1985) 2003;94:2368-2374.
  • 29. Keevil VL, Luben R, Dalzell N, Hayat S, Sayer AA, Wareham NJ, Khaw KT. Cross-sectional associations between different measures of obesity and muscle strength in men and women in a British cohort study. J Nutr Health Aging 2015;19:3-11.
  • 30. Han JE, Lee JY, Bu SY. The level of serum cholesterol is negatively associated with lean body mass in Korean non-diabetic cancer patients. Clin Nutr Res 2016;5:126-136.
  • 31. Ministry of Health and Welfare. The Korean Nutrition Society. Dietary reference intakes for Koreans 2015. Seoul: The Korean Nutrition Society; 2015.
  • 32. Korea Centers for Disease Control and Prevention. Guidelines for utilization of raw data from the fifth Korea National Health and Nutrition Examination Survey (2010–2012). Cheongwon: Korea Centers for Disease Control and Prevention; 2013.
  • 33. Studenski SA, Peters KW, Alley DE, Cawthon PM, McLean RR, Harris TB, Ferrucci L, Guralnik JM, Fragala MS, Kenny AM, Kiel DP, Kritchevsky SB, Shardell MD, Dam TT, Vassileva MT. The FNIH sarcopenia project: rationale, study description, conference recommendations, and final estimates. J Gerontol A Biol Sci Med Sci 2014;69:547-558.
  • 34. Engeset D, Alsaker E, Ciampi A, Lund E. Dietary patterns and lifestyle factors in the Norwegian EPIC cohort: the Norwegian Women and Cancer (NOWAC) study. Eur J Clin Nutr 2005;59:675-684.
  • 35. Villani A, Wright H, Slater G, Buckley J. A randomised controlled intervention study investigating the efficacy of carotenoid-rich fruits and vegetables and extra-virgin olive oil on attenuating sarcopenic symptomology in overweight and obese older adults during energy intake restriction: protocol paper. BMC Geriatr 2018;18:2.
  • 36. Hashemi R, Motlagh AD, Heshmat R, Esmaillzadeh A, Payab M, Yousefinia M, Siassi F, Pasalar P, Baygi F. Diet and its relationship to sarcopenia in community dwelling Iranian elderly: a cross sectional study. Nutrition 2015;31:97-104.
  • 37. Liese AD, Krebs-Smith SM, Subar AF, George SM, Harmon BE, Neuhouser ML, Boushey CJ, Schap TE, Reedy J. The Dietary Patterns Methods Project: synthesis of findings across cohorts and relevance to dietary guidance. J Nutr 2015;145:393-402.
  • 38. Talegawkar SA, Bandinelli S, Bandeen-Roche K, Chen P, Milaneschi Y, Tanaka T, Semba RD, Guralnik JM, Ferrucci L. A higher adherence to a Mediterranean-style diet is inversely associated with the development of frailty in community-dwelling elderly men and women. J Nutr 2012;142:2161-2166.
  • 39. Kafeshani M, Janghorbani M, Salehi R, Kazemi M, Entezari MH. Dietary approaches to stop hypertension influence on insulin receptor substrate-1gene expression: a randomized controlled clinical trial. J Res Med Sci 2015;20:832-837.
  • 40. Wu F, Wills K, Laslett LL, Oldenburg B, Jones G, Winzenberg T. Associations of dietary patterns with bone mass, muscle strength and balance in a cohort of Australian middle-aged women. Br J Nutr 2017;118:598-606.
  • 41. Ferreira SR, Lerario DD, Gimeno SG, Sanudo A, Franco LJ. Japanese-Brazilian Diabetes Study Group. Obesity and central adiposity in Japanese immigrants: role of the Western dietary pattern. J Epidemiol 2002;12:431-438.
  • 42. Okazaki K, Yazawa D, Goto M, Kamijo YI, Furihata M, Gen-no H, Hamada K, Nose H. Effects of macronutrient intake on thigh muscle mass during home-based walking training in middle-aged and older women. Scand J Med Sci Sports 2013;23:e286-e292.
  • 43. De Filippis F, Pellegrini N, Vannini L, Jeffery IB, La Storia A, Laghi L, Serrazanetti DI, Di Cagno R, Ferrocino I, Lazzi C, Turroni S, Cocolin L, Brigidi P, Neviani E, Gobbetti M, O'Toole PW, Ercolini D. High-level adherence to a Mediterranean diet beneficially impacts the gut microbiota and associated metabolome. Gut 2016;65:1812-1821.
  • 44. Haro C, Rangel-Zúñiga OA, Alcalá-Díaz JF, Gómez-Delgado F, Pérez-Martínez P, Delgado-Lista J, Quintana-Navarro GM, Landa BB, Navas-Cortés JA, Tena-Sempere M, Clemente JC, López-Miranda J, Pérez-Jiménez F, Camargo A. Intestinal microbiota is influenced by gender and body mass index. PLoS One 2016;11:e0154090.

Download Citation

Download a citation file in RIS format that can be imported by all major citation management software, including EndNote, ProCite, RefWorks, and Reference Manager.

Format:

Include:

A Vegetable and Fish Dietary Pattern Is Positively Associated with Skeletal Muscle Mass in Korean Men
Clin Nutr Res. 2019;8(1):1-16.   Published online January 28, 2019
Download Citation

Download a citation file in RIS format that can be imported by all major citation management software, including EndNote, ProCite, RefWorks, and Reference Manager.

Format:
Include:
A Vegetable and Fish Dietary Pattern Is Positively Associated with Skeletal Muscle Mass in Korean Men
Clin Nutr Res. 2019;8(1):1-16.   Published online January 28, 2019
Close

Figure

  • 0
A Vegetable and Fish Dietary Pattern Is Positively Associated with Skeletal Muscle Mass in Korean Men
Image
Figure 1 Flow diagram of subject inclusion and exclusion.KNHANES, Korea National Health and Nutrition Examination Surveys; DXA, dual-energy X-ray absorptiometry; BMI, body mass index; REE, resting energy expenditure; KDRI, Korean dietary reference intake.
A Vegetable and Fish Dietary Pattern Is Positively Associated with Skeletal Muscle Mass in Korean Men
Table 1 Dietary patterns with factor loadings* derived from the amount of food intake

VF, vegetables and fish; FEM, flour, eggs and meat; RK, rice and kimchi.

*Factor loading scores below ± 0.20 are not shown; Labeling of each factor follows the combination of food groups where highest values obtained in Cronbach's coefficient alpha within the factor.

Table 2 Regression coefficients for dietary pattern scores on skeletal muscle mass

Beta coefficient with 95% CI was shown.

VF, vegetables and fish; FEM, flour, eggs and meat; RK, rice and kimchi; CI, confidence interval.

*β (95% CI) was estimated by using a linear-mixed regression analysis without adjustment (Model I) or with adjustment for age and BMI (Model II).

Table 3 Average intake amount (g) of each food group according to the quartile of vegetables and fish pattern scores

Values are presented as mean ± standard error. For men, Q1: factor score < −0.0135, Q2: −0.0135 ≤ factor score < 0.0009, Q3: 0.0009 ≤ factor score < 0.0187, and Q4: 0.0187 ≤ factor score; for women, Q1: factor score < −0.0199, Q2: −0.0199 ≤ factor score < −0.0093, Q3: −0.0093 ≤ factor score < 0.0052, and −Q4: 0.0052 ≤ factor score. The p values are from analysis of variance for assessing the trend of difference among quartiles. Bold letters: Intake amount of foods which compose main food groups in VF pattern.

VF, vegetables and fish.

Table 4 Characteristics of demographic and life style variables according to the quartile of vegetables and fish pattern scores

Values are presented as mean ± standard error or number of frequency (%). For men Q1: factor score < −0.0135, Q2: −0.0135 ≤ factor score < 0.0009, Q3: 0.0009 ≤ factor score < 0.0187, and Q4: 0.0187 ≤ factor score; for women, Q1: factor score < -0.0199, Q2: −0.0199 ≤ factor score < −0.0093, Q3: −0.0093 ≤ factor score < 0.0052, and Q4: 0.0052 ≤ factor score. The p values are from analysis of variance for continuous variables and Rao-Scott chi-square test for categorical variables for assessing the trend of difference among quartiles.

*A serving size of alcohol intake: one cup (50 cc) of soju or one glass of beer (200 cc), “≥ 1–2 serving/d” corresponds to ≥ 2 serving/day for men and ≥ 1.5 servings/day for women, “< 1–2 serving/d” corresponds to < 2 serving/day for men and < 1.5 servings/day for women.

Table 5 Anthropometric and biochemical indicators and energy intake according to the quartiles of vegetables and fish pattern scores

Values are presented as mean ± standard error. Percent intake from total energy intake, for men, Q1: factor score < −0.0135, Q2: −0.0135 ≤ factor score < 0.0009, Q3: 0.0009 ≤ factor score < 0.0187, and Q4: 0.0187 ≤ factor score; for women, Q1: factor score < -0.0199, Q2: −0.0199 ≤ factor score < −0.0093, Q3: −0.0093 ≤ factor score < 0.0052, and Q4: 0.0052 ≤ factor score. The p values are from analysis of variance for assessing the trend of difference among quartiles.

WC, waist circumference; SBP, systolic blood pressure; DBP, diastolic blood pressure; ALM, appendicular lean body mass; SMI, skeletal muscle index.

Table 6 Estimated change of skeletal muscle mass according to the quartile of dietary pattern scores

Beta coefficient with 95% confidence interval was shown. Model I: adjusted for age and body mass index, Model II: Model I + energy intake, Model III: Model II + household income, education, systolic blood pressure for men, Model II + household income, education, systolic blood pressure, waist circumference, total blood triglyceride, total cholesterol for women. For men, Q1: factor score < −0.0135, Q2: −0.0135 ≤ factor score < 0.0009, Q3: 0.0009 ≤ factor score < 0.0187, and Q4: 0.0187 ≤ factor score; for women, Q1: factor score < −0.0199, Q2: −0.0199 ≤ factor score < −0.0093, Q3: −0.0093 ≤ factor score < 0.0052, and Q4: 0.0052 ≤ factor score.

*p < 0.05, p < 0.01, p < 0.001 compared to reference quartile (Q1) within same sex.