Skip to main navigation Skip to main content
  • KSCN
  • E-Submission

CNR : Clinical Nutrition Research

OPEN ACCESS
ABOUT
BROWSE ARTICLES
EDITORIAL POLICIES
FOR CONTRIBUTORS

Articles

Original Article

Food Habits, Dietary Intake, and Body Composition in Children with Cerebral Palsy

Clinical Nutrition Research 2018;7(4):266-275.
Published online: October 29, 2018

Department of Food and Nutrition, Changwon National University, Changwon, 51140, Korea.JFIFddDuckydqhttp://ns.adobe.com/xap/1.0/ Adobed     ! 1AQa"q 2#w8B36v7XRr$9bCt%u&Ws'(xy4T5fH  !1AQaq"2B Rbr#u67Ѳ3sTt5v8Sc$4ĂCÔ%UӅFV ?_Aנj- H>>,m*>fzp"TrKkr^r.|_&]|*vPuܶvoQ1mwVJUhu-I"=LniAƕ8"۲ k*ҿ[yu:.vUQ+)%F DHyVBk>Hy8jݹ q~9D4KRmzQ)^ʔ.J%k_tVi5NTjg!'ky|5asOȻ)R۸ߩFMԿ3L4j6dڜ#NIwUF]JqB/(FafJRzq3\G՛ ?~\ 6)6W4m[O^L0E&rRMض*C .]Unl-1 1r#Rj/&QɈ׉˩s6Rj=5Tg.y.·Pӡ:JJS:C8-2u]d&vUz;7p9 5VnL֢"y)">iי(IDDd| Yj0; LRfS:ktYK%*N2^m|&dğth":ey)uPQZW)gcC3Pv&MMWd&Ŵ۲mvTRoժM03*F3Yd6\8,\hݻ kߔi<k NTwSԪmljj[>->ptU%'LR>&EBH$MQAUx[$Z6vi&_a.KIQ{hyƒ j"JOC9eFҝfj;˚Ω<[3_m% lQ@4g=5$(J]Yc-OMq<Ǎ wSzڗ)k$7VIP붾ͯnV+卵*t]iЎD31~SA1éC2u)ʼnQn-Uoi3:grI8ؓWm*G zܕ)ZקJ}Y YlGeJ6cB2I NS3Q>k=KTBT]W6+SOXQgGR? telˊ%-Re\hѯ2TF"C/OJΩ6r[N.0{SpljjX1“jOsӥ;ҭhe}xu`Ք&.)yO̒ Fߑ.$Qw;9Iw2o+RVJMSOj[SoҌZ%;`d$blQ{Ro{Imڌ>3egf\O֝Uzx"䢸g+mv%Gʆ:|V[N'&ס-ޝ'kfE|K,G&˳98Juin/\\Qݿ̋v~Ǩ!rtWU d|E߫R4d}.qPw*Ӭv5YEcn~f5c%MTMkb-F>5JT,})QHg%{("ӔȸWMsYyWNRrkkJr0XドnͫT}r-jj,Ŕʍ\Q2Ri>v$5!]"JB2WɅ)]VԜUc8i|.jeRO6^V.¸ Q&#|ܶ-*uOG%JAtRZRr]FFG\۩w+?'zչSѧt jz>KW&ot{7P&2D;&\\>Q2JzܗAKSfeNn[jRrԕf6,q,F1tRfԗ>vֶևj-&R'Zi2=xv~Elbsvm8=ӛ"ū񕜈BȩlWau[]ٷBߨF~J!|Ipr3R̴#Yp)={7:G{+:\W}n|Q#%)7^-h"Ƒq:M*%J&$T軨I333׎g_- ucBwwjp[6i25$̏bU’ٱRv?G\~#Iͪb7<<}Ezt" q_Inw,7-d,G÷%T* Wg1"䥱kq/A.,_KhqŒxwvo u2ۥۧ.bQ}XκA$֣ +K״ZUNmڸII{.v{5z5ѮRme[moyƾd~cRݾK'j.\i&/S6f|b=5: p!6i_ 4j6=.si˧eƾtS^c.Y^RJVS-Vi3,esi08?H$GvZgg?gi䤟2adw릿:"۪lkSN>q-4kI܋ێe̊qۅgDoѨ9; #T.Q;7#~_Ufstb_'w~Xw1Xk,vcOt._}v}8"(4Z\ۘgk?J?bm_c!g{HZV]Fkk%~gEt)b秴vΰB|꽸}mp~E6ݹv;7P٤v+ri*3Ԣ|'O14_~7nP{7ZU\Vű[ +7󖱅o#:ǥŬ\|3r%TJX]V7ez¨Y]lc|O3V! R zbJ'PnGqVJ"19WVeOF埜EaEJωqCN5Z g-9[S<$sUK5b|7sn\7x qmv##FF\ w[=-43$^ooVSiXօv7iB۴yg>]Vf"r$J3""32!Zh[K%7GvNLs+4nB/B{vlsobJaҺJR:0g%&zR\ S3T[&ִor*ⷳc3ʊO[iozW٨%$gn:ܶWwFBԹjHP&z u&F2\f;ipW73 [; '_̽b;vib!oec dC-tS__$Xs]l9&z$2/N>%'[}b{h/{`{Ji׉׏ YJB/X%}.|+{(S:qz]4_Kѵo`^tY_4S#* ^zvݾMr+TrkQ g.8Ͽ^i>ӈǙvix>$o( ^qt*&t1oJVu-ql5U6jCЉmĻ*"?JT=K'O/|=Vo}l0b}}f?X[?/\JSBe,kP8ETJ==?.p5ފgbU9}ǶdNKk—_$8̸͓ۍ8Di\BԿ-1v{FF]|.^ۅ{vl12׏z7-R7wE?\nh\jN/Kձr_oBw"N QMBZqe-m:ӨSn6j4%!hQ;sv'm4kcM=!8\m[M4{SMliۇ%eֽR&N:{2A8)THLK3Zj[jPBx#BگMf:G1\`edcʮ?|w(-̮vXt,bW2;.ιNHRR#YwTM"<;mk\.foIDjmlJ;vxy7o7i\,KQŊ9d^Mmgc L*.T6tLeIuOH3SJQ3=F/ʿ<9\JM6mN6=<{xkP!F1QR[I$6ُimXu2An2yԒMU q f[IB-'䤯jYm52&JG\zд\~vdg QtHGXw&1Lw+nDEdC1w|YJmvP)HZ>i0BPβә?R:QO["]I_Jʏۍ>QKyu^bycBq4lXF~l [\*N>-J6,Gq(Zr5h]CwYӤU~ʶߑ u*SIv%ZfJ7)! FS*s_\|IŸZ)J ]ܜi4"z[+Z,MOZ))}|Ʀ(RUNIII.S'ˍO~˨rn}M)xxӕ0 eyҵ7YMAB]ӣU:/ѭ*6bcwP͵ "+qēVjŹO|GtY4V j[mLV M -m>",B$ GD1~j6O4|LxnNmqATNR3ε|DŽa[fmn-ڭ+FiK7Pcm;r5 l8r{#-]'nrFh2ruycb;pW=njRqRJ(d mnpckNnʹ+6]tz~E=ʕ l ZZ5jSi3#47.Lcfe`9؏v囜.F\-UZ:*0_<Νu9Lӵm&)_3\^ҹ3"1n1v_|uRʞͫr'iȧN_kH׺8xXrj=\МH)V\ˬ.Xʸ oVRC}ySU9/OBY먌5 ٿwޞ)rw8Ӫi5*5ZΗcGƱ !ZۄlmpjJ -l <R̵/JAպZuq\IdUS 48wXJJtcg4cI~aqߓwŷrm-v)G7yS^7H^-\mŌAq|"m9IBnF㏉9[N+mmy/!KKۉ%n +BdddfFF6FQRN-U5;Sv'm4kcM=Mn)\qιqUd9F%",6MGdT%-+~ f%+y֛^3SrF>6lc(֪vۊN;g._0Sѧ]ETWرkQKzGe9ʨsKA"yC y2\[5 rԭ7Gk5Mzw_4sM3hxЊ'oÍ5jsub )ͪ~tR2H]R͍>̋m6=%(˿(Wrr-܅y5(ܔJ޺YunW̹븹NsqK ]/QR#"ZMDfD|43Qw|._ԡSqTZBg??O Ϥ)/E_U|i}2 9Z?¹0:x'3,whǣ?C y-A~=daJј&M?D1_PS+Oi&;a @;Dž7[ zZC"bv:jjMQk$M RԸ3uA\=wI.AwC"^.{?-\NSiˏ"b}T/}q/ o.1M}R%:-ZniʒL$SgrBW*,Mw'N\ɇ{s\j]VryG'8f`}'N<*/`U숻z CwHq18J+vԕKss4R53/&XTt1bZƟo\=%nO)h$rBi-nKĪ^ ջڜlwkYm[̑+/QrZo%TQ;TLs($2C:s.%+eoNttq۰kK7O0m_t_pZ1SsSM7"mevFZ[w -FJ*T*jФQRg BSu|]g:ɵzjqwmltL.e3sRMچkSmjkmWœިm++¦'tILk*բQ D,PB\lI[9{%Gb R6öۍmX-MaʉA931cs..G4CujQտ[9 }G-xwl)IQz j Ó"rqe&=]꾧֎c)<kӳ+0JrRR3'TnXi^xMF Bު*tIL.[h"2"nKzZe'ZV/RrNYz]8죝n]Ķܩ>^Ժ]u-7^\mZjܣ9+Rmn ߑv?oꋘ?&ƪy^N4o=3-ؔ̿*`}V݁ ƒPu8%$ ݗ]wt;\y\>='OjPIp/nJU8{϶FNMsf"ίNqƹ(+ ݮF2Km |jܴZs%zf*eȫ?]4)I۵nR&FX + [jDh(#哑9q9Eծj8noǕZf\J-l&Z˫}`ӎhyrΉn\űn]9pʌӣ"׮Wt?N4_I_~54#/my1Xr*척aS#DT >q ssΛW;3oUaJSRMDgQnt:Ql,/ ܷfRqiM Ȼ>Cob;A>ڦWقM9X~/!'MW.}Vrߔꔵ!5|iB(0-zF=}okڢE$^wW~nokY߮\6՜̌{i-AF*9)\t9IV6۸5ZUF6R$ŨQIq砳YUZ]eyv >hI櫥N )&l JulwE1GDOuFN2| }馥uC1rޫV+^gdb&W[4<^e4YW,d|htͮsUM)۸8:{3d{AѢ)~ \#J=NdƮꮓ90 |1K$v*?мS ]i$J,C,SG?/_՜pMSƯM|mG1V1$~K>CSvkuj=&) -,yLjuFHK{c駗.SOua;BrSqj-ۍZ#'Jys7[g2z/.u4+XV2VQ.ޕ)$"(%)#Z7suZ%j }BǬݕe)Jvz8zJf:hIN|svO1O#IEcۍjݽ:SdὮvu^@:o^5cs>i/VqmVm]ؔܢn6'vޑ̗J4Wn@OlKbX ;n:hgJ9ŻyǑz8f܌q&Y fN0N;[69 rbׅC2/#kE l&2~èMR.*%g=Ft.%؝e8<.e=Uv{~㻏"EˑnvDѭ͜Lu3u0:U֝$[M5<:oi+V4V9 6nXvx&_ q Qqw3W:uϔ2yb/(ɳ|5zQiJ#r|Hw#.W?4aDŲ\ugWG;Cw鐢K|xg)##=O.dF˟jMUvWĻsr.z]kPc9"]R)mkfOd*uYf١RsB Aîh=k]ʳUrrZsq`d#r$/Ը3o^&lRWȍyuW̦Y4QDUMJ65ƒ[+ygk XK_±k#y:8(TJOSQhJt2.DR}"5[) r)6V6u5k:eXZmv𭤔!푊Q[qQ}ҹLE- 8qIZG|UM4j}Mܕ[Vwm{} Naqµ"ԈM zOpKѰ?IAD3Ir0'/q1itoB5{%wkOBn-ۜduqIzYK60{+DʕܞqIt";r1mG/\/ym[6JƫR \L=S=OT@Ix[TMm{>ݾտ֒ݸӉLYIx>+"JVNzx||5rI?C{oz8۹e\R-^\A2F R+N9 vlT]"ۭ d)t֞i #E2jB@׵=#/N+!ĕhx}I!cM`ąZ*ŻɄҒ߮Y.Z}='/oۙ3IpW̮hT7cTSuz9>B}΄&h!>lӵn~j˅IvU.'v'CSZw8QK3G> ,J59ٷ+HSg䧎hJdzvwv-cvxS5[̊n~ؿ%ַX?O0\6ne 6kn9.ϯ} *h 8_QhLݣ7q +=XBҲ5?[[)+F`=4 }B,sNg==u*Nj9k_GJ)+R~GSPBȒZ:(K]heL=vKPӢwq(NrG^ثϣ?#tC?.ͼ[ۅo؞y#%ǛjVyLSw%T*s92JTM%"YkQО.q)gCͲn8cgi6j1MѾ[{9h^vƘǚםidfi.^RHmg&rׇz:}݃}xT$ضk'5s-狶,\vpbPD،=Okf.c#cdz2FK5T!&)|ntD<+OŹU i-G[EE*FDfeaf2QƤM\UG_{ǹm%\yrGy:.\4wjPGUJޕUV7Do\7Vy_13w;[?c]H\$IJ,*L]3b%L{y.JRKG2sq,B6T}(#nW|km+q5] r㪍bJ@y{byz,b踊3ϻJ,'^xd،)JVw#.Vټc''ÝպWtbRؒJz۠8!o9IۄS95E9ؔ-e9JR{dmnッ<[~n${~Њ$W?&ՐY_? #a.ߑv?oꋘ?&ơ|y^N4o=3t=~7!/M3>n8W홎2M`Qx+ z qy8%]7_~540ۦ彷]Wq CѡwkďyF5Dum_}~P(5.(X,K9vᯐ?leB9;Jhm#3{CxGE-S{;@Fz˙]=O'!ɿ]' r`:7'2bЖ>Iy,/eTy/V<.H?UYY{\^#ѣr9^7?xoRȆ7EoS_&??zϾM?(~Q-K&>"~aߨ t7Emsϛ+?;fCr)fY+>z$tIkjn_>vnrֳki-˹l= t;'EyC¥|/BLwBJdgjۛ$s S1|ɍV%JI6KvəhzIlBYɒ|0"Sy0F>eo5W)O+X˻u';v)2vVq۳kۮws?UʑBǴYO漪e2MIjPAک\b1)DDؚKm6ZWΨgȕ۶yjڳ 2ضN[C[|r@9Jfo<_eI7q.|cÊV߷:i.:$ȋ)1%%)ADZCEBxJ0MJۥy(bNsKM9k43IwNt.\%N簤I'.j|ƃ2$grBEٌ\}9:v*!n7M(ɽ]7c@XxƱԨ37īf62cTTfFK]9wntQHͮvٱI/f|j=7}\_V5U^+:uljSȃY(XI.ȱmo1甅jڎIZ2>#\*:gY|4k\8ZwSqtyA!+];бޞKծË¥e)#5ap.QK^8VdU{*ѽL\=qmjnB5>{ Ӟ`v±5 ^k&O~Oshɷ,;6nOW>u6{RqS`)S%jp\ipdEBLfTWy$GIYw~䲭J.1vSY5z.V>^+Ǎvc.I[R{QsNR3ӎfhd>y?UJ*}~[e\i5U^͛E]G_FS(Iɿ]i8:4zj~շsW,ˆsy:%O}iur]iF5~3M:Ӟ#N06)4ߧgdawIotiz:1r5YDZLHBSi;NQc44la=Y kQIT*ըl:tq2(է9VO4뒳܂~2rq'nrVZŦ[t7\oլfb/mlpc.I8콚q^1iE~䰳mi[dۧw֤ICfdFeCsg:i| 6擣׋* 96lust^{%99UNRvaMܽo ammi$em4D6DD\nA%$$#}۷/ݕr99JMն[oT޲E"KTaP+HGkŴj5TM5xƱOS-k`ۛkٝWz;{kS}F;~q|~^_|euwnE'pSupUP)V]vE+t =ZRaVdG6= *.ϼnj9:UɷbېmF_tޫgHjVS'śǕًdkkѻ_]Kv?nT>)^e=Ar1'3ԔILyD?:-^in):{7.؂\.:V }#뺾.3r̸*xbFM aȵz 6SQ:ײj[ 8nn iFMw rR"5M5I旘35f^j='j:nNW.ʭocZvZKV^ɚJ.cM1ZI7E'6rg탸5oZ=[m Z`\hbMUR١Ȗĉ):Jin!_7Dй+f̷eKҷvͨBPR(V`y6tw*MRΝcB.ڭTnc;P$8nFvm4(D(R#R-L -2:FP lxZKQc6I("Km%$E, 78uXIFA$RQI$JbInG]c[ֹ:ZM+n^')JmJMJRu{e)7jQDw~%yQl}BZujSSf۩QZ+Dzhd5o%BIc'GZ?}΍:>Ɵivז-%݌J5MqGWTVʦh݇ܟ~Օ_6 n'{3~mϬj'J11OȻn߃r Qr\3y٘+WӍ'WxEs^O3 o~[|7>]]H9݇ZomT@]?5B:Z߂'`V_+/MSKX߆ޠk3?o7y:4R/7þ] iG߬aBRU&?r&/} cQߥGj2?C5Yśe7hU=?+ x龳f-܈czW^7p%-(\D4h{UK&ӡn^m]Fݢ:`δvj俜F+) y[{{ 7 tu>gvrěOj'5 iRg[ͶFjGe n~qT$ci ۚ0oԹc*jL[sVWqj\ݻ&6"WoK:cnWmrv)o>66(F>=W^bf#c zzʞtپy%mՉPël e}J.\Zk4ttt>oEM=q)hJjI=ͥ(%]脼_88ф;͛gWG;Cw~˘$4=uWdĜTثNDkiQL9U*O"4XP`02,Ge-k5$h>ܼ]3vr6!9RQPIVSnM(ۓ{>;/Qͱv{3&-[rc)ܚI$n{Sv3[j00)-D3z}MRzVQпj,T[uVs0\}Sid;r(ݝJ>æʺL&c[jPK0~d(FKÝW\m]GTcF|Iׁ)I3~#oX%vҦEݑؼ5Żv2qAZTE^..M{ʐfȏ2##.R}*KʛZz^ӞN*lPťLf\G6[WVQquV]XAi)5J!,$iJ6o$tPZc;Kjx_n3`qIelV~vLy{fn匋Ѿn%;zV.n'-ұdd2߽1bZksPe3TI9)$ԩIN9Vơ\=2885N\ p)/a柛w9g_lױo8ݷ iixJV& ғRi{N^_oAŮE6Y7I$Nk$|Q)-*4Z)^¸%4Qm [I%.c-OV+C֧R#%ѨCe3i;w$G+_dy| Fzj$DI(=OA gj%v/]8qԯNIS*֩',Q%\44ZZ%D|Ǧʴ6&vֵI$%8(ԬƾS&#Z. }6z?b/|Jl{ץv&mpx4Z$”ڝ4-H%dGKfM:sKSRWeJAn]>s6应-W9'H]'uȫYvgK^\czp|My\鏩w/ËQ.)]\QiS`8uL뚛̸=J"ܻi\å'-)54Ue]:K\퓡vK xwBqrH\*֕TnzC.mT=t-H]SČ~Nu╏NÅ3f|͡G~B+Xm[Q7U{9"~jgK Zoʰ7"qJ,ekSeNGgϳ] ^.6:s}_,%eRg<5⿨z{ZPun#jRІ.6g T.!]xa c#jN$Zpl̋H WZu8WmMRýsĮ?Mco~sx TU҆Q :KDG4n42.<3/'^?6/ܠڒ^yrrÿr2\D}}B]^E~^T cɛ7϶Y[<֞[7d}2%QPqOLEQR\CIsj1?\}%tJ0e~ *sk"*)&ۓEi#{1J8Hrt|'ܝRr8)=ƔN'RVz:cf]F7bZyZUȘ4x8,#JG̒?.W9XnO]KO]%]ƻ O5Γ/3qÓj؍/r̺rƵ 5\&m6h.xoeX[=<3%< lZ"2h\Z[&jW3ejm?k&[]ųj+{N{66leu_+lj]q* 7g*knأYv= q ەdxЬZ|%GUrQ3jLŒqET]1% qkXYūYc[7Ś]QY\jko\</Lc7+'hMSUc6qXyؙ~6#ѯv.0$BQi5YyIhɍiy=KD!n3Vm[V%W-B%swa97ajۗ m+9~]fKq|Ddaˑ0A]_v޺mM5* F-BYHJ5}q>ʉ.6hyDmpD׬'-_v5;5[8K[viJ.3dR:oYHHh9I7:۽fi+wm^ [)odPѱ52CZUJicSw\&_s0uBȍh32džzQflcd^m|7GѹE!fO5]]H9݇ZomT@]?5B:Z߂'`V_+/MSKX߆ޠk3?o7y:4R/7þ] iG߬aBRU&?r&/} cQߥGj2?C5Yśe7hU=?+ x龳f-܈czW^7p%5|Y:SJE\U-(a_cƣUǽXXKiȞNlmۊڭڄR!**ܤMeȽ$|X5(Ź\rJ~ܮ]>'HB0cp XFr_c?f?7<ukSgov¥iG>>䙗i.+t+bOjIܶ . i^:nm}s}(3>NZ$2Qg([".>i.ƾ)B̋M8+"- >eE6DݥJnJˣt׻ 5.˅nJGwZD~!i۶a,Db3ZQ3O#KO5/֍ozuK'GbRi᝘NV_ҝcvם ZoX}F6z 7e5_e:ۓj=AB+iܔERadMBq*ԯ DwI/Gy*mĥiRKg6skY/#SN4e$-yXM YL?^ĸNNӪ{$r1JJRSLO]Aqm>V/s[~i/j+m>z}eI"Qvp]{ZԼ:{vPAG2=T͡@ڐ#u"E*>C;o$~C#_d/HBq^YRٽzIKbOm\~żjFFGdiQ(*/i*#.FF]©m=BmpQQQSP&Ҫ!T&^>:y)$ˑÐFčI Bӡ-t!bM WҦŶ'UZ=}zvn~oT/\ǒ'nr8 AJIӆz<^uߖ4eFC1i+v!3qNyߕni?4JZlmYFXFۼO0B\m[ tʄU3s"Sr(NJ;SKW72L4̏BVdf^Ҹj\]ȱ۪(ӷm?J-KEmWڽ^4<8qu%9pŹW~877ܾeVгS(յe^C]yX͹! םm4FGȋ\y'Z FX7e)|Gjt߹#gb\ŧq_([R8[qU$Z (ʻezV2V!iQ,i$JE˂٩ a(GK'O{vnBvryRd-RK4=qxZJMl_CuuIz @Rt㮽޳!|68\-l[џ84-2Pu" RJ_^OL>G1~XnBŬw6J0*Uvlږ1N G1q9IUm*'oWu][&UyYZbBZRZNfEJf"+2nF~Eû7n1xv.RUM$6 lAxSQJ&n5ܞwlEói"#>4׿Q.nEq7Oko[1wg8ZQwZYiqtm&~">Bo?w͡ni2峋NCEy Ҕ+%ZJ ʩq*fpˤl,~^Mχk1+:ݕ z&Y`KLӪУDr3[*Z :(SL&ݻ۬Vqsyԭs x|iI߽zZrg.:mp%6ԜvgmpIUt;QbS.Է) ǨKSV,*lڌ|5Jt3#NP.=+OZ~/G سIgbꥹJnl_DUM\iM!֔wVZuԺ,yV.Q>f v:݇WiaŸN5Ҕ[M7SsrvǣrMW= \8ZW-jsnڕ.ZnF2qt ً[ٻޘY۷Zm"Jxr&NAfA-݌to9s359݆mZ+N1-qS$D=17 x׵+%_ ve4ir6Z$FDڗnFtOr'7'{9C˨ꤡaYoace{Refnft RR"4%ʌm:Sj3)OdInTO>X'vxV#jܮw9Fog;5.~Y5\~18YQܹvj4+~t7S ﬕs %^۵ڴDZV69R^Y+rj$ԇoJKR5wB9C>Y:l+EǎS{ʲ{T6Wi* ^^9k/y/Cs\g*qڵgn4T8mERr|Ti+iPe;;.i\EBEJ 丬i9ɧM-ԼsGDrZ>r#R>~X9y4b棇9JwV۔%m(b[Tjvl}۩~nDԺ{Zo-YuK1vx.nWuO+jN [ٮ0%"΢CdTJK-RަH"$I(*ve &҉FzB,_Vpqp9m8werv')E;o&QE׵^d9˦j\_,ڵugZȻ̧8k+jK{wmr@3ӭ2 wFkzFVqs1؛.v'I%$[iT]D5Dl2 nk7qUxԫLS+sا3/ΖeZYK<["%-g/kRs:f3;*E ت wJ%)5&+&rw*霣i|sMҴ|;R+fm䡩.!**dӶ-6s6,]zAXMWjmnz%SJߴm2UXw7MQ%<!tKys#P,W>s;3IYwx<+i_\\\U6 u7P|xbn_k&ӓVOe䦒 VUr,-㘘"-LZeOSҠթrEvq8Kf%5%&K"#%vD/.ZYYŏ+p$nZkvއuW9㓱Z G wYIFyf)?ƎUm5ԉ/'k84{KO:rQI}XRuԪ|*lu)3qZ[mSm5R3".Xcَ5c®ࢫI*۳~wRϿQWޝ(EJrri&ۥ^ʶ齲Im|[yb;mnm֩uiܘq>E+Ikx߄3r33-5𹻖09ϖ9[Tz~mr5NsWl$oPusޛ^{Z;);sڹf\3oٹZmԉ/'k84{NO:rQIBø8Bݱ3n֤DiK4u& ofSȒܩx<˘|N0Fչ]qsp"}! QWw@t4ӭ+cO5%]'*{eM߲DRO1y*q8w++e!c߶ܪlZWّM欼 CQ̼빶lX{vib/V/ ai;x6~]+z]MWB>re-:lgk}պ!#9?%܋V-c[z!W?c7YNm/jRr[HOzԻefճ0q15Zp#rkQQ0tU-AmڵP/cȕ?0cZYj;:0ZM=D6g ?'UN+ձ[K ܖB2'xq9{|۫N0ku 7xaj;n\ 2[VznMlWiKbSk))f..)Km)&bGZ=>OR܍W:j'rM'wYz&/鶧{Sʵb"vջq[I-ՌZH._x*BagC'T(Q:$ͳQcMCKy?3g'ߝqnT);qs #ؤZ}OOI:cfnc8W~qy.;^pVl]Hԓ>^H^@7-AA܃nmL(uWܻS߿ Td95Bdh4t6*dDh!EhI[iŨ\L.&Nc ܮf^;$R)\rip9I|ٺ?#R.ZDZ;/]nݻqs\QE9M&Bd ]N mN*D>tgbK>+ˏ.!23]BȔR1ɝ^j'k2ƮqBQq[$di]icV/e`޵B.FIIJqbi>Ӥ|p; 6${)RU>_e}^dzdfzi %ekRVUS?6'hׂ)5.\+qUgzE2C˷ecŏ^֔ibk shesFWJ#~> Wk~ݨ}ڶ>ơǚ)׽ZƉo~B-ڼrvoE:Ʃ3ۣK7+Y`WirS):{>ڛ}:wԨ(J_";6R%[u&ƫdZ_\'np| RJwNeTW,=rrbnkڄ[M3ܴz)3- R.?:okۼ0TU'w{6&w7j1z3ON'fGoO?)S_bQ_¿R(^ԴԴG.EtMڇ&RUiW uQjU> Kiu1d<ѥIQ'RQ1:O/lŗᏩiʂv&Jc{D5 Tt)1.n[n۶X}RjqnOʽ(~[Ns{ސ⛌uO,kgo֢dRNQȄ .'6W!׌P朼tdZjFGE"]K@'i۪N;sI[{SOzk>`rRR+!σj8&TjlvA̷Q?HyjyLHNտJMjܶT۽lG?SnKN%<‘ nq[N0Sq[Ta(&t(|HGO~gvkݻTR4&Z$#ViOY1r$6YF?e4U/Mvxų:zbU^gQQ+NW_'4jfz^c'#`rvrڡ(IJ/J ݦ6 ]-CW |_{v*_q3^DZ}Ic6Uڌ8p7{crZq5ki`)mU6|-Z5^iEz3P=:Cu7DF'k%}<C-޹ֲ̱#\,(f88%X-N(ck0VLR~} G"-8ӏ/ϰKq?(#nrVTmZ;zióM4 m |UT'C^_1X.gXM{%ʤd 4\ovN":"y-,T)fLQgۢr=/CƹǨJVr[a+!rT|%Y\ٱzsS>jͱ.oOc6f$q% ǒGo;n[];ߎjrk{~\VۓNIGn:iqxo |~t5)Rxעri{Vi&NUOl_ѮMfsޕkЄay.0P{7N((BaIP$ K"U6Gl ݙqJRu+qN$ m#*p<|{:>-Ev=86N*MM긭U*uѾ?/^o7;'u,h4݌xښRM:5.(/ \իU.{F^rmF-Jɷ.>Q"[4xT^OZ~mK}T0ݛ^SAo9u?lX(' qj%=X}"^e4wˠ|rܫ 6I\Ķ;Ӻw!'ڍWg{ i U_9Avhۣƾ+:vs/MK[ɭīe{`Zgb}r[i'GE2J7Nez579wRq+Un ]J.cJ4M:h箽Wxxm^ pc\wcN%'My $$| :$Fqɏ¾^қP9J6Wxvu}ݵP>Z'FFdg"-; [¢cmWkÎT8nG%ݣ7*\խCLRYZͤiD&J#'ehbSyXK|y*ӞpS̍R`[pTr/Eg)K+92{_ n3zwz'oŸۤ+sOj J:`T>Cf*lwd\fYOP"R E֢̔L4ɥ :;.b(B02rJ蠟9>V'9M%)IqnhP<%,r'P/vNSwr#w"ݨaqc(|{kd=^0jTMR2ULNz|.<|^PfY22##!,K~E BEJۜ&jRNsHަޛg\r,v؜.jK3)[EJ2ii{KEiHP^&]Gn8x=K}Wx/KI9-ϵwQ%spܾ[^R}S3$qvq8M[ ozKxcqmJ/ӿ{_}7&ݨ\f6ZSyQz& 7ۉ[8~UNn|nkiTB+4RI8'Nc%tn{!]Ȋo.nEmʱn𵵥J A+wy#+ikǒڂ;՛s85'KmE:Ђu""Iģ5p=БbTY-ͽڔ詻ngL2Q}$de# fs^o{DUUsfwӶ;s1T,ǤtޒQ\෼J=.tKU,7čJ5 N$y3kdSMQU~mO[03 $zAڟsF5^뜞"Կ QHmrR"ӳηer+ҔZ]hE-6Jmt'ޒ=O[sQj)6K}?e4v_KfZheޓ=BV[bY}lݒTTЬ{ȫvO_qpRApVŗ 6ju=*BR)g "O1yhb=tqJ gtm\b3RY+JQ^Ō֍\յ\>+uSi{=x ^w;uӘ#ĸzLn*$anok߷CBӷ}5Yqvdž<( "_OWit5:EZj2 B ρ1̊fi[n!HQF82q1牙nqnEpT(2RMoM4ϳOu ':֧_Xjsg jP^(ڙ{2%E͖j^}ZU[Q$'U) <܂%!s"m R'G5M0<+zM6qYm$ڕ$3ǧH]?o2N<8F1̻r_my[Rf59NjpzBnl7*{.QP 3N&^BLJPjAHCK2Q}$#~YMq8 k(MFMU)8MEqTy+Tʞ-ar5yܕOXw!e;q-Jqܶ䓊Y:LC UE{/t>r"lI9)3KJjϤA 6SEE$d߇3KG*En|P\ԭTn6I-ƍKTj<1H_zwGr19wF N8ݝ+a9ɫM6mhePi%mmD! """"""*1bRKrD"vnrM۫mmĽm]ӡiG~e"˩ lhRTMk^MX["Jݱk7_ޕ*DqĒ&flՒ}`W}~SմZ{ĕ~wm*/{{ѹ_-0ط#P]xlڱ~Tn5wi*lڪ (JxioϏbqKYR|!|KN53 OS222$jzww%i}>N)E+rۥ7c$Ofl/LNث\6H9: FY󡈾I)fB֔JI_ ֣^: 9mY{66㒢7Uj]:.-os[R&gMF3˸#໹kmjq^8W"PΦURjʄWa˧T!͋ lW48JB2ko+ /Nw QwQzQ ے%$ޓ7^YL|r7!v%Trܥ &|M8~ybrn[RV gSn{{*#2#ԽᢏӴHak" ӌcwҜw&RJ07ױ>Ļ =^ BɆ)v32.M1=#6%̠tҤnzqMwԣ~s*%-j|_m*.Yx9Sz=)qE4 3pk+,`=kNRڥ=B=nŔNAx)Q$ԩȧ4z3t#Z2lҮYn$S%y- JzGpu|LBV7ZW#;Wwipܷ%(6jFG5#{$D"uۭ~]֫SrD܃fҎӾ+Tu>-ZTQ& N|$沸ii>eRWݳu'[O̻j8JۻEѩ[]vni= ڒ,[_%kC7I3Nv$4ɎЈeٸoUu:[}Do5|zNq=Tre%ɧ6&~DȍF]ƞG5q m]/w/ \ʲr8=oʔe9U(W"|S]uZd#?Se[W"ֿh][-7Nu:T=)R}.;ml*5Dlf $fF(̏T hiIUU4Szɕ t(%_|2 ~6eM;TƗK[f&]LK^CE2[ȏBOd;Mi|cx,^6;sیGpQ\NuJIFTJ~đArh* B"$H쉩eXPRj?sl"ԥ)su]xpԴY%VESH"ЋJǰ K&5^Ukzׄ8kEgS2h&Se\ Yl]WҶp-ZUvi7QS:4byqOo+[̺腋[6-_Fo.6[7$p&^ _GZԸߍkc.qqoI[9m߸YxOZЦ1uoiSH)P9Uʄjcq= S>֙NeR><;+ڌk%_qT].srNO?s[=vH[]RZHRMtᩗVؾ:/~u)ԍdg%=edVrISb{6vSu=(ܥ)mTv/J}̇8 S3ad:^hBSf؉OɔLhI_1d8,L><_A0y3rXq"'(۱;mFNII.v5_(^q~X>y{3צ I*Vܛv/jW' T'NR'j%ꔩ:mJ3SB}΋!-H-RJBТQoedi9tjENenPpke.%4]#{:>mkEɱdYWl\\\'nRM4&U>?Ќˉk÷!𴪛]]5}UqG~ݏI"O~s6(Ļ)qO~h}uԕd}Q~G,oE!&G&/]_H-O=o{k\̭bkv.Ô܈+;arZx)m?M\3lU$mk-CFXjTv6u' g:Vn_*qk:VC A%'4JV%EY)#BғO4<e׿jQQ]yUr4=wm[K1r׵%Iũ-O}|kC;/VcݩWZ)EHdžTru]8hgĵ-;=>U_ InvTm_jBM+QiF"9*{DI/iuo(=TzϖmPQl_v4z>T*ȴ>YF;ε\t]EH4ꌇ[VrLzef 2T^V>g2~kg5~Nק;{~Z~W}&ŒBӿS2$J?~(Yœ"˲ߩ\O]: J׉ښT{mmIѩn3˧)4LdFZ/zUG>U> n 5& ϴ-KJi2o]uKljvK3$bԔҚV旧iY5.ίfi96v7!v))FJM4{jG~Jt/lUE%pTAFe4qQk\ve۽/u/Im+W')v{\-E|Pms7߮DZRr۞/mu*1ՙaB܆ -xg3#6ۥtRogʌU)׎]ZҞNnŞr}F1Nnޞ;cZ{N}ۿMiuxʉ*3qi'9KHQ$WJxXyرŔe~[v5~/jN9Q4o6rJv FrdxM*iRjMzUinHdн7ᾞS=S'7 } ̽zt7K|_g J=Lq+/Bw_\ۧx\HJUPzQ<hqF[V0x==CsU7q|^ {)Iq38$_A(VgcKu06Ƅ"%i~_ˉk QCܣB8Ku/񋇵u([w}$F|8TՠI.E !;RJ^}MɒD_q2];Ɖ{5}*n7nEInO{Mwv}&q+v [V}Ĝ@%>#dXQ$f;iep.GquixVt x6bj͵mlKقQ[T]zs/&yەnM'W}!Fp_d^Tu N{ɻ'l{խ2.sTu{W^H&;1s)Pӛ6>$mě;Łnj= fLT)>׸+qReɴ[UR\L*P/!$Ӊ3Q 'K=m~6XqW3^W+ųO_[F$rR*u"T%@O +%# ]˽!aܽz{ͷvQh쩎]hGތ5ɇ*DzJDRNLi 4:{~2FmXY-zzĽ^f=]uū{/+&c:Ma{ĝDp2m܍kHș/(--m_vݮK(V{R}.k&yƴ7i^4@3f sK3^Ř˸B=]?gt5KbZB<e;kQLpxuWC}n 5ҴepB##~q= `x]KWF {GfŲ}?G.I9pjWkU]>={7q{kO/^I3==f1ɏ%nnʫ/Zu_yXN<57ۍ'vy/"8넭M2eԷ&Y,в33%IkjMr7xf nmQkX4踼>a-GcIeތw&U=-:qnW)z¥j :WqSZvԒ#j"KrIU)%qrmRoDGQ~SYRsu*V)  ,/x)MFD6O#]z 96[Ui(JRfw'y$GeUީkdMF-ݻ98F2d[o{Rn0n-xsV6Dh|Eb2E:KCOӪv4SJCr"J!!m,hRLD| ZYFm/X~ΧfrN&4Ƒ=Z9Mh.Mܵw/BdrܥniŪ8ɧ|y%œ[M=_tj?F!z5\evM:\ ~F-sg钬OWq“iiȍ<Gi%%n2rqͻllƑ)okw7}\Uk-:&fj솘XerV9yZuʼşdFC=rmo%~ZN78X(N)_7.Εn1MpJ}62jjJdI";R5&iLԸc:jmqiQj$ujp\{;v5B񥍪Xn Ą4qOERjzN(Ga٠䌡)p*v(J7#ZۻZ8O W uONb+^Qipv9GvֽƼϯrYƖKGJQDNPhRJjᡧC"21"9ѓS1;R_O7/WGz)8fE%F2ukmvSov/iZ&/]~KmI[:^~ͤ\kMi稜\ywJt3W7 8Ʒ~ݥeFgѼw"8VVSج\뻆}ݭ/J6Q)d|)zU3>k\L=;ow֯gN3pKѫ|wmkZ$z^2R:E)f>ς нd|#׆?\ǔpV{;\$ƵE%-ͪm0S6[n< kE[}mvE4DDZ^$OZ0*$~XUv҅B@^?]so#%ojw;Y#SxxueBگy v^i-)s)zV jC{7Gt.w3v,ygg8s]aE_,*E tY5k٨h=o"m泏:\6w噓aiL׎n^c\75AGkЯ0Lf46َ`egZ˓p/k;̛]kq!ݸzpԭG"}R9Ve>ˏHUjJ-&7nrnwG*Xv\˱/vN}O)ʼn&CV͍f̵]r\PMB-6Du-#RͰtRN^)mT _}nSȕC*_xBuTkJW[`ɩ`ejvsngP ڻ.-WUtܑqԹQj)t;vN&RNũT+8%IXӃ5fK՛-d9 ]CƑm|nZ-6=Hz,*aEm W3VzRšdY~Xf׀Xx"]s;)5u*ُHB BRGS6bݶؿ 9j[1*jױga7oX CUI%0v#~\-O-Ꙛuɷ쏪&5mY٦M`LJ2qK~HZbr =N'YobI. (^ ׾{_ ?OJ`S`3BN[}5w6:ǵ/iSlt=4F*d&T4y/#. ɵim5Uֲf 眕6Y7 fơ=3dϕq뚩$qTM-%r!$@A? ޾V0c~{[{;򥧅a~ڵ»&ڄv1ek=wb MLkNAԬw-x>~/r=e73VeVN)K%Sښe"+3uXuچrn ֺVzscJ峻m}vb㶓n\YbIUBT%*,0nov=;z꣓S/nSXSpl##k9mXGrZv^Gde!ŷRԠzQyjC]`gToPov{j~KRBMY}i[߶9KL2ԉO0K#m>wB[ٍ+n[[b٦DX ݲpo] [\m5qdT()mo4Oy9Ie b][wղmM~vmi۱~t \}$яimRk(L c Cvk7r9_r1 ;zv|F@KyZ[&jEji/"6$69ml#e]9s\{ScL}Ȣؿ0q/nZ*t,CLoD߉Njǚy=Pgmu6^]l-["çUʖMlʍp-"qmU>۷uFOJ%Ǔkx 'g=睋k[3u,{³WɘݪF]ՍeFX"Oy\,cچ=w/gn Ļ]#2? vqy-gXnR.^}ݺFs{ŝG]}e|#0mjx"ƬWكm?rgU^xVB":Dt>@LRbun~ݭ,w+v⪕;\U(RYa61>#Jm˞Μ9g9XKaG='u8gf}'qy#ɉw J]We.ʲ-<+&q%s?2dњztҼn`cΤmmqMdz O[-ߩӲ&;[tmܝVnr">{x<8U+p:Ig]zjGkt,uzf}dؠoJaکqEq -(:d<պ=eKy[˗^%ZXkX[C2߱\ITTLGzANM￵i]K>UsOGDDD.ZF6* ҃V Zhz{'xp^`wo8r0h ZmJ5"jb[l=yUu7-;7IT%:jFjߖm0tzU'K)څNۧYJ)4IQ}^KWm7kSP>q;ނ#)'n7&׊r?óM{IwR\j2Qn[v pe#/tAF\ϵ225q֒om6z})6҅*oqDsMf CNIN=T S2t,_ѧ}kveMF0J\Rnnݙܹy[rUc-j{yGtkQ%s]5qB.Nw.JN1LvR Ui5J ZESQԙr):MJ+g}χ!2;q([jAud][ljVK3$ײSJI=/|&tl'*n۽f.frܥ jQO8>&Z];.|7T/C}$ڋUmP2Reҭ8hFF\L 3~e v\۫]ݝNmrnB%*]Z«hKc=BTLG :V74$=Ǘy+EX'4tn(I:Ѝ;Df8c,k1%dJ6.j6ź{N~l6&*fœI7 WAlGOu-ҢH,,(ǔe뿋쩨kM܍ZſgRvQ' 9)?n|er˭|I|-fGK.rΛp8XV1%K6mvG+tc+qE&ǸC_Nm:l=_/m5^[dߌڇ.c<%:)tQ$Ow~-aY;UJ>=F)2[nk؆?훐M=l6[4(O.]2#-H^n#->&mp5~Fӛ+|| S,xag%qkEUzUgæBhߕP(7]kFnq?֖CpruZ6*rEڊtS|*tI*E}7R<,nUU֫^I7Q*mSly%rdȓd8hE<9oHhMfNSRj[i7D[Rj݊+kდq{"$$H?p\̅S?㭻;t~R߁)^/>Qj`yt[w ԛ;²~+ߔ_ YW~|o]?x^ᯛ `ʼn;g)T@vWn]>&4lp+$D̢1l|ȨF%-}.9[}w~ ԠLM9hСablfe&QoW!s?wjLK?s7yO>(=C~_nyǜu?v3vyo oI@qV-jeES^[9WoSܝh"l2C1a͔CiJ@3:Pճw=/7ovuk+\V;lDgն<[A+rX~d;m!_s8ݖ׷;;.0llUC+?i#_crʙ1~C.\–q ul8Hܶ2m`ܻM3Tov|Bs rɵ"oLS- DКw=Tv@f'6|YlD͓Y%׵-#Ѯo%:&!3o%\J<02;K87>^vgƓ# ;ݝmz^Y6=PS39U%~ &f# }o!muH;ʲŇ˷yvP+&.7e[3'vR4Yj̗IZ`e˽3o[WU{ m[sUbۋZǾۆl6~9'V*.\S2<Sd*zY[aŶ`]C$n.v^Ʌ dng>ەZ,Mmϑ :n6nϦezWqUJ4! ۇ4R! =>>Fn|Q[{pRO17ƕ~._I''00k=b՛o}Osðc2'o\3}ݭQ^2 . R1yKȣtAݿ-uܾw!`?1Whn|gzUo[ECWwjUIן)^h#1ɭ!/Z np;o;ΗŻkXs."6E`Z1 עӐ9Kl8qd q} 2Stt;#j>;խabONŗ=fwP1j)l6J̶|gV2`y/0E˛6+ԫ1? 6}KW c\KoKͨ2ۅFw–s*TԞLיuDx .kCzWXhy۶gLu|%TnupǺl-S* PRaLnT+c+*xl.v!.U=|; !_L̎뱚U=4hm:ٯ"y)$:>%(n}X'p[ȴ ^˒4kƓmzDx \ 'NqamP7nyN݅=j7%McSڵj%STy qXymvCg{w/w=wSW5r̹u erծˊsOm=DhEҚRb#n)QOxtվQwe]I}wCa'"[ۂ-z}2UuKP$㜉ԧ:mc<Ý>RoL?wu|%ҷ&K y_!y9 ??:tq3(UU-lkS'ɸ@jdzQˬR] EVPW1DJq2n:,c|ǻ̑;y{X,ۂ.u.b˕u.tKBjQ"[S園S`ٮdNبeJ&9Ơ ~0a(Vm٘L+Jr*vڑE( x0+tp˕ n';wm-ޜMOxX>{#2%jgb2M[`K*\5@8l'e=0u+w ֘鳾{y܀:R*Ya]"Ӧ%ktynlۣ65,3gU}{GYrb;ge'TKwǘ.,rpܚV]Tr,!dp /ԺU,xՉ>s׽~W5oTh yx?xrrx?)?ilbT׬,z$Ԏ.UH٠\U1pU:]JwSrGZq8àd驐,N67QYBӢD㏙W!Q25ϸo9ms-7-%3CihO.J鯽-;MZM8ku-7k9S$8]q2E(}bۏI[DKOK}3KUB^u %Y,u.-&f#]'܆o$x`Yu,dzwM;#oKxn;\[d7}Rb+*Y䛂ZuBӱl{j0O̓}LhK;[aֶaGL{Cb#S.T[>߃F]NK"u^LUʐ_ykW?!GRj29͖qa'0[npcDvV)qz9R)PۨM^aJx W] r>];eN3vxdmĘ(5W2K1䪖weF{mE/QP6\u54x5[hۮ-Nk”i[lUgL]J}5 S:EhiUrgHl!ŒJ$pe=q^b͵Q' ?6|R\,JA ڵ"TDꈭ:ymg`B5t%M] <N_zv2_Ortٵ/i/ReӮ*7[qүqEG* m"[I:6e^p"I$jԴęh!m)]GZkcjS!{e^z}+Cѥ9;R|/ֱeiUԏCNu2Zhcٗg$ݭwvr P8*7/Lk~I'Km1+MW%Bk|oOm>-#qj*|Dbѱkn|n{v#jĮqNpMIUm(7Liz;{ҜݞڝVƚVϬ+sO!OstGvxӉ']uӎ4g_ 1^-8ۦ k!)Ύ5O;YSB#2Zzχ;<.ֵOtge~.(RC#wFZeGZٸ6FFJ4e2ˇpJT$[wgV)q6muDGJ56q\I!̗ y/I~RtJ9kJ]Iy*'FN0s.[l!fw'y(7$œ WƫgyΙdMEU JQJv̋vmrۖ.jWR_M֨djYgSj0^\y'EoECjm$ IƩK>Z28J2TiJ2N#}.s cArl嫶nB.FIJ.)۔\ZiM>/hLĸ=C1s[?YMqp|94- 鮝𦔽/k^#NT(Y LS$6˩}{;5 )B۷W$qpN)qqoot}ZDVә;7TiK|6f3h$dԄ}fqݡ>Nb򗉉+ͶO]>ߡ_VtYf79ڰիF sq~prս|QM)g%l0ocJȨHz V;Bb/kLAcfPJ,ԭ{ƍgpjNR6VSI*$!yV足jᇑ.](EܣqM\qJ2eZT).<9UB/(B0j)mtKEj#׿fDI-=rZړj|'Nڤ]k*i$5qt"ݙPM6E4ke^Z8ۏhz$Q(R Ay2zfRñnpnkbkI:=j &ΝșW?׵d{+ύM'??XqeeĽ.[o=UxFS=ӷdZwenՄ]_X=ĭVa* pKs0ބۍfJ3 gz̚i|wnxtjc¼5${(1fXQ65ȼb̶Zkn>%FQMJXӡ{TZEVNᖣimT/37cNJUPnP҂ZOE~"-Rc4^b- FEͧtf5[)S!OZIښݲ͑;tvܡ+N)AR=hCNn;wL16-:特7M$=Tҕ-.R[HٷnXk sn[ҞD-0WS9p9:-Ϸ-jѬNu{ҹfv)[Ľvwfg(ٷfe+0mYj8Q1\ݧg]Eǎvڿc!4#j5̋C2"}BRriFp7=ô\TZ:\BLfj#I22װ<;صZl j 6:l"6]۸ K'6RTѯ^ئOԓV\?$x7s#r:Oh{ց=MmuHԷd{pN /܅:UE#Yy+(SgQ(Щ)RHzw>^Ѿݻ>mK&^ '$Jۻ&w%F|xfz%˳ L~3N?Cy9 v w/{ƿ kz3x> sXv}vP"@WyC z`'톽Dw%-tt yVY\wmuPYQA0iG-2JP,6/gˢ]u.-n!Zw.N7Q]Df}Q0({a\@=i_X7gFǘ8^⻲}G MZ1)WEfO12G+=-B@z\`||w6ċj߬m}UwRox֢I &c~XGP6Qndpvܻul'V7^FJt^{b^B(L~sѣ6@߿^xqU!ڙ5|Vpvef-uӥ^3  FSDɯKD%0r}FF穛r7 +o"V8tv̖NQU!5uFd"bCr^bJ=֤fM#ʳԷP0O-9xRBm\=`r-:;~3Tl(nXtXi%2Vٛ#vwqƴ`L@"H‹qW.j,JM5B[)WܺUeZFqc'V˷1W7V̾-MHФwn8N;HPSdݷC7&2j.W\τGŎ'Vb]c.x+Rx1%C2T{myg[qU|+m:M:շ8҉yWd)ՋWS%%:iqlʹmGwݹ WnNŤѩ5(9hTٵDdGUi-)vSs2 2{OnT$Xck n:¶(lASLeȔBjμPpTb2~N2~%^k[ܗ[Jzs0ӓHBKq[}JَA-$dFQgjxxFv4r/x*Rm% `4J(&iv7SkԲmSH1YWmx 8n.k']:Z˭_W >ڃXЩ. jTq%Aā[E}amc]D:rmHRiu:uӚӢ\p(5-q%e)(۬ҖȽIf<߽pr&ݫVfY91q2ĭEQgYbTGQ&,yL+N$[q*RVۉQ=FuTܻ>f>f㋳8N6$܌n)9&»iˤsX,݅܍ȩv+sRTpO}d?Wn/Inpȸ%O]StQO|v5\}7Zwb.AIVK^:wb{[uݯcytO߶S<{8KSRׁH̏N7ۚ[xkwYy_'ZӵF+>쌛ZUĦreE9F[24De{}@:ExWs-\ǻ7K-\JNvEk%:s˙#κ].oͳ;լ7wB6nwu:$L; DkI#Wz.:Xp(˅v$Sq,wn\qIN-e<5Oe+vuYTpcojUI_ާP8 O 7&VL8z$_B-H-[uh]T{|8=qVRN-:Ij:7PUtXϷmy鉿:RIM~33ӸS2#׳GdŲ5+/Bx{(WzȨ5Y㞎#|˖+ ط.|e<o/rߔX>7s}VE.OVti׽ .5nNJO"95{#q}Ay9do]R"M6z\tnNS-D!@3N_jicWsy*5uٮRcWv/.,j}=S)j5C^> Ie =gu9ӛqjtz]۪TMoߧI!Ǧ¶m:,"[L!{qAv-o 3{"KʼnrIkfٶj2ƙ؄S`7` k6jzޞ?e5G&6uʷ2%ԒRKE*G\Npom F/V |C0.q_eenƣ<5Oh'67ɪn[SĽ{ڔjǘzs;~׌(ۂ`ܢ1ƣ` _l9Va6%UQWh~P~\F^ZHR@:ۧCJ{ôGeBh;~ۧnU J\O+n2 RҠ)ng}Kh{5+S×ܛ.1ZjG)iRȤIN 4%{oΜ/eO[Nffd ĹK?nnԼMqX'܌nZvq<ķbFnͪaQ`5 s,M_լ?-@_{w{ӺձJ}GF[%v\5[ŒGkOw/ΜM9rjË%2+rd~+󲕛C9U۳r[aJǭm|˒LAʨSCq[XMۺoubfp:t+ΤĻo ][ zt-*67kvS7D·MMCQXm;)܎n_h%]4ܙnRk!]ڵsDUF"`R, &#R_*[z*ZqFXɻ]7|۵w+'pFDەs=r./ᐚm3Hשy yD"jHCr':sA65نѮ^o1V/ f;nFr3VM)e*- s D'H݅fӧ\*޷[k<7u<-]֍Q8R h|p=WlW3s%Q %3l}@U-K6f-NϿu|ڴmWN׮[׸F*mW\%r! C78:޳vBG7ŵ.JթԚ2x)ST!řn~9 W:Wpܢ件{xf8ٳwKE ҰWxVB\qBZ 2wMb[lGSnyԚ~z9ZmያvoN2Afnݽjf>)j3 !;gOYʹK" Wftڎ+׭b*2ϻK>ۢӱeyԪXISUm[z+ugX%0lϏnvg!;t{BqPj>PyvR7Cj]O%+ݲ :qiMj6W}3vC/R=4Som]ŗ=ю, TF6U_-\6MyskwMr&Q\wjKܩyMϣUj0*}RZܷSdY3>Zjqj6TgzpA/M`/Cmл,޻feE[/+uk^Vs1W$G(JsW2ٰu*߻q*Y޵.Wi:ur5T),=0uRmho.twܖiYwrWHntvEj8qhf`Ͻpf(R&>Ki%I7$QӖm-2 ~yߗQ-앑/ x[k8nw.c㩵k}]FkbJl:{.(˩n0Hqvαp7 귎.Gupx[N`Yq'+ruU7[ү+>!xrȫoSo]OC# d^Q]\>!ƛGw^Mx"-+%vdX-:M2UR%d>%l ioSu6lsj7D P>XxHz Ukà(n^Q V>5cVtWj SEiJdznyej[lE' 3kuٌNn4JW)gB {4 j6&]' m-(ZMEz8cz>WZ6#7+[,MR-Z!4ܓtCyE|umj1ƽvƷV\;%>Q :#Le(iVz5 4ũۤUWxX ^(ҔsլB2w-V ^R+; ˂M\z+Uwr+RWY⺧~ Q*JcYSNSλUd8in=v K낫k\IRרSUaCFmϿ5̗P|u ZTԕ}>oYѲ1sfP+sQkX8Gb~6r,s>^\,mGL+7[n-E\.Fqḕcl*Jmjb5 ,m]c}NXfeVlǸJ5eˡ$4%g~N p4Y*WwW٧<8v#;qԩTut,m"#Y D\5V`\\Lȋ];LȇiS6ϝZ l>LruR\v=ǘϔDg=ԈdFZ+M{=|,[;0>RiSi4,S5}yxw&(E7&fݙ4UՕ! ~'Id)]ǽu2K-fޭ \08Vڅ쓬=Vy^^ IhyKR-B#Ըr=]mܻӾ'*Umkoy rTqT_i,/8Q^<ݤ|4ԻO(܄"'5N~#m.(Ҿ2i6Uev&I*<}҄$eNtÛzyWJubW^iBW.܅Wڮg]irO6Ve90sgv.+sV޿aޔ[p?3q*FutUo*eL\KM'EG*ZcAFfG5J 5jj=MJ3OK:k˝'NMB7m3uFҕ\-Ywg%PRqMIyZGY9|μvn߻5cWݷa^+X֥vnݘ\v7m>Fgzv"-;Ew֝}1|RjN𿊀7g#֟*GQQ|#/bo]p$>_Un9гUbn9׃ErQBU-^vDmVh'<R[fdHT]*~}3j;nvjc7s-rӳ Y8[n[1pJx kX[Jk9Mn!_Nю6x:iZ˦U |߉^Ԛ݃hYxk &U^bwKk.[jE+P(˞=9j@snCv7%c_7=xǁ<l {t'酚+1F‹l׭:ݻILruǶkL-L(K0L1&>wXB(pm;1fpnlp֓%Skidkt(U +xulo'/ڕeN r=^pZZ:Pnj8Hf"48ijY[ N[yZٻ+=  ø:3 ?^ܷ^Sr#YK[UF?CuhC b]GM')mڏsNrܗI]ljq6VB. W,UK"YX5{c >Iqā> T:n!,5l2VzCl|+I[*SrjnS6٨y+x,@>П.g+!rn9>N|W>OZT_ut Y""v7|sfި;Pclm EùN,{'fNT%U&LfH8~1v>Il}统u6P˗c(WV~H^bMU.o*oOF0N:_:6Smr_.b+|ݶYY غF,mwjv>f*>QM뭱Sd:`N{l/⎱;n-z~"Gze퇎J5S KG9!Gn;N1 ݎ h6m|S?ɂ5'WOÞ 7|7^ao @mxGmi^jϽ>01Mf0լD3-2T. VXR"ɥV Kl J O7|u?bvа;6.eߓ|[1bmRr,eRz`z 6܎-ͨku͹Fː dPhYgZUj}nvX;z=gVեTv_J }\1n7w2J?ޘγc\E 1Aޑzq;\r]]\Y&[nsNei\uURje*Qk2CSl*xJz-xٶlm+|UjUؓ`Ladqiĩ!Gd\W~fz;Tn*PdRM&T4`չSWq5k훶(N"Ӎ% V]֦wb.nUO!u*J&Oӕ2e|Z=eV쫚΅g#+/RW:طnbi*Wyo)p{:ETKؚR(RY+r웓r(IF) VmȵNB:h Q1ғ|u8E]{,'$-TR[j49l*3"I鯴zhd>Q+\BkNF=.$ZR4Nwհ(IpNi.(Gi33#33e$FXK*NdWrud[r{xnk$v2ıh+J1TQ[#JQl[tRO]LHKٮ NӍnF񨔤֞Em'MILB"ԋ%dBŋ+p̿_17jzT~4pc Vo\ƹb9Rq-'1j;8ܗ)hE%DZKS<璸Bu*%*Yw5ڻ9ۣ^z4U; Ñk\U(o~G?VUĎ:?P?_F_Kߤ~ᓾI |pr.Ok\SklRhҪz{­P .}SktZ7UQ4ڌIM8̈eaӊJZ%FFZu,KZvln廐SNFIVtuNi?CM5]+Ph,{jN JSR$IS^tSUVrORYu.9WyP6 [Kiu m!X|]Y79ӄ)\ģ)pbڳr%*&ꑶ_-H*dzk)1 V3')UAϹٶWRxe'պn۫h7AR9 EAJeGLms!%D| A 5]/Q3eb̄vnVn%za\m kZnv([emqrIҕij|""><hjJשvvǕ|Pޟs}V~2&Z?+2N&Z4w@)4iSڪ_>/JN9Hiۏuf8'It[ȲR.hZ$ȋ_Y ~U<UUO*6b)Ovzڜj\R̋.$FsQuҊj^נ䈈y<zZIuP[}Qm=C?zN(Exqu/kn S-FzKZzOסӽjJ\)F3b!r5ٝ|;6 o=-3*λ]αb\abqRi-w޵⦪~b8Kpo)Z=>)ғ"5/GTZLE-輵f7ݘ۹~+&+w/7GFI:l33fg.N~۲\2|*cnermnnM+Fq"ѪIz%j =YW8@~gc/~?N'?)«qȸs➟n=k" X“m֮VreMh2[uݖ] *FܖN)MȐ`f0 g,C9̑o;ddudJ=In13:ݒvvdMUEJLp^,6t-@͐9'{7m{-3,>hnF;ѰM)->>+Ěz!R* :`e--m7nB\u{b U>[8֪]6^ߤLʦ\DFNo$$dͶlgno8OrsQ\l̯hRo8tuNo+ CTxu!2[>ctFpeޓƻֶR"3QrQuOѳgwQr;S~)6HhZw/GgVTmUf_yt7%$];zLWF̰xy2Ʉu!MCmš_0[W6jf#a-KLi+3Q7c^qg%s<1aYIQeZf+}>;S6L0]Yu_h9߻<ƅpmiM$AVvŚ,*#t2.8Y)-Zhshü97/#Oro"u^/uFgWɺ,p:6a,^x%$Yve^3PƗMnTP&yS}OJ '덫MH^:rXԴJۋ/rI;S*,+yz1hv)Qw^ڍJ2oL׊q(\fDj:^T%vOadɂnS}ZO)N*λdaȜkG_PIEO}нa(^iQX᯦-7^)%g'SJx(.S9zVɴZ{E ))ۅi/s7 VIV-|sj0*UBTHIqRf>FP$KqN0 R̻8j\GcC}IUz\i 6F)Q{Gҧ3qSzKj-Az VЛS-zy:8*mNk|D鿓ND2u+0Yŝ7kqm·?8Ib]u>˗^_>(]vӋzv+ݩ){vZrJ2RQ몋C$z [,pp,8mڊbR]Il .f~d/ݓs㓓mͶ{mgjQwn=Oic9ܚm4Q/6ݨ[TƧ?nԶoytf{@AzT{e{[O'ZRZt~AGD?s3􌿂ՉIw'|~U\ w~di:Kޱ)U/sU%njѩ&GSP^ǝd)..!^U` 1wX[aԇSxoFV6_扐)T 2Mfd=ۖͭiZ7KK Bi9%7@<3<ճԻU,},a}FRqɛr i@ONJvK KLN M, ʖv0n-]DwlI-X6ܶ$Jʴh5O+mOI+Ra瞠\ MG7BفjYo1#͖0V`Ѱ2M?c8>-Crt*JkIGS:e#hPKx[鱼>{5m;wcն&>j-M֥^َ) 6yȜl_w{-ō̱r> U=]iw3)r*]:K]6BdCTZ|>gf}LW}[$'Y5 &c -j.z6R 67MԷFMnÌwI7w5E}o޽+K ֵy4܌ȥW"COyR[q5Ӱ͙f[v"_#q{MV6܍3"u9BK(41ӯqˇc${ߝCi6I(OmθzҜ5k^:>Jzw.>qV8{vU[ڶEm|DžBz].KHjI]x;Mɗ{m,qZXr忇2u^RO2Z}ZێS[2Jen!*NDcrBUً4<ǼMҲs1Zw57c3&ĖڻzmP*FuJG1-dN:|OU}ҵgi2t~F^^Z.VxjvŧnNNh<:]^~NN+ge^g.SԔGFe߯'[vn'(ScJ]kܗ7eJOlRrfziݮq̋S"\*U<*W]k$FջV}? 7g#֟*GQQ|#/bo]p$>_Un9;l S VvQU%OLU{οmU6bZ1MTx%!֙Q7, J=!3 ;Q,ڌ;6ͱ݅q^&ߔ·n #WbwӖX.HtG)N&d̵zpI,n cu ޖUj+VXUp[w]N o.J6Z8Ts&utxln;~HPHS/xw`G\ʡ¿rj Z^vt"[L:SD\h0sUwR,}[x^X,R2Vn< ]2YDr[SRKs8tXb̷G?Ps Tv 3be,zVz D[/I.KOEQrm'$7|[J>r S`5յwT#\w1FTz\Ԛ &"ׅhSHrD\'r]~/>p;:Piuu:"9ő=tTaS7V2rӷk7mb[^WmPp*[y.Þ6f]cizJCgRR@UVl큝.WJP1N{/\whZ ػϧӱE7|E֫Sί.x-Y&pi%v''-x6r'Ws*6=DwwUu]=C?MK [yrtܒG$!WGqJ*%SAz ED[^)/tė/g=#Omd.|^n/sl׉g DZqemqowݮRzUܜ=ڽ-o/Iۖ;qVʘgPp|mm;6zGl9.8pwWgsJ2qPbe}}UpNjٯ}7TMQKrؽtEx%v w߾8%|j;~|}pK]ơ/ w߾8%|j;~|}pK]ơ/ w&~e_H 8PL7:%ʭ5Kw&U2vwR_+rm'}C7#rWoO&HoG?M$UR7{FU]u ;# !Wk`|W>׹潇9Vn)6)*ҹ{%qV4q>W1vi#T"Qk&GwxcJBJ- Ϸ^ˁxkU}ԣ/3.;]J=<*)cS)ROK9H=,r zX @)cS)Da^ԽQ gxJI=w֣gf*TRj

Correspondence to Jung-Eun Yim. Department of Food and Nutrition, Changwon National University, 20 Changwondaehak-ro, Uichang-gu, Changwon 51140, Korea. jeyim@changwon.ac.kr
• Received: August 23, 2018   • Revised: October 17, 2018   • Accepted: October 17, 2018

Copyright © 2018. The Korean Society of Clinical Nutrition

This is an Open Access article distributed under the terms of the Creative Commons Attribution Non-Commercial License (https://creativecommons.org/licenses/by-nc/4.0/) which permits unrestricted non-commercial use, distribution, and reproduction in any medium, provided the original work is properly cited.

  • 417 Views
  • 1 Download
  • 11 Crossref
prev next
  • This study aimed to determine meal-related factors affecting nutritional status, dietary intake, and body composition of children with cerebral palsy (CP). This study was conducted on 16 children with and 16 children without CP, aged 4 to 12 years, through a survey on general characteristics, body composition, eating habits, and nutrient intake. In the case of children with CP, comparisons were made according to classification into types of paralysis (hemiplegia, paraplegia, and quadriplegia). With respect to stature, the percentile of those surveyed was within normal range; however, children with CP were in a significantly lower percentile (p < 0.05) than healthy children. Regarding problems of dietary life, while usually brain-damaged children with CP have an overeating problem, seriously brain-damaged children with CP cannot have a meal by themselves; this was significantly different among the groups (p < 0.01). Regarding average intake of vitamin D and calcium, children with and without CP had a lower intake than required, with no significant difference between the groups. The evaluation of the nutrient status of children with and children without CP showed that children with CP were slow in stature development, and intake of vitamin D and calcium were less than required; therefore, it is necessary to provide education on adequate intake of nutrients. Since CP leads to frequent external intervention to having meals, it is required of parents and teachers to undergo training on adequate eating habits and attitudes.
Cerebral palsy (CP) — a disease characterized by motor impairment — is multifactorial and the exact causes are unknown, though it generally refers to a disability caused by an injury to an immature brain [1, 2]. Patients with CP have difficulty with body movement, muscle control and coordination, muscle reflex, and postural and balance maintenance. CP may also affect oral motor functions [3].
Feeding ability is developed along with the development of basic sensory and motor functions of the oral organs in early childhood and late childhood, and is more refined and sophisticated in adulthood [4, 5]. Food intake in early childhood and late childhood is critical because it has a serious impact on the growth and development of the body and brain [6, 7]. Therefore, children who are incapable of self-feeding or those with feeding disorders have an inadequate nutrient intake, which undermines their physical fitness, activity, concentration, and motivation for learning [5].
Dietary habits refer to one's food-related habits, such as food preference and eating regularity that are acquired through various environmental, cultural, and social factors. They determine an individual's nutritional status and affect their health [4]. Healthy dietary habits facilitate growth and may lower numerous immediate and long-term health risks [8]. Thus, inappropriate dietary habits may not only hinder normal growth and development in children due to nutritional deficiency but may also affect their intellectual, social, and emotional competence, stressing the importance of a balanced nutritional intake and good dietary habits [5]. Feeding in childhood affects multiple areas, including growth and development, concentration, and behavioral problems [9]. CP is one of the classic disorders that may affect feeding in childhood [6].
Hwang and Kim [10] reported that nutritional and health disorders caused by poor dietary habits are serious problems in children. Particularly, such growth and nutritional disorders are common secondary disabilities that affect children with CP [11]. Lopes et al. [12] reported that 25% of 100 children with disabilities were underweight, and 11% and 9% of underweight children were mildly and severely underweight, respectively, suggesting that a vast majority of children with disabilities, especially children with CP, have severe nutritional problems. Kim [1] suggested that because children with CP are only able to eat with their parents' assistance, the amount and types of food intake are determined by someone else, which places them in an environment more vulnerable to nutritional or health impairment. Children with disabilities exhibit more desirable dietary habits, such as having regular meals and not skipping breakfast, compared to children with no disabilities because their parents determine their method of eating [10].
Two factors may play a role: inadequate food intake hinders adequate intake of nutrients or food intake is far short of the required energy as a result of a rise in nutritional demand by the increasing metabolism of the body [11]. Park et al. [5] reported that the reduced appetite and low food intake are the most serious problems in children with disabilities. Furthermore, Reilly and Skuse [13] reported that the amount of food provided as well as the amount of food eaten are lower for children with CP compared to children with no disabilities, suggesting that providing highly nutritious meals is essential to improve health and nutritional disorders in children with CP. The type of CP was classified with the use of topographic distribution and the extent of impairment. The type, severity of neurological impairment, and ambulatory status could affect nutritional status [12].
Ahn [14] and Lee [15] suggested that compared to the volume of studies investigating the dietary habits and food intake in children with all types of disabilities, there is a lack of studies investigating this issue specifically in children with CP. Further, most studies related to feeding in CP simply shed light on the association between secondary disabilities and feeding problems, as suggested by Matsuo and Palmer [16] and Andrew and Sullivan [17]. Anthropometric studies analyzing height, body weight, and body fat as well as investigations on the dietary habits and feeding statuses are also lacking, showing the thin volume of data pertaining to physical development regarding the feeding status of children with CP.
Children with CP suffer from emotional and physical problems such as intellectual disability, epilepsy, feeding difficulties, ophthalmologic impairment, and hearing impairments [17]. Growth retardation can result from an inadequate nutrition. Therefore, it is important to improve poor nutrition caused by feeding difficulties in children with CP. However, there were no studies of diet-related factors including nutrition status have been conducted in children with CP in Korea.
Thus, this study aimed to understand diet-related factors, such as food preferences and eating habits, affecting nutritional status, dietary intake, and body composition of children with cerebral palsy compared to healthy children.
Study participants
Sixteen children with CP (13 boys, 3 girls) aged 4–12 years attending one of four rehabilitation centers for the disabled and one daycare center in Changwon and 16 healthy children (12 boys, 4 girls) in Changwon with similar family and local environments as the children with CP were enrolled. Children with CP using tube feeding were excluded. The children were classified into hemiplegia, paraplegia, and quadriplegia based on the location of paralysis. The study was approved by the Institutional Review Board (IRB) of Changwon National University (IRB No.1040271-201411-HR-016).
Study method and period
Questionnaire surveys were used for this study. The investigator conducted a 1:1 interview with the parents of the children to explain the precautions and meal-related issues and asked the parents to complete the self-reported questionnaire. The study period was from January 5 to June 30, 2015.
General characteristics
With regard to demographic characteristics, the participants' age, sex, and CP were investigated. For all the subjects, height, weight, body mass index (BMI), and body composition were measured by using the Inbody S10 (Inbody Co. Ltd., Seoul, Korea). Regarding physical characteristics, height-for-age percentile, weight-for-age percentile, and BMI-for-age percentile were obtained with reference to the 2017 Standard Growth Chart for Korean Children and Adolescents published by the Korea Centers for Disease Prevention and Control at the Ministry of Health and Welfare and Standard Body Growth Investigation Committee at the Korea Pediatric Society.
Dietary habits
A dietary habit questionnaire was developed based on the study by Kim et al. [19]. The questionnaire comprised 7 items, with three items including eating priority, preferred taste, and unbalanced diet habit for food preference, two items (problems of diet and reason for irregular meals) for problems during meals, and 2 items concerning snack times and why eat a snack for snack intake.
Nutrient intake
The 24-hour recall technique was used to investigate participants' general dietary intake. For an accurate investigation, we presented the “Two-dimensional model of foods and their containers” published in the Korean National Health and Nutrition Examination Survey (KNHANES) by the Korea Health Industry Development Institute, Ministry of Health and Welfare. The participants were instructed to record the name of the food eaten, names of ingredients contained in the food, and amount of food intake.
The participants' daily nutrient intake was analyzed using the Computer Aided Nutritional Analysis for Professionals, version 5.0 (The Korean Nutrition Society, Seoul, Korea), and nutrient-specific demands and percentage of nutrient intake were assessed based on the Dietary Reference Intakes for Koreans (KDRIs) [18].
Statistical analysis
The collected data were statistically analyzed using SPSS Statistics version 24.0 (IBM Corporation, New York, NY, USA). General characteristics, dietary habits, and intake pattern by food group were presented as frequencies and percentages. The Mann-Whitney U test was used to compare body composition and nutritional intakes of the CP and healthy children group. The χ2 test was used to examine the differences in general characteristics, food preference, and problems with eating and snack intake. Kruskal-Wallis test was performed to examine whether the parameters differed in relation to the types of CP. Statistical significance was set at p < 0.05.
Demographic characteristics
The proportion of boys was 81.3% in the CP group and 75.0% (n = 12) in the healthy children group, showing a higher proportion of boys than girls in each group, with no significant differences across the groups (Table 1). There was also no significant difference in age, with a mean age of 8.00 ± 1.97 years in CP group and 8.56 ± 2.53 years in the healthy children group.
Table 1

General characteristics of the children with CP and healthy children

Table 1
Variables CP Healthy children (n = 16) χ2
Total (n = 16) Quadriplegia (n = 5) Paraplegia (n = 7) Hemiplegia (n = 4)
Sex (No.) 1.89
Boy 13 (81.3) 5 (100.0) 5 (71.4) 3 (75.0) 12 (75.0)
Girl 3 (18.8) 0 (0.0) 2 (28.6) 1 (25.0) 4 (25.0)
Age (year) 8.00 ± 1.97 8.20 ± 1.10 8.00 ± 2.58 7.75 ± 2.06 8.56 ± 2.53 0.29
3–5 3 (18.8) 0 (0.0) 2 (28.6) 1 (25.0) 2 (12.5)
6–8 5 (31.3) 2 (40.0) 1 (14.3) 2 (50.0) 6 (37.5)
9–11 8 (50.0) 3 (60.0) 4 (57.1) 1 (25.0) 8 (50.0)
Values are presented as number (%) or mean ± standard deviation. There was no difference between cerebral palsy and healthy children by χ2 test.
CP, cerebral palsy.
Physical characteristics
The height percentile was significantly different 20.25 ± 30.25th% in the CP group and 64.06 ± 28.18th% in the healthy children (p < 0.001, Table 2). The height percentile of paraplegic group was lower than hemiplegic and quadriplegic group (p < 0.05). The weight percentile was also in the healthy range (5th–85th percentile) for CP and healthy children with significant differences among the groups (p < 0.05), with 52.20 ± 42.94th% in the quadriplegic group, 9.43 ± 11.10th% in the paraplegic group, and 26.75 ± 29.80th% in the hemiplegic group. The BMI percentile was also in the healthy range for CP and healthy children with no significant differences.
Table 2

Body composition of the children with CP and healthy children

Table 2
Variables CP Healthy children (n = 16)
Total (n = 16) Quadriplegia (n = 5) Paraplegia (n = 7) Hemiplegia (n = 4)
Height (cm) 118.09 ± 12.99 125.00 ± 9.64§, 114.93 ± 16.35§ 115.00 ± 8.33§ 133.03 ± 15.02
Height percentile (%) 20.25 ± 30.25 33.80 ± 37.16§, 5.43 ± 4.50§ 29.25 ± 42.05§, 64.06 ± 28.18
Weight (kg) 23.19 ± 9.17 30.40 ± 10.36 19.57 ± 7.52 20.50 ± 6.14 31.19 ± 9.99*
Weight percentile (%) 27.13 ± 32.78 52.20 ± 42.94 9.43 ± 11.10§ 26.75 ± 29.80§, 54.00 ± 25.76*
BMI (kg/m2) 16.13 ± 3.88 19.00 ± 4.90 14.57 ± 2.88§ 15.25 ± 2.50§ 17.07 ± 2.09
BMI percentile (%) 36.94 ± 35.64 60.20 ± 41.48 23.43 ± 29.33 31.50 ± 31.13 46.06 ± 25.38
Values are presented as mean ± standard deviation.
CP, cerebral palsy; BMI, body mass index
Significantly different between CP and healthy children at *p < 0.05, p < 0.01, and p < 0.001. §,∥Values with different superscript mark were significantly different in quadriplegia, paraplegia, and hemiplegia at p < 0.05.
Body composition
Intracellular water (ICW) differed significantly across the paralysis groups (p < 0.05), with 9.04 ± 1.98 L for the quadriplegic group, 6.40 ± 1.85 L for the paraplegic group, and 7.20 ± 1.65 L for the hemiplegic group (Table 3). Protein also differed significantly across the paralysis groups (p < 0.05), with 3.90 ± 0.84 kg for the quadriplegic group, 2.73 ± 0.80 kg for the paraplegic group, and 3.10 ± 0.75 kg for the hemiplegic group. Skeletal muscle mass also differed significantly across the paralysis groups (p < 0.05), with 9.78 ± 2.57 kg for the quadriplegic group, 6.36 ± 2.40 kg for the paraplegic group, and 7.38 ± 2.10 kg for the hemiplegic group.
Table 3

Body composition analysis of the children with CP according to plegia

Table 3
Variables Total (n = 16) Quadriplegia (n = 5) Paraplegia (n = 7) Hemiplegia (n = 4)
ICW 7.43 ± 2.08 9.04 ± 1.98* 6.40 ± 1.85 7.20 ± 1.65*,
ECW 4.61 ± 1.23 5.42 ± 1.40 4.14 ± 1.10 4.43 ± 0.96
TBW 12.04 ± 3.22 14.46 ± 3.10 10.54 ± 2.92 11.63 ± 2.61
Protein 3.19 ± 0.91 3.90 ± 0.84* 2.73 ± 0.80 3.10 ± 0.75*,
Mineral 1.06 ± 0.38 1.31 ± 0.26 0.90 ± 0.37 1.02 ± 0.42
Fat 6.93 ± 5.49 10.92 ± 6.67 5.33 ± 4.41 4.75 ± 3.66
SLM 15.47 ± 4.15 18.60 ± 3.98 13.44 ± 3.80 15.10 ± 3.18
FFM 16.26 ± 4.44 19.68 ± 4.21 14.17 ± 3.90 15.63 ± 3.80
SMM 7.68 ± 2.69 9.78 ± 2.57* 6.36 ± 2.40 7.38 ± 2.10*,
PMF 25.51 ± 13.92 32.94 ± 10.80 22.80 ± 15.36 20.98 ± 14.30
WHR 0.85 ± 0.10 0.83 ± 0.14 0.90 ± 0.06 0.81 ± 0.07
ECW/TBW (total) 0.38 ± 0.02 0.37 ± 0.05 0.39 ± 0.02 0.38 ± 0.01
Body cell mass 10.63 ± 2.96 12.92 ± 2.82 9.19 ± 2.66 10.30 ± 2.33
Bone mineral content 0.86 ± 0.32 1.09 ± 0.23 0.72 ± 0.32 0.80 ± 0.35
Values are presented as mean ± standard deviation.
CP, cerebral palsy; ICW, intracellular water; ECW, extracellular water; TBW, total body water; SLM, soft lean mass; FFM, fat free mass; SMM, skeletal muscle mass; PMF, percent body fat; WHR, waist-to-hip ratio.
*,†Values with different superscript mark were significantly different in quadriplegia, paraplegia, and hemiplegia at p < 0.05.
Food preference
Eating priority of food preference was significantly different in CP group and healthy children group (p < 0.05, Table 4). With the exception of the hemiplegic group, all children considered “taste” as the most important factor in eating food. The hemiplegic group considered “nutrition” as the most important (n = 3, 75.0%), showing a significant difference from the other groups (p < 0.05). The most preferred taste was “greasy” (n = 2, 40.0%) in the quadriplegic group, “sweet” (n = 5, 71.4%) in the paraplegic group, “most tastes” (n = 2, 50.5%) in the hemiplegic group, and “salty” (n = 5, 31.3%). The proportion of children who had a balanced diet was greater than that of children who had an unbalanced diet in children with CP though not in healthy children, showing a significant difference (p < 0.01).
Table 4

Food preferences of the children with CP and healthy children

Table 4
Variables Cerebral Palsy Healthy children (n = 16) χ2
Total (n = 16) Quadriplegia (n = 5) Paraplegia (n = 7) Hemiplegia (n = 4)
Eating priority 8.10*
Taste 9 (56.3) 4 (80.0) 4 (57.1) 1 (25.0) 12 (75.0)
Smell 2 (12.5) 0 (0.0) 2 (28.6) 0 (0.0) 0 (0.0)
Color and shape 0 (0.0) 0 (0.0) 0 (0.0) 0 (0.0) 3 (18.8)
Nutritional value 5 (31.3) 1 (20.0) 1 (14.3) 3 (75.0) 1 (6.3)
Preferred taste 8.37
Salty 2 (12.5) 1 (20.0) 0 (20.0) 1 (25.0) 3 (18.8)
Sweet 6 (37.5) 0 (0.0) 5 (71.4) 1 (25.0) 3 (18.8)
Sour 1 (6.3) 0 (0.0) 1 (14.3) 0 (0.0) 0 (0.0)
Spicy 1 (6.3) 1 (20.0) 0 (0.0) 0 (0.0) 5 (31.3)
Oily 3 (18.8) 2 (40.0) 1 (14.3) 0 (0.0) 5 (31.3)
All of above 3 (18.8) 1 (20.0) 0 (0.0) 2 (50.0) 0 (0.0)
Unbalanced diet habit 10.17
Yes 3 (18.8) 2 (40.0) 1 (14.3) 0 (0.0) 12 (75.0)
No 13 (81.3) 3 (60.0) 6 (85.7) 4 (100.0) 4 (25.0)
Values are presented as number (%).
CP, cerebral palsy.
Significantly different between cerebral palsy and healthy children at *p < 0.05 and p < 0.01 by χ2 test.
Problems with eating and snack intake
The problem of diet was significantly different in CP group and healthy children group (p < 0.05, Table 5). The greatest problem with diet was “unbalanced diet” in healthy children and “assistance required” in children with CP. The problem with eating was “overeating” (n = 2, 40.0% each) in the quadriplegic group and “cannot eat on one's own” (n = 5, 71.4%) in the paraplegic group among the CP group. With respect to the frequency of eating snacks, “1–2 times/day” was the most common in all groups, with no significant differences among the groups.
Table 5

Problems detected during meals and general snacking habits of the children with cerebral and healthy children

Table 5
Variables CP Healthy children (n = 16) χ2
Total (n = 16) Quadriplegia (n = 5) Paraplegia (n = 7) Hemiplegia (n = 4)
Problems of diet 15.00*
Unbalanced diet 2 (12.5) 2 (40.0) 0 (0.0) 0 (0.0) 6 (37.5)
Overeating 3 (18.8) 2 (40.0) 0 (0.0) 1 (25.0) 2 (12.5)
Assistance required 7 (43.8) 1 (20.0) 5 (71.4) 1 (25.0) 0 (0.0)
Refusal of meal 3 (18.8) 0 (0.0) 2 (28.6) 1 (25.0) 1 (6.3)
Distraction at mealtime 0 (0.0) 0 (0.0) 0 (0.0) 0 (0.0) 3 (18.8)
No problems 1 (6.3) 0 (0.0) 0 (0.0) 1 (25.0) 4 (25.0)
Reason for irregular meals 4.02
Loss of appetite 5 (31.3) 0 (0.0) 3 (42.9) 2 (50.0) 6 (37.5)
Lack of time 1 (6.3) 0 (0.0) 1 (14.3) 0 (0.0) 2 (12.5)
Habitually 0 (0.0) 0 (0.0) 0 (0.0) 0 (0.0) 2 (12.5)
Tired 1 (6.3) 1 (20.0) 0 (0.0) 0 (0.0) 0 (0.0)
No reason 9 (56.3) 4 (80.0) 3 (42.9.) 2 (50.0) 6 (37.5)
Snack times 2.03
Hardly ever eat 0 (0.0) 0 (0.0) 0 (0.0) 0 (0.0) 1 (6.3)
1–2 time/day 14 (87.5) 5 (100.0) 5 (71.4) 4 (100.0) 11 (68.8)
3–4 times/day 2 (12.5) 0 (0.0) 2 (28.6) 0 (0.0) 4 (25.0)
Why eat a snack 2.22
Hunger 4 (25.0) 2 (40.0) 1 (14.3) 1 (25.0) 8 (50.0)
Appetite 11 (68.8) 3 (60.0) 6 (85.7) 2 (50.0) 7 (43.8)
Supplement 1 (6.3) 0 (0.0) 0 (0.0) 1 (25.0) 1 (6.3)
Values are presented as number (%).
CP, cerebral palsy.
*Significantly different between cerebral palsy and healthy children at p < 0.05 by χ2 test.
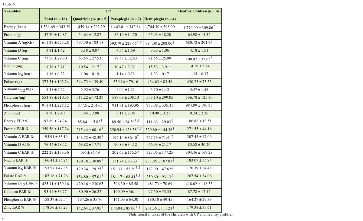
Nutrient intake
Percentage of nutrient intake were assessed based on the KDRIs. There was no difference in percentage of nutrient intake of children with CP and healthy children (Table 6). With regard to average energy consumption, the estimated energy requirements (EER)% for the quadriplegic and paraplegic groups were lower (82.84% ± 15.82% and 89.50% ± 24.39%, respectively) than that for the hemiplegic group (111.63% ± 29.03%). All groups consumed more than two-fold of the body's demand for protein. The children with CP and healthy children consumed less than the adequate amount of vitamin D, with average intake of 76.44% ± 28.52% and 83.59% ± 30.26%, respectively. With regard to average calcium intake, the CP and healthy children groups took less than the adequate intake, at 93.44% ± 36.77% and 87.78% ± 17.42%, respectively.
Table 6

Nutritional intakes of the children with CP and healthy children

Table 6
Variables CP Healthy children (n = 16)
Total (n = 16) Quadriplegia (n = 5) Paraplegia (n = 7) Hemiplegia (n = 4)
Energy (kcal) 1,531.69 ± 343.29 1,459.14 ± 293.29 1,462.01 ± 342.84 1,744.30 ± 398.90 1,776.00 ± 309.86*
Protein (g) 57.70 ± 14.87 54.64 ± 12.87 55.19 ± 14.70 65.93 ± 18.20 64.98 ± 14.32
Vitamin A (ugRE) 611.27 ± 225.28 497.50 ± 183.18 593.79 ± 227.66, 784.08 ± 208.00 680.72 ± 201.76
Vitamin D (ug) 3.81 ± 1.42 3.18 ± 0.87 4.54 ± 1.69 3.33 ± 1.06 4.18 ± 1.51
Vitamin C (mg) 77.56 ± 29.80 63.54 ± 27.53 79.57 ± 32.83 91.55 ± 25.99 100.92 ± 32.65*
Niacin (mg) 11.76 ± 3.71 10.54 ± 2.17 10.47 ± 3.32 15.53 ± 3.91 14.19 ± 3.84
Vitamin B6 (mg) 1.16 ± 0.22 1.06 ± 0.19 1.14 ± 0.22 1.33 ± 0.17 1.35 ± 0.37
Folate (ug) 373.51 ± 102.24 344.72 ± 139.40 359.16 ± 79.16 434.63 ± 83.56 430.23 ± 73.33
Vitamin B12 (ug) 5.48 ± 2.22 5.92 ± 3.76 5.04 ± 1.21 5.70 ± 1.43 5.47 ± 1.58
Calcium (mg) 554.88 ± 210.35 511.22 ± 172.27 587.09 ± 208.13 553.10 ± 299.05 536.78 ± 125.30
Phosphorus (mg) 911.41 ± 225.12 877.5 ± 214.65 911.81 ± 193.95 953.08 ± 335.41 984.09 ± 190.95
Zinc (mg) 8.50 ± 2.40 7.84 ± 2.08 8.11 ± 2.08 10.00 ± 3.21 9.24 ± 2.26
Energy EER % 93.89 ± 24.24 85.84 ± 15.82 89.50 ± 24.39, 111.63 ± 29.03 106.82 ± 13.51
Protein EAR % 259.56 ± 117.24 215.44 ± 60.16 250.94 ± 128.58, 329.80 ± 144.38 271.55 ± 44.16
Vitamin A EAR % 195.91 ± 83.19 143.72 ± 48.39 192.14 ± 86.40 267.73 ± 71.41 207.45 ± 47.09
Vitamin D AI % 76.44 ± 28.52 63.82 ± 17.71 90.89 ± 34.12 66.93 ± 21.17 83.58 ± 30.26
Vitamin C EAR % 222.29 ± 133.36 166 ± 86.49 202.63 ± 115.57 327.05 ± 177.25 304.46 ± 169.28
Niacin EAR % 166.41 ± 85.25 129.78 ± 30.89 151.74 ± 83.33 237.85 ± 107.87 183.07 ± 35.94
Vitamin B6 EAR % 153.57 ± 47.85 129.24 ± 29.25 151.33 ± 52.29, 187.90 ± 47.62 170.39 ± 34.48
Folate EAR % 187.16 ± 71.26 154.80 ± 57.01 181.17 ± 68.41, 250.60 ± 93.13 207.54 ± 34.06
Vitamin B12 EAR % 425.11 ± 139.16 420.16 ± 230.65 396.30 ± 85.58 481.73 ± 70.69 418.62 ± 118.33
Calcium EAR % 93.44 ± 36.77 80.90 ± 26.22 100.09 ± 36.11 97.50 ± 53.35 87.78 ± 17.42
Phosphorus EAR % 158.37 ± 52.54 137.26 ± 35.70 161.03 ± 64.30 180.10 ± 49.45 164.27 ± 27.33
Zinc EAR % 178.56 ± 83.27 142.64 ± 37.95 174.04 ± 85.06, 231.35 ± 111.21 179.38 ± 33.61
Values are presented as mean ± standard deviation.
CP, cerebral palsy; EER, estimated energy requirements; EAR, estimated average requirements; AI, adequate intake.
*Significantly different between cerebral palsy and healthy children at p < 0.05. †,‡Values with different superscript mark were significantly different in quadriplegia, paraplegia, and hemiplegia at p < 0.05.
We had investigated to understand between inadequate nutritional supply and children with CP. In our study, the proportion of boys was greater than that of girls. Multiple studies that investigated children with CP also found a higher percentage of boys than girls [10, 14], presumably due to the fact that male fetuses and neonates are more vulnerable to trauma during the process of brain development. When compared to the standard growth measurements of Korean children and adolescents in the same age group (Korea Centers for Disease Prevention and Control, 2007), children with CP seem to have hindered height growth compared to healthy children, and even among children with CP, growth delay is more evident in those with severe brain injury and paraplegia. In a study assessing growth and development of disabled children, Kim [19] reported that children with CP were shorter and lighter than children with other disabilities or non-disabled children, which are similar to our findings. There were smaller differences in terms of BMI percentiles between children with CP and healthy children, which may be attributable to the fact that children with CP show a more marked hindrance of height growth than weight growth, resulting in a higher BMI percentage. According to Lee's study [15], disabled children exhibit hindered height growth but higher weight growth.
With regard to dietary habits, most children considered “taste” to be the most important in meals, although the hemiplegic group considered “nutrition” (75.0%) to be the most important. The quadriplegic and paraplegic groups could intake foods by oneself, but hemiplegic group should be assisted by parents or caregivers. The emphasis on nutrition in children with CP seems to be inaccurate due to the fact that parents, as opposed to children themselves, filled out the survey; hence, the response seems to reflect more of the parents' decisions and not the children's [15]. Children with severe brain injury and children with paraplegia preferred a sweet taste, while children with quadriplegia preferred a greasy taste. Further, healthy children preferred a spicy and greasy taste. Ahn [14] reported that children with disabilities preferred a light and clean taste the most, followed by greasy and sweet tastes. The percentage of children with CP who only ate foods they liked was high in our study, which was in contrast with previous findings that a higher percentage of disabled children tend to have an unbalanced diet compared to healthy children [11, 15]. Further, our findings were also in contrast with Kim et al.'s [4] study, where 62.6% of children with CP had an unbalanced diet, and with Park et al.'s [5] study, where 34% of children with disabilities had a “serious issue with an unbalanced diet.” The lower rate of unbalanced diet in our study may be attributable to the fact that a high percentage of parents and teachers intervened in the diet of children with CP. Furthermore, food is often diced for children with CP due to their chewing difficulty, thus it may seem like these children do not have an unbalanced diet. The greatest issue with dietary habit was the inability to eat on one's own among children with severe brain injury while the greatest problem was “overeating” and “unbalanced meal” among children with moderate brain injury and healthy children, respectively. In quadriplegia children, overeating was shown as a food-related problem, but the energy intake did not reach the EER% and was significantly lower than the other groups. We could explain that quadriplegic group was restricted food intakes by caregiver.
With regard to nutrient intake, children with severe brain injury, children with quadriplegia, and those with paraplegia tended to have a lower energy intake. In a study on children with CP, children with other physical disabilities, and non-disabled children, Kim [19] reported that children with CP have lower energy intake (69.1% ± 15.4%) than that of non-disabled children though similar to that of children with other physical disabilities. Park et al. [5] reported that energy intake in children with spastic CP falls short of the recommended intake, which is similar to our findings. Vitamin D intake was below the adequate amount in both children with CP and healthy children, which was similar in other study [5]. Moreover, calcium intake was also low among children with moderate brain injury and children with quadriplegia as well as in healthy children. Unlike healthy children, children with CP engage in little outdoor activities and consequently have fewer opportunities to synthesize vitamin D [20], therefore vitamin D and calcium intake through food is important. In children with quadriplegia, the intake of energy, protein, vitamin A, niacin, vitamin B6, folate, and zinc was significantly lower than healthy children. It might be considered that problem of chewing and swallowing comes out best in quadriplegia. One limitation of this study is that it investigated only a small sample of children in one rehabilitation center in Changwon, which makes it difficult to present normal values. Future studies should additionally perform in-depth interviews and physical activity and biochemical investigations on children with CP so as to present implications for improving their quality of life.
Based on a nutritional assessment of children with CP and healthy children, this study found that children with CP have hindered growth — particularly height — compared to healthy children. Growth and developmental delay was particularly more evident among children with severe brain injury and those with paraplegia. In addition, children with CP showed low energy intake overall as well as low vitamin D and calcium intake, which are important for height growth, calling for nutrient education that stresses the importance of vitamin D and calcium intake for children with CP. Furthermore, our findings showing that children with CP considered nutrition to be important and have a balanced diet and the fact that children with CP cannot eat on their own suggests that there is much external involvement with their diets. Therefore, education to foster appropriate dietary habits and attitudes should also be provided for parents and teachers who are directly involved with meals.
National Research Foundation of Koreahttps://doi.org/10.13039/501100003725NRF-2016R1D1A1B03935660

Funding: This work was supported by the National Research Foundation of Korea (NRF) grant funded by the Korea government (NRF-2016R1D1A1B03935660).

Conflict of Interest: The authors declare that they have no competing interests.

  • 1. Kim KH. Effect of feeding behavior on physique and body fat for students with cerebral palsy. J Korean Phys Edu Assoc Girls Women 2007;21:45-55.
  • 2. Hillesund E, Skranes J, Trygg KU, Bøhmer T. Micronutrient status in children with cerebral palsy. Acta Paediatr 2007;96:1195-1198.
  • 3. Fung EB, Samson-Fang L, Stallings VA, Conaway M, Liptak G, Henderson RC, Worley G, O'Donnell M, Calvert R, Rosenbaum P, Chumlea W, Stevenson RD. Feeding dysfunction is associated with poor growth and health status in children with cerebral palsy. J Am Diet Assoc 2002;102:361-373.
  • 4. Kim JD, Bae YK, Cho MS. Eating patterns of children with cerebral palsy by table utensil-handling skills. J Korean Diet Assoc 2009;15:139-151.
  • 5. Park EJ, Moon HK, Lee SS, Park WH. A study on the food habit and nutritional status of developmentally disabled children. Korean J Nutr 2001;34:188-197.
  • 6. Lee JH, Lee EH, Choe EO. Study on eating habits and food preference for breakfast of elementary, middle, or high school students in the Incheon area. Korean J Food Cookery Sci 2014;30:170-182.
  • 7. Lip SZ, Chillingworth A, Wright CM. Prevalence of under and over weight in children with neurodisability, using body composition measures. Eur J Clin Nutr 2018;72:1451-1454.
  • 8. Calis EA, Veugelers R, Sheppard JJ, Tibboel D, Evenhuis HM, Penning C. Dysphagia in children with severe generalized cerebral palsy and intellectual disability. Dev Med Child Neurol 2008;50:625-630.
  • 9. Song WJ, Park JH, Jung MY, Yoo EY. Effect of oral sensory treatment on oral function in dysphagic children with cerebral palsy. J Korean Soc Occup Ther 2013;21:47-58.
  • 10. Hwang MK, Kim YA. A study on the differences of dietary habits between normal and handicapped children in Incheon area. Korean J Soc Food Sci 1997;13:192-203.
  • 11. Kuperminc MN, Stevenson RD. Growth and nutrition disorders in children with cerebral palsy. Dev Disabil Res Rev 2008;14:137-146.
  • 12. Lopes PA, Amancio OM, Araújo RF, Vitalle MS, Braga JA. Food pattern and nutritional status of children with cerebral palsy. Rev Paul Pediatr 2013;31:344-349.
  • 13. Reilly S, Skuse D. Characteristics and management of feeding problems of young children with cerebral palsy. Dev Med Child Neurol 1992;34:379-388.
  • 14. Ahn SY. Comparison of food habits, food behaviors and food preferences in disabled children and non-disabled children [dissertation]. Gangneung: Gangneung Wonju University; 2003.
  • 15. Lee JS. A study on the characteristics of eating behaviors and status of food intakes of mentally retarded students [dissertation]. Gyeongsan: Yeungnam University; 2008.
  • 16. Matsuo K, Palmer JB. Anatomy and physiology of feeding and swallowing: normal and abnormal. Phys Med Rehabil Clin N Am 2008;19:691-707.
  • 17. Andrew MJ, Sullivan PB. Growth in cerebral palsy. Nutr Clin Pract 2010;25:357-361.
  • 18. Ministry of Health and Welfare. The Korean Nutrient Society. Dietary reference intakes for Koreans. Seoul: Sejong; 2015.
  • 19. Kim EK, An SY, Kim EM, Huh KJ. A comparison of the eating habits and eating behaviors of disabled and non-disabled children. Korean J Community Nutr 2003;8:840-855.
  • 20. Cho SK, Koo S, Park K. Vitamin D and depression. J Korean Soc Food Sci Nutr 2014;43:1467-1476.

Download Citation

Download a citation file in RIS format that can be imported by all major citation management software, including EndNote, ProCite, RefWorks, and Reference Manager.

Format:

Include:

Food Habits, Dietary Intake, and Body Composition in Children with Cerebral Palsy
Clin Nutr Res. 2018;7(4):266-275.   Published online October 29, 2018
Download Citation

Download a citation file in RIS format that can be imported by all major citation management software, including EndNote, ProCite, RefWorks, and Reference Manager.

Format:
Include:
Food Habits, Dietary Intake, and Body Composition in Children with Cerebral Palsy
Clin Nutr Res. 2018;7(4):266-275.   Published online October 29, 2018
Close
Food Habits, Dietary Intake, and Body Composition in Children with Cerebral Palsy
Food Habits, Dietary Intake, and Body Composition in Children with Cerebral Palsy
Table 1 General characteristics of the children with CP and healthy children

Values are presented as number (%) or mean ± standard deviation. There was no difference between cerebral palsy and healthy children by χ2 test.

CP, cerebral palsy.

Table 2 Body composition of the children with CP and healthy children

Values are presented as mean ± standard deviation.

CP, cerebral palsy; BMI, body mass index

Significantly different between CP and healthy children at *p < 0.05, p < 0.01, and p < 0.001. §,∥Values with different superscript mark were significantly different in quadriplegia, paraplegia, and hemiplegia at p < 0.05.

Table 3 Body composition analysis of the children with CP according to plegia

Values are presented as mean ± standard deviation.

CP, cerebral palsy; ICW, intracellular water; ECW, extracellular water; TBW, total body water; SLM, soft lean mass; FFM, fat free mass; SMM, skeletal muscle mass; PMF, percent body fat; WHR, waist-to-hip ratio.

*,†Values with different superscript mark were significantly different in quadriplegia, paraplegia, and hemiplegia at p < 0.05.

Table 4 Food preferences of the children with CP and healthy children

Values are presented as number (%).

CP, cerebral palsy.

Significantly different between cerebral palsy and healthy children at *p < 0.05 and p < 0.01 by χ2 test.

Table 5 Problems detected during meals and general snacking habits of the children with cerebral and healthy children

Values are presented as number (%).

CP, cerebral palsy.

*Significantly different between cerebral palsy and healthy children at p < 0.05 by χ2 test.

Table 6 Nutritional intakes of the children with CP and healthy children

Values are presented as mean ± standard deviation.

CP, cerebral palsy; EER, estimated energy requirements; EAR, estimated average requirements; AI, adequate intake.

*Significantly different between cerebral palsy and healthy children at p < 0.05. †,‡Values with different superscript mark were significantly different in quadriplegia, paraplegia, and hemiplegia at p < 0.05.