Skip to main navigation Skip to main content
  • KSCN
  • E-Submission

CNR : Clinical Nutrition Research

OPEN ACCESS
ABOUT
BROWSE ARTICLES
EDITORIAL POLICIES
FOR CONTRIBUTORS

Articles

Original Article

Effect of Personalized Nutritional Counseling on the Nutritional Status of Hemodialysis Patients

Clinical Nutrition Research 2017;6(4):285-295.
Published online: October 30, 2017

1Department of Nutrition Care, Severance Hospital, Yonsei University College of Medicine, Seoul 03722, Korea.

2Department of Nutrition Services, Gangnam Severance Hospital, Yonsei University College of Medicine, Seoul 06273, Korea.

3Department of Internal Medicine, Gangnam Severance Hospital, Yonsei University College of Medicine, Seoul 06273, Korea.

4Department of Internal Medicine, Yongin Severance Hospital, Yonsei University College of Medicine, Yongin 17046, Korea.

Correspondence to Song Mi Lee. Department of Nutrition Care, Severance Hospital, Yonsei University College of Medicine, 50-1 Yonsei-ro, Seodaemun-gu, Seoul 03722, Korea. Tel: +82-2-2228-6959, Fax: +82-2-2226-7852, nutrpine@yuhs.ac
• Received: September 27, 2017   • Revised: October 18, 2017   • Accepted: October 23, 2017

Copyright © 2017. The Korean Society of Clinical Nutrition

This is an Open Access article distributed under the terms of the Creative Commons Attribution Non-Commercial License (https://creativecommons.org/licenses/by-nc/4.0/) which permits unrestricted non-commercial use, distribution, and reproduction in any medium, provided the original work is properly cited.

  • 451 Views
  • 0 Download
  • 17 Crossref
prev next
  • This study set out to evaluate the impact of personalized nutritional counseling (PNC) on the nutritional status of hemodialysis (HD) patients. This was an intervention study for 10 months at 2 hospitals. Anthropometric, biochemical, dietary, and body composition parameters were measured at baseline and after 3 and 6 months of PNC. A total of 42 patients (23 men and 19 women) were included. Intake of dietary protein, serum albumin, and cholesterol levels had increased significantly from baseline to month 6 (p < 0.05). Among the bioelectrical impedance analysis (BIA) parameters, both the body cell mass (BCM) and the fat free mass (FFM) had significantly reduced at month 3 compared to baseline (p < 0.05). However, there was no difference between baseline and month 6. We assessed the nutritional status of the subjects using the malnutrition inflammation score (MIS), and divided them into an adequately nourished (AN) and a malnourished (MN) group at baseline. In the subgroup analysis, serum levels of albumin and cholesterol had increased significantly, particularly from baseline to month 6 in the MN group (p < 0.05). This study suggests that consecutive PNC contributed to the improvement of the protein intake, serum levels of albumin, cholesterol and to the delay of muscle wasting, which could also have a positive impact on the nutritional status, particularly in malnourished patients receiving HD treatment.
Hemodialysis (HD) patients are exposed to protein energy malnutrition (PEM), which is a major risk and predictive factor of morbidity or mortality [1]. The prevalence of malnutrition in chronic kidney failure patients before dialysis treatment ranges from 20% to 80%, depending on the choices of population or nutritional markers. In patients undergoing continuous dialysis treatment, the malnutrition rate was reported still as up to 23%–73%. Therefore, malnutrition is a very common problem affecting HD patients [2]. Although these patients require regular nutritional assessment and consecutive personalized nutrition counseling (PNC), the limited dietitian resources and strict health insurance conditions make it difficult to implement these measures under current hospital circumstances in Korea.
In HD patients, PEM can be caused by a reduced intake of nutrients, poor appetite, or an increased protein catabolism due to metabolic acidosis, hyperparathyroidism, insulin resistance, and inflammation. In any given conditions, moderate to severe malnutrition induces a body weight loss and alterations in body composition — mainly a reduction in fat and muscle mass and an increase in total body fluids, with an increase in extracellular water (ECW) [3].
Not only the monitoring of the weight changes, but also the examination of the blood can provide general information about HD patients' nutritional status. However, the results of blood analysis results are hard to trust as they are influenced by chronic inflammation and an unstable iron status. In addition, the weight is also directly affected by the amount of fluid intake amount and the dialysis dose. In light of these limitations, bioelectrical impedance analysis (BIA) has recently been gaining attention as a simple, objective, non-invasive, and inexpensive way to evaluate HD patients' hydration status and body composition.
The goal of this study was to evaluate the effectiveness of 3 consecutive PNC sessions on the nutritional status of HD patients based on an anthropometric assessment, biochemical parameters, dietary intake, and multi-frequency BIA.
Patients
The study was conducted at 2 dialysis units of university hospitals (Gangnam Severance Hospital, Yongin Severance Hospital) between July 2013 and April 2014. Clinically stable patients who had been receiving maintenance HD treatment for over 1 month were assigned to receive PNC over 3 visits: at baseline, after 3 months, and after 6 months. The exclusion criteria included patients with C-reactive protein (CRP) ≥ 50 mg/L (indicating a severe inflammation status), malignant oncology, acute renal failure, liver cirrhosis with ascites, severe pulmonary edema, New York Heart Association heart failure ≥ class III, amputated arms and legs, alcoholism, and recent surgery.
Patients at 2 dialysis units who agreed to be enrolled were included, and there were 51 patients at baseline (21 of Gangnam Severance Hospital, 30 of Yongin Severance Hospital). Among them, 9 patients were excluded over the study period (2 for exclusion criteria, 2 for transfer to another dialysis unit, 1 for refusal after enrollment, and 1 for death). Finally, 42 patients (16 of Gangnam Severance Hospital, 26 of Yongin Severance Hospital) completed the study.
The study protocol was approved by the Institutional Review Board of the Gangnam Severance Hospital (No. 3-2013-0039). All patients provided written informed consent prior to study enrollment.
Nutritional assessment
The patients' demographic data — including sex, age, HD duration (in months), and presence of comorbid diseases — were collected at baseline. Anthropometric measurements including height, weight before and after a dialysis session, body mass index (BMI, kg/m2), and handgrip strength (with the Jamar® Hydraulic Hand Dynamometer; Sammons Preston, Chicago, IL, USA) were examined. Their pre-dialysis biochemical results—including serum blood urea nitrogen (BUN, mg/dL), creatinine (mg/dL), cholesterol (mg/dL), albumin (g/dL), total iron binding capacity (TIBC, mcg/dL), hemoglobin (g/dL), potassium (mmol/L), and phosphate (mg/dL) levels were obtained from their electronic medical records.
In all patients, a BIA was carried out using Inbody S10 (InBody Co., Ltd., Seoul, Korea) in the lying position within 30 minutes after dialysis treatment. After entering the patient's height, weight, age, and gender, measurements were taken using the 4-electrode, 8-point touch electrode method by wiping the areas where the 8 electrodes would be attached (one each on the thumb and middle finger of both hands and one each on both ankles) with electrolyte tissue and connecting the holder electrode. Among BIA results, four parameters were used: the phase angle, the body cell mass (BCM), the fat-free mass (FFM), and the ECW/total body water (TBW) ratio.
A trained dietitian collected dietary record of a usual day in recent week by an interview, using food models to facilitate the recall process in order to verify the intake amount. For the nutrient analysis, the Food Exchange Unit Lists for renal disease patients (Korean Dietetic Association & Korean Society of Nephrology, 1997) were used to convert the food intake amount into basic unit numbers and into calories and proteins.
We evaluated the patients' nutritional status using the modified quantitative subjective global assessment (MQ-SGA) [4] and malnutrition-inflammation score (MIS) tools [5], which were developed specifically for renal patients by modifying the conventional SGA. MQ-SGA comprises 7 components (weight change, dietary intake, gastrointestinal symptoms, functional capacity, comorbidity, subcutaneous fat, and muscle wasting) which have 4 levels of severity, so final score is supposed to ranges from 7 (normal) to 35 (severely malnourished). MIS has 10 components, which includes 7 components the same as MQ-SGA and 3 additional components (BMI, serum albumin, and TIBC). Each has 4 levels of severity, so final score is supposed to ranges from 0 (normal) to 30 (severely malnourished). We divided the patients into two groups (adequately nourished [AN] vs. malnourished [MN]) based on MIS score of 5 points or less.
These assessment data were collected 3 times at baseline, 3rd and 6th months, except for MQ-SGA and MIS which were done 2 times at baseline and 6th month only.
Nutritional intervention
All patients received three individualized consultations over the study period, and every consultation was done by one well trained dietitian. Each consultation involved a 40- to 60-minute PNC session focusing on the adequate food intake for each patient's energy and protein needs. The recommended goals of the patient's nutritional management were to improve the nutritional status, to prevent accumulated fluid waste products, and to minimize the incidence of metabolic side effects.
Recommended protein intake for each patient was calculated as 1.2 g/kg of ideal body weight, which should be composed of > 50% of high biological value protein foods according to the National Kidney Foundation's Kidney Disease Outcomes Quality Initiative (K/DOQI) clinical practice guidelines [6]. We also calculated recommended energy intake for each patient as 30–35 kcal/kg of ideal body weight. Moreover, we suggested a daily recommended sodium intake amount below 3,000 mg, a potassium amount of 1,500–2,000 mg, and a phosphate amount of 15–17 mg/kg of ideal body weight.
The contents of the nutritional education included a focus on individual energy and protein needs, tips to restrict the intake of potassium, phosphorus, sodium, and fluid. In addition, we offered HD patients with diabetes mellitus nutritional education about blood sugar control. At the 1st session, general information of nutrition therapy and a recommended meal plan by individual requirement were given to the patients. At 2nd and 3rd session, patient's change in diet was assessed and tailored solution was suggested to achieve the adequate intake. Repeated education of nutrition therapy was done if needed. Four educational materials — Nutritional therapy for HD patients, Individual meal plan with food illustrations, caution food list, and cooking tips for low sodium intake — were developed based on Gangnam Severance Hospital's.
We evaluated whether each patient's intake was adequate based on their food habits and problems. We recorded the patient's intake and habits at every point to ensure continuous and consistent management.
Statistical analysis
The statistical analyses were performed using Stata software 13.1 (StataCorp, College Station, TX, USA). The subjects' diabetes and cardiovascular disease histories were analyzed by frequency and percentage, and all the other results were presented by mean and standard deviation. Baseline characteristics were analyzed by paired t-test to examine gender differences. To evaluate the effect of three times of nutritional intervention, paired t-tests (baseline with 3rd and 6th months, respectively) were done. In the subgroup analysis by nutritional status, the results between baseline and 6th month's were compared by paired t-test. If the p value was < 0.05, the difference was considered significant.
Baseline characteristics
The baseline characteristics of the 42 HD patients are shown in Table 1. Among the 42 patients, 19 were women, and 25 had diabetes mellitus while 6 had a cardiovascular disease. The mean age of the patients was 60.8 ± 11.6 years, and their mean dialysis duration was 36.7 ± 27.8 months. The mean BMI was 22.84 ± 3.85 kg/m2, with no difference between men and women. Handgrip strength of men was higher than that of women (29.21 ± 11.39 vs. 18.33 ± 6.26, p < 0.001).
Table 1

General characteristics of the patients at baseline

Table 1
Characteristics All (n = 42) Men (n = 23) Women (n = 19) p (men vs. women)
Age 60.8 ± 11.6 60.0 ± 11.1 61.7 ± 12.4 0.652
HD duration, mon 36.7 ± 27.8 30.1 ± 24.6 44.7 ± 30.0 0.091
DM 25 (60%) 15 (65%) 10 (53%) 0.408
CVD history 6 (14%) 4 (17%) 2 (11%) 0.527
BMI, kg/m2 22.84 ± 3.85 23.04 ± 3.34 22.61 ± 4.47 0.721
Handgrip strength 23.92 ± 10.66 29.21 ± 11.39 18.33 ± 6.26 0.001*
MQ-SGA 10.17 ± 1.32 9.65 ± 1.07 10.79 ± 1.36 0.004*
MIS 5.33 ± 2.78 4.13 ± 2.05 6.79 ± 2.90 0.001*
Calorie intake, kcal 1,375.86 ± 385.86 1,542.26 ± 303.38 1,174.42 ± 385.27 0.001*
Protein intake, g 43.99 ± 18.43 51.20 ± 17.90 35.26 ± 15.34 0.004*
Percentage of calorie intake/target 80.03 ± 21.50 83.45 ± 17.45 75.89 ± 25.45 0.262
Percentage of protein intake/target 63.75 ± 25.30 69.44 ± 24.99 56.86 ± 24.57 0.110
Albumin, g/dL 3.93 ± 0.40 4.01 ± 0.32 3.83 ± 0.46 0.141
TIBC, mcg/dL 215.81 ± 56.07 214.04 ± 39.17 217.95 ± 72.64 0.826
Hemoglobin, g/dL 10.45 ± 0.97 10.42 ± 1.14 10.50 ± 0.76 0.812
Cholesterol, mg/dL 151.67 ± 34.78 138.44 ± 32.14 167.68 ± 31.59 0.005*
BUN, mg/dL 64.80 ± 19.39 72.84 ± 18.07 55.06 ± 16.57 0.002*
Creatinine, mg/dL 9.74 ± 2.90 11.41 ± 2.29 7.72 ± 2.20 < 0.001
Potassium, mmol/L 5.13 ± 0.68 5.08 ± 0.58 5.19 ± 0.79 0.604
Phosphate, mg/dL 4.69 ± 1.64 5.14 ± 1.54 4.14 ± 1.61 0.046
CVD, cardiovascular disease; BMI, body mass index; MQ-SGA, modified quantitative subjective global assessment; MIS, malnutrition-inflammation score; TIBC, total iron binding capacity; BUN, blood urea nitrogen.
*p < 0.01, p < 0.001, p < 0.05.
The MQ-SGA score was 1.14 point lower in men than in women (9.65 ± 1.07 vs. 10.79 ± 1.36, p = 0.004), which means relatively less severity of malnutrition. MIS showed similar results to MQ-SGA score (men vs. women: 4.13 ± 2.05 vs. 6.79 ± 2.90, p = 0.001) also showing relatively less severity of malnutrition. The intake of energy and protein was significantly higher in men than in women (p < 0.050), while the calorie and protein intake per target did not vary by sex. The calorie intake rate was 80.03% ± 21.50% of the target amount and the protein intake rate was 63.75% ± 25.30% of the target amount. Therefore, both were insufficient.
Serum albumin, TIBC, hemoglobin, and potassium levels did not differ between male and female patients. However, the levels of cholesterol in male patients were significantly lower than those of female patients (138.44 ± 32.14 vs. 167.68 ± 31.59 mg/dL, p = 0.005). BUN (72.84 ± 18.07 vs. 55.06 ± 16.57 mg/dL, p = 0.002), creatinine (11.41 ± 2.29 vs. 7.72 ± 2.20 mg/dL, p < 0.001), and phosphate (5.14 ± 1.54 vs. 4.14 ± 1.61 mg/dL, p = 0.046) levels were higher in men than in women (Table 1).
Among BIA parameters, the phase angle (5.11 ± 0.82 vs. 3.91 ± 1.15, p < 0.001), BCM (32.37 ± 4.51 vs. 23.17 ± 3.73 kg, p < 0.001), and FFM (50.18 ± 6.79 vs. 36.51 ± 5.77 kg, p < 0.001) were higher in men than in women, and the ECW/TBW — i.e., the degree of edema — was significantly lower in men than in women (0.391 ± 0.010 vs. 0.401 ± 0.013, p = 0.012) (Table 2).
Table 2

BIA parameters of the patients at baseline

Table 2
Characteristics All (n = 42) Men (n = 23) Women (n = 19) p (men vs. women)
Phase angle 4.57 ± 1.14 5.11 ± 0.82 3.91 ± 1.15 < 0.001*
BCM, kg 28.21 ± 6.21 32.37 ± 4.51 23.17 ± 3.73 < 0.001*
FFM, kg 44.01 ± 9.32 50.18 ± 6.79 36.51 ± 5.77 < 0.001*
ECW/TBW 0.396 ± 0.012 0.391 ± 0.010 0.401 ± 0.013 0.012
BIA, bioelectrical impedance analysis; BCM, body cell mass; FFM, fat free mass; ECW/TBW, extra cellular water/total body water.
*p < 0.001, p < 0.05.
Comparison of nutritional parameters over time
To examine the changes in the clinical outcome with continuous nutritional counseling over time, baseline parameters were compared with the measurements at 3rd and 6th months (Tables 3 and 4).
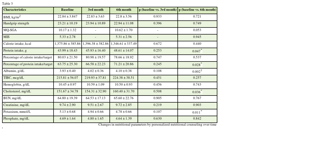
Table 3

Changes in nutritional parameters by personalized nutritional counseling over time

Table 3
Characteristics Baseline 3rd month 6th month p (baseline vs. 3rd month) p (baseline vs. 6th month)
BMI, kg/m2 22.84 ± 3.847 22.83 ± 3.63 22.8 ± 3.56 0.933 0.721
Handgrip strength 23.21 ± 10.19 23.94 ± 10.89 22.94 ± 11.08 0.396 0.749
MQ-SGA 10.17 ± 1.32 - 10.62 ± 1.70 - 0.053
MIS 5.33 ± 2.78 - 5.31 ± 2.56 - 0.945
Calorie intake, kcal 1,375.86 ± 385.86 1,396.38 ± 382.86 1,346.61 ± 337.49 0.672 0.440
Protein intake, g 43.99 ± 18.43 45.93 ± 16.40 48.61 ± 14.07 0.253 0.047*
Percentage of calorie intake/target 80.03 ± 21.50 80.98 ± 19.57 78.66 ± 18.92 0.747 0.537
Percentage of protein intake/target 63.75 ± 25.30 66.58 ± 22.23 71.21 ± 20.86 0.245 0.028*
Albumin, g/dL 3.93 ± 0.40 4.02 ± 0.36 4.10 ± 0.38 0.108 0.002
TIBC, mcg/dL 215.81 ± 56.07 219.93 ± 37.81 224.38 ± 38.51 0.451 0.257
Hemoglobin, g/dL 10.45 ± 0.97 10.59 ± 1.09 10.50 ± 0.93 0.456 0.743
Cholesterol, mg/dL 151.67 ± 34.78 154.31 ± 32.90 160.40 ± 31.70 0.508 0.036*
BUN, mg/dL 64.80 ± 19.39 64.53 ± 17.13 65.60 ± 22.76 0.905 0.767
Creatinine, mg/dL 9.74 ± 2.90 9.51 ± 2.67 9.72 ± 2.85 0.219 0.903
Potassium, mmol/L 5.13 ± 0.68 4.94 ± 0.66 4.78 ± 0.66 0.107 0.011*
Phosphate, mg/dL 4.69 ± 1.64 4.80 ± 1.65 4.64 ± 1.39 0.630 0.842
BMI, body mass index; MQ-SGA, modified quantitative subjective global assessment; MIS, malnutrition-inflammation score; TIBC, total iron binding capacity; BUN, blood urea nitrogen.
*p < 0.05, p < 0.01.
Table 4

Changes in BIA parameters by personalized nutritional counseling over time

Table 4
Characteristics Baseline 3rd month 6th month p (baseline vs. 3rd month) p (baseline vs. 6th month)
All
Phase angle 4.57 ± 1.14 4.65 ± 1.07 4.56 ± 1.15 0.377 0.900
BCM, kg 28.21 ± 6.21 27.65 ± 6.18 28.09 ± 6.06 0.003* 0.538
FFM, kg 44.01 ± 9.32 43.22 ± 9.18 43.97 ± 9.10 0.008* 0.933
ECW/TBW 0.396 ± 0.012 0.396 ± 0.012 0.398 ± 0.013 0.793 0.062
Men
Phase angle 5.11 ± 0.38 5.149 ± 0.92 4.99 ± 1.01 0.654 0.224
BCM, kg 32.37 ± 4.51 31.72 ± 4.75 32.37 ± 4.51 0.006* 0.125
FFM, kg 50.18 ± 6.79 49.21 ± 7.09 49.79 ± 6.43 0.011 0.343
ECW/TBW 0.391 ± 0.002 0.391 ± 0.011 0.394 ± 0.011 0.846 0.086
Women
Phase angle 3.91 ± 1.15 4.05 ± 0.95 4.03 ± 1.11 0.456 0.572
BCM, kg 23.17 ± 3.73 22.72 ± 3.54 23.34 ± 4.15 0.148 0.615
FFM, kg 36.51 ± 5.77 35.96 ± 5.40 36.93 ± 6.52 0.236 0.457
ECW/TBW 0.401 ± 0.013 0.402 ± 0.012 0.403 ± 0.015 0.565 0.364
BIA, bioelectrical impedance analysis; BCM, body cell mass; FFM, fat free mass; ECW/TBW, extra cellular water/total body water.
*p < 0.01, p < 0.05.
BMI, handgrip strength, MQ-SGA score, and MIS did not change significantly over time. The mean of the calorie intake and calorie intake per target did not change over time. The protein intake showed no difference between baseline and 3rd month, but showed a significant increase between baseline and 6th month (43.99 ± 18.43 vs. 48.61 ± 14.07 g, p = 0.047; 63.75% ± 25.30% vs. 71.21% ± 20.86% of the target intake, p = 0.028). Similarly, albumin (baseline: 3.93 ± 0.40 g/dL, 6th month: 4.10 ± 0.38 g/dL, p = 0.002) and cholesterol (baseline: 151.67 ± 34.78 mg/dL, 6th month: 160.40 ± 31.70 mg/dL, p = 0.036) levels did not differ between baseline and 3rd month, but significantly increased between baseline and 6th month. The potassium level did not differ between baseline and 3rd month, but it decreased between baseline and 6th month (5.13 ± 0.68 vs. 4.94 ± 0.66 mmol/L, p = 0.011). The other parameters did not change significantly over time (Table 3).
The BIA showed no significant change in the phase angle and the ECW/TBW ratio. The BCM (baseline: 28.21 ± 6.21 kg, 3rd month: 27.65 ± 6.18 kg, p = 0.003) and FFM (baseline: 44.01 ± 9.32 kg, 3rd month: 43.22 ± 9.18 kg, p = 0.008) showed a significant decrease at 3rd month, but recovery without a significant difference from baseline at 6th month. According to gender, the phase angle and the ECW/TBW ratio in men were not statistically significant, but the BCM (baseline: 32.37 ± 4.51, 3rd month: 31.27 ± 4.75, p = 0.006) and the FFM (baseline: 50.18 ± 6.79, 3rd month: 49.21 ± 7.09, p = 0.011) were significantly decreased at 3rd month and recovered at 6th month, similar to those in all subjects. On the other hand, women were not statistically significant in all results (Table 4).
Comparison of parameters according to initial nutritional status
The changes and significance of the AN and MN groups' parameters between baseline and 6th month were checked. There were no difference in BMI, handgrip strength, calorie and protein intake, and calorie and protein intake per target of the AN and MN groups between baseline and 6th month. Over the study period, the albumin (baseline: 3.84 ± 0.43 g/dL, 6th month: 4.15 ± 0.36 g/dL, p = 0.005) and cholesterol (baseline: 154.57 ± 34.02 mg/dL, 6th month: 169.48 ± 28.04 mg/dL, p = 0.026) levels increased in the MN group, while they did not change in the AN group. The phase angle, BCM, and FFM showed no change in both groups. However, the ECW/TBW ratio significantly increased from 0.389 ± 0.010 at baseline to 0.392 ± 0.012 at 6th months in the MN group (p = 0.036) (Table 5).
Table 5

Changes in parameters by personalized nutritional counseling in subgroup analysis by nutritional status

Table 5
Characteristics AN (MIS < 5, n = 19) MN (MIS ≥ 5, n = 23)
Baseline 6th month p Baseline 6th month p
Nutritional parameters
BMI, kg/m2 24.28 ± 3.46 24.12 ± 3.14 0.407 21.65 ± 3.81 21.70 ± 3.58 0.774
Handgrip strength 26.64 ± 8.22 28.00 ± 8.66 0.382 20.80 ± 10.91 19.40 ± 11.39 0.121
MQ-SGA 9.42 ± 0.90 10.26 ± 2.00 0.046* 10.78 ± 1.31 10.91 ± 1.38 0.601
MIS 3.05 ± 0.97 3.79 ± 2.10 0.144 7.22 ± 2.33 6.57 ± 2.23 0.163
Calorie intake, kcal 1,472.32 ± 301.27 1,456.74 ± 292.80 0.758 1,296.17 ± 434.22 1,255.63 ± 350.71 0.473
Protein intake, g 47.34 ± 14.16 51.47 ± 13.74 0.137 41.22 ± 21.24 46.24 ± 14.19 0.170
Percentage of calorie intake/target 81.63 ± 15.02 81.04 ± 15.93 0.830 78.70 ± 25.94 76.70 ± 21.22 0.558
Percentage of protein intake/target 65.86 ± 20.08 71.80 ± 19.94 0.129 62.01 ± 29.26 70.72 ± 22.03 0.108
Albumin, g/dL 4.04 ± 0.32 4.15 ± 0.36 0.147 3.84 ± 0.43 4.07 ± 0.39 0.005
TIBC, mcg/dL 243.37 ± 63.11 248.05 ± 34.87 0.727 193.04 ± 37.44 204.83 ± 29.75 0.175
Hemoglobin, g/dL 10.55 ± 1.00 10.52 ± 0.89 0.902 10.38 ± 0.97 10.50 ± 0.98 0.536
Cholesterol, mg/dL 148.16 ± 36.29 149.42 ± 33.11 0.786 154.57 ± 34.02 169.48 ± 28.04 0.026*
BUN, mg/dL 70.90 ± 16.76 74.12 ± 22.42 0.511 59.76 ± 20.29 58.57 ± 20.97 0.696
Creatinine, mg/dL 11.10 ± 2.84 11.09 ± 2.81 0.982 8.63 ± 2.48 8.60 ± 2.39 0.859
BIA
Phase angle 5.27 ± 0.85 5.14 ± 1.11 0.349 3.99 ± 1.04 4.07 ± 0.96 0.641
BCM, kg 31.01 ± 4.78 31.03 ± 4.58 0.959 25.90 ± 6.39 25.67 ± 6.15 0.371
FFM, kg 47.88 ± 7.06 48.15 ± 6.79 0.603 40.79 ± 9.86 40.51 ± 9.44 0.536
ECW/TBW 0.389 ± 0.010 0.392 ± 0.012 0.036* 0.401 ± 0.011 0.402 ± 0.012 0.531
AN, adequate nourished; MN, malnourished; BMI, body mass index; MQ-SGA, modified quantitative subjective global assessment; MIS, malnutrition-inflammation score; TIBC, total iron binding capacity; BUN, blood urea nitrogen; BIA, bioelectrical impedance analysis; BCM, body cell mass; FFM, fat free mass; ECW/TBW, extra cellular water/total body water.
*p < 0.05, p < 0.01.
This study used not only biochemical data, but also dietary intake, body composition analysis, and malnutrition scoring tools to assess the patients’ malnutrition more closely and objectively. As there is no single measure to provide a comprehensive assessment of the nutritional status of HD patients, the optimal monitoring methods and tools have long been debated. For a comprehensive overview of the nutritional status of dialysis patients, subjective global assessment (SGA) is recommended. Moreover, some modified scoring measures are suggested according to the patients’ characteristics [4, 5, 7]. In addition, dual-energy X-ray absorptiometry (DEXA) is suggested as an assessment tool for dialysis patients, as it reflects the muscle mass and body composition accurately [8]. The Dialysis Outcomes and Practice Patterns Study (DOPPS) — a prospective longitudinal study that included nutritional factors affecting HD patients — formed the basis for the National Kidney Foundation's K/DOQI guideline. This guideline recommended a combination of valid, complementary measures — including the calorie and protein intake, visceral protein, muscle mass, the body composition, and functional status — rather than a single measure for nutritional assessment [6]. Since then, there has been a European consensus that routine nutritional assessment should involve multiple clinical data, including the weight loss history, BMI, muscle mass, subcutaneous fat mass, and the serum albumin, creatinine, and cholesterol levels [1]. The fact that the BMI does not seem to be a reliable marker of protein-energy malnutrition also supports the necessity of combined measures for nutritional assessment [9].
In particular, this study assessed the patient's body composition by BIA. BIA has become widely known as a nutritional assessment tool that can be used to analyze the body composition and body water in a simple, objective, painless, and non-invasive way and at a low cost [10, 11, 12, 13]. A recent study suggested that the total body fat and lean body mass measured by DEXA and BIA were highly correlated in HD patients, proving BIA's usefulness [14]. As multi-frequency BIA is more appropriate than single-frequency BIA for estimating the muscle mass of HD patients [3], this study used multi-frequency impedance by measuring 5 different frequencies. Among BIA measurements, the phase angle is a factor that reflects cell integrity and is related to the nutritional status and the survival rate [15]. Chertow et al. [12] divided over 3,000 hemodialysis patients into phase angle quintiles, and found that patients in the lowest phase angle group had a 1.5 higher relative risk of mortality than patients in the highest phase angle group independently of their age, sex, race, diabetes status, serum albumin and creatinine levels. According to Pupim and Ikizler [8], the phase angle has also been found to correlate positively with the muscle mass and strength, and to be associated with a higher risk of death in chronic HD patients. As another BIA measurement, the FFM includes the skeleton, skin, muscle, visceral organs, and total body water, only excluding the fat mass. The BCM can be useful as an indicator of the muscle mass and nutritional status, as it excludes the bone mineral mass and extracellular water from the FFM; therefore, it can represent the most metabolically active components in HD patients, who are vulnerable to fluid accumulation [16]. On these bases, this study used the phase angle, the BCM, and the FFM. Moreover, the edema status is an important malnutrition diagnosis factor. Therefore, the ECW/TBW ratio was also used to analyze the nutritional status.
Intensive nutritional counseling is an essential recommendation for all HD patients. The nutritional care plan should be updated at least every 3–4 months, and nutritional counseling should be provided every 1–2 months (and more frequently in patients suffering from malnutrition). In particular, dietary intervention is needed to meet the patient's energy and protein requirements, as there is a risk of protein-energy malnutrition [6]. In their review of the effects of the nutritional support for chronic HD patients, Bossola et al. [17] concluded that oral nutritional supplements (ONSs) could improve the serum albumin and other nutritional parameters, and that intradialytic parenteral nutrition improved the serum albumin levels and body weight [17]. Recently, nutritional counseling and support designed to increase the calorie intake through artificial nutrition were shown to improve the nutritional status and to reduce the risk of morbidity and mortality in anorexic patients [18].
A study on the effects of PNC on HD patients suggested that patients in the nutritional counseling group showed more improved serum albumin levels than those who received ONSs [19]. In addition, the diagnosis of individual nutritional problems and personal nutritional counseling were reported to be effective in improving the serum albumin levels [20]. A study found that nutritional counseling significantly increased the normalized protein catabolic rate and serum albumin level, reaching the target level [21]. In this study, nutritional counseling and the intervention of dietitians improved the protein intake rather than increasing the intake directly through nutritional supplements. It must be noted that these results were concurrent with improvements in the biochemical indicators. As the serum albumin level is an index that is closely related to the nutritional status and the mortality when excluding inflammation [6], the results of this study suggest an improvement in the nutritional status and clinical outcome. In addition, patients with low cholesterol levels (below 150–180 mg/dL) may be suspected of malnutrition [6]. Therefore, it is also significant that the serum cholesterol increased from 151.67 ± 34.78 mg/dL at baseline to 160.40 ± 31.70 mg/dL at 6 months (p = 0.036). This is consistent with the findings of studies that increased the calorie and protein intake through nutritional support [17], and of those that evaluated the effectiveness of nutritional counseling [20]. The serum potassium levels at 6 months were significantly reduced. This may be considered an improvement of the clinical outcomes; however, it is difficult to attribute this effect solely to nutritional counseling, as it may also have been influenced by the medication treatment.
Due to the continuous protein loss from dialysis, HD patients are easily exposed to body mass wasting without a sufficient protein intake. This study found that the BCM and FFM had significantly decreased from baseline at 3 months, showing a different trend from the protein intake, serum albumin, and cholesterol levels. However, the BCM and FFM at 6 months had recovered, showing no significant difference from the baseline. This suggests that continuous nutrition counseling over the entire study period delayed the wasting of the body composition.
Although the MQ-SGA and MIS were developed by the same authors, the MIS is relatively more recent, and it is known to evaluate patient's prognosis and nutritional status more accurately by adding three items to the MQ-SGA [5]. This study therefore used the MIS to divide patients into 2 groups (1 with a relatively good [AN] and 1 with a relatively bad nutritional status [MN]) at the outset. As a result, the serum albumin did not change significantly in the AN group, while it significantly improved in the MN group. Therefore, nutritional counseling and an increased protein intake can be considered to have a greater effect on the nutritional status of patients with a poor nutritional status than on that of patients with a relatively good nutritional status. Patients suffering from malnutrition should receive nutritional care as early as possible to improve their prognosis, and it is important to improve their intake through continuous management for at least 6 months.
This study only included patients who received nutritional management. As there was no control group of patients who did not receive nutritional counseling, it was difficult to evaluate the effect accurately. The small number of patients was also a limitation. To evaluate the effect of nutritional counseling more objectively, studies including a control group that is not receiving nutritional counseling, and studies involving a larger number of patients are needed.
In addition, this study was conducted over a relatively short period of 6 months. Therefore, further research is needed to assess the effects of long-term nutritional counseling and malnutrition management on changes in the body composition.
Patients' comorbidities, deconditioning, and gastrointestinal-related symptoms (nausea, vomiting, constipation, etc.) may affect their intake. Therefore, these factors must be taken into account to assess the relationship between each factor and the intake level, and thereby the nutritional status.
In this study, 3 nutritional counseling sessions were provided over 6 months; however, it was difficult to confirm recovery from malnutrition. Moreover, no significant improvement in the nutritional status was observed on the 3rd month. In patients with severe malnutrition, intensive nutritional management is required within short intervals of 1 month. This suggests a need for further research into closer and more intensive nutritional care.
After 3 continuous, individualized nutritional counseling sessions, there was no significant change in the HD patients' dietary intake and biochemical data at 3 months. However, the protein intake, serum albumin, and cholesterol levels had improved at 6 months. Among the BIA results, there was a significant reduction in the BCM and FFM at 3 months, although they had recovered without a significant difference from baseline at 6 months. The wasting of the body composition was found to be delayed. There was a significant improvement in the serum albumin and cholesterol levels of patients affected by malnutrition. Therefore, continuous nutritional management for at least 6 months is considered to contribute to the improvement of HD patients' nutritional status. As the benefits of nutritional management are particularly significant in patients with severe malnutrition, screening for malnutrition and the early initiation of nutritional management are required.

Conflict of Interest: The authors declare that they have no competing interests.

  • 1. Locatelli F, Fouque D, Heimburger O, Drüeke TB, Cannata-Andía JB, Hörl WH, Ritz E. Nutritional status in dialysis patients: a European consensus. Nephrol Dial Transplant 2002;17:563-572.
  • 2. Bossola M, Muscaritoli M, Tazza L, Giungi S, Tortorelli A, Rossi Fanelli F, Luciani G. Malnutrition in hemodialysis patients: what therapy? Am J Kidney Dis 2005;46:371-386.
  • 3. Donadio C, Consani C, Ardini M, Bernabini G, Caprio F, Grassi G, Lucchesi A, Nerucci B. Estimate of body water compartments and of body composition in maintenance hemodialysis patients: comparison of single and multifrequency bioimpedance analysis. J Ren Nutr 2005;15:332-344.
  • 4. Kalantar-Zadeh K, Kleiner M, Dunne E, Lee GH, Luft FC. A modified quantitative subjective global assessment of nutrition for dialysis patients. Nephrol Dial Transplant 1999;14:1732-1738.
  • 5. Kalantar-Zadeh K, Kopple JD, Block G, Humphreys MH. A malnutrition-inflammation score is correlated with morbidity and mortality in maintenance hemodialysis patients. Am J Kidney Dis 2001;38:1251-1263.
  • 6. KDOQI. National Kidney Foundation. KDOQI clinical practice guidelines and clinical practice recommendations for anemia in chronic kidney disease. Am J Kidney Dis 2006;47:S11-S145.
  • 7. Steiber AL, Kalantar-Zadeh K, Secker D, McCarthy M, Sehgal A, McCann L. Subjective Global Assessment in chronic kidney disease: a review. J Ren Nutr 2004;14:191-200.
  • 8. Pupim LB, Ikizler TA. Assessment and monitoring of uremic malnutrition. J Ren Nutr 2004;14:6-19.
  • 9. Leal VO, Moraes C, Stockler-Pinto MB, Lobo JC, Farage NE, Velarde LG, Fouque D, Mafra D. Is a body mass index of 23 kg/m2 a reliable marker of protein-energy wasting in hemodialysis patients? Nutrition 2012;28:973-977.
  • 10. Cooper BA, Aslani A, Ryan M, Zhu FY, Ibels LS, Allen BJ, Pollock CA. Comparing different methods of assessing body composition in end-stage renal failure. Kidney Int 2000;58:408-416.
  • 11. Abad S, Sotomayor G, Vega A, Pérez de José A, Verdalles U, Jofré R, López-Gómez JM. The phase angle of the electrical impedance is a predictor of long-term survival in dialysis patients. Nefrologia 2011;31:670-676.
  • 12. Chertow GM, Lowrie EG, Wilmore DW, Gonzalez J, Lew NL, Ling J, Leboff MS, Gottlieb MN, Huang W, Zebrowski B, et al. Nutritional assessment with bioelectrical impedance analysis in maintenance hemodialysis patients. J Am Soc Nephrol 1995;6:75-81.
  • 13. Lukaski HC, Bolonchuk WW, Hall CB, Siders WA. Validation of tetrapolar bioelectrical impedance method to assess human body composition. J Appl Physiol 1985;1986:1327-1332.
  • 14. Fürstenberg A, Davenport A. Comparison of multifrequency bioelectrical impedance analysis and dual-energy X-ray absorptiometry assessments in outpatient hemodialysis patients. Am J Kidney Dis 2011;57:123-129.
  • 15. Segall L, Mardare NG, Ungureanu S, Busuioc M, Nistor I, Enache R, Marian S, Covic A. Nutritional status evaluation and survival in haemodialysis patients in one centre from Romania. Nephrol Dial Transplant 2009;24:2536-2540.
  • 16. Oliveira CM, Kubrusly M, Mota RS, Silva CA, Choukroun G, Oliveira VN. The phase angle and mass body cell as markers of nutritional status in hemodialysis patients. J Ren Nutr 2010;20:314-320.
  • 17. Bossola M, Tazza L, Giungi S, Rosa F, Luciani G. Artificial nutritional support in chronic hemodialysis patients: a narrative review. J Ren Nutr 2010;20:213-223.
  • 18. Molfino A, Chiappini MG, Laviano A, Ammann T, Bollea MR, Alegiani F, Rossi Fanelli F, Muscaritoli M. Effect of intensive nutritional counseling and support on clinical outcomes of hemodialysis patients. Nutrition 2012;28:1012-1015.
  • 19. Akpele L, Bailey JL. Nutrition counseling impacts serum albumin levels. J Ren Nutr 2004;14:143-148.
  • 20. Leon JB, Albert JM, Gilchrist G, Kushner I, Lerner E, Mach S, Majerle A, Porter D, Ricanati E, Sperry L, Sullivan C, Zimmerer J, Sehgal AR. Improving albumin levels among hemodialysis patients: a community-based randomized controlled trial. Am J Kidney Dis 2006;48:28-36.
  • 21. Garagarza CA, Valente AT, Oliveira TS, Caetano CG. Effect of personalized nutritional counseling in maintenance hemodialysis patients. Hemodial Int 2015;19:412-418.

Download Citation

Download a citation file in RIS format that can be imported by all major citation management software, including EndNote, ProCite, RefWorks, and Reference Manager.

Format:

Include:

Effect of Personalized Nutritional Counseling on the Nutritional Status of Hemodialysis Patients
Clin Nutr Res. 2017;6(4):285-295.   Published online October 30, 2017
Download Citation

Download a citation file in RIS format that can be imported by all major citation management software, including EndNote, ProCite, RefWorks, and Reference Manager.

Format:
Include:
Effect of Personalized Nutritional Counseling on the Nutritional Status of Hemodialysis Patients
Clin Nutr Res. 2017;6(4):285-295.   Published online October 30, 2017
Close
Effect of Personalized Nutritional Counseling on the Nutritional Status of Hemodialysis Patients
Effect of Personalized Nutritional Counseling on the Nutritional Status of Hemodialysis Patients
Table 1 General characteristics of the patients at baseline

CVD, cardiovascular disease; BMI, body mass index; MQ-SGA, modified quantitative subjective global assessment; MIS, malnutrition-inflammation score; TIBC, total iron binding capacity; BUN, blood urea nitrogen.

*p < 0.01, p < 0.001, p < 0.05.

Table 2 BIA parameters of the patients at baseline

BIA, bioelectrical impedance analysis; BCM, body cell mass; FFM, fat free mass; ECW/TBW, extra cellular water/total body water.

*p < 0.001, p < 0.05.

Table 3 Changes in nutritional parameters by personalized nutritional counseling over time

BMI, body mass index; MQ-SGA, modified quantitative subjective global assessment; MIS, malnutrition-inflammation score; TIBC, total iron binding capacity; BUN, blood urea nitrogen.

*p < 0.05, p < 0.01.

Table 4 Changes in BIA parameters by personalized nutritional counseling over time

BIA, bioelectrical impedance analysis; BCM, body cell mass; FFM, fat free mass; ECW/TBW, extra cellular water/total body water.

*p < 0.01, p < 0.05.

Table 5 Changes in parameters by personalized nutritional counseling in subgroup analysis by nutritional status

AN, adequate nourished; MN, malnourished; BMI, body mass index; MQ-SGA, modified quantitative subjective global assessment; MIS, malnutrition-inflammation score; TIBC, total iron binding capacity; BUN, blood urea nitrogen; BIA, bioelectrical impedance analysis; BCM, body cell mass; FFM, fat free mass; ECW/TBW, extra cellular water/total body water.

*p < 0.05, p < 0.01.